Logo

American Heart Association

  19
  0


Final ID: MP958

Effective Atomic Numbers and Electron Density of Focal Peri-Pulmonary Arterial Adipose Tissue on Spectral CT Can Predict Elevated Pulmonary Arterial Systolic Pressure in Patients without Coronary Arterial, Myocardial, and Valvular Diseases

Abstract Body (Do not enter title and authors here): Introduction: Inflammation in pericoronary adipose tissue may occur focally at adjacent plaque sites in the coronary arterial system. Similarly, inflammation in peri-pulmonary arterial (PA) adipose tissue may occur focally at pulmonary arterial (PA) system.
Hypothesis: Using effective atomic numbers (EANs) and electron density (ED) determined by spectral CT as new parameters, the focal characteristics of peri-PA adipose tissue is useful to predict elevated PA systolic pressure.
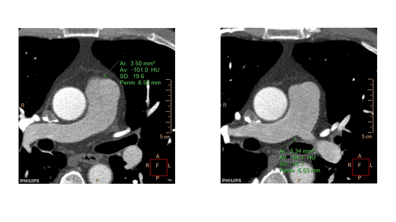
Methods: This is a retrospective analysis of 20 patients (7 male, mean age 54 year old) who underwent dual energy CT (7500, Philips) because of clinically suspected coronary artery diseases, but no significant stenosis in the coronary arteries on CT, and with normal ECG and transthoracic echocardiogram findings. From non-contrast and contrast data, EANs and EDs (% electron density relative to water) of peri-PA adipose tissue were determined at two sites in each patient as represented in Figure 1. We compared tricuspid regurgitation pressure gradient (mmHg).
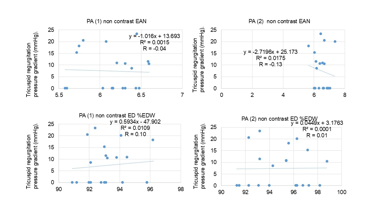
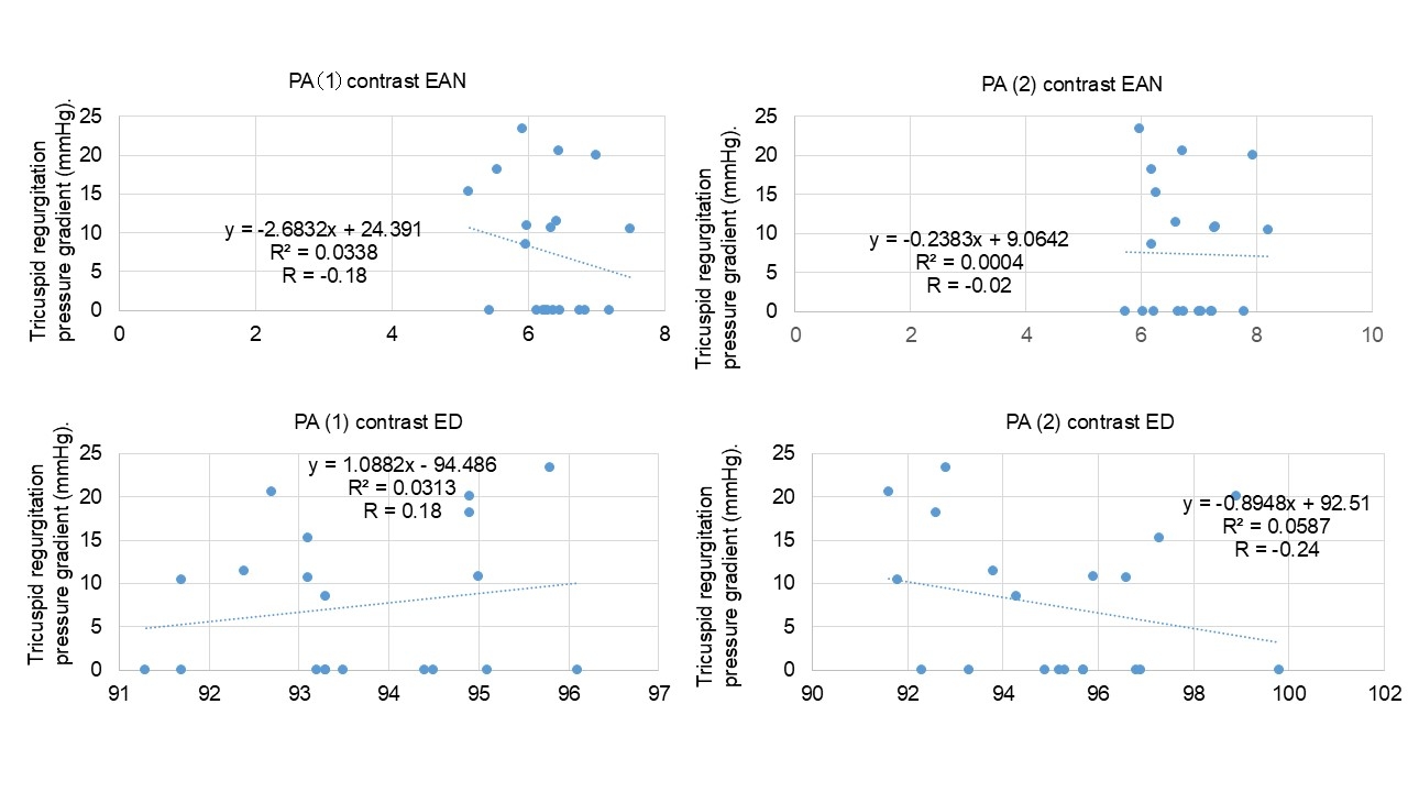
Results: Mean EANs, and EDs of peri-PA adipose tissue at corresponding sites, were 6.15, and 6.52 (EANs), and 93.2 and 94.9 at in site 1 and 2, respectively in non-contrast phase, and 6.32, and 6.82 (EANs) in site 1 and 2, respectively in early phase. Correlation coefficients of each EAN and ED against tricuspid regurgitation pressure gradient on transthoracic echocardiogram were -0.04 and -0.13 (EANs), and 0.10 and 0.01 at in site 1 and 2, respectively in non-contrast phase, and -0.18 and -0.02 (EANs), and 0.18 and -0.24 at in site 1 and 2, respectively in early phase (Figure 2 and 3).
Conclusion: This is the first study to evaluate focal peri-PA adipose tissue by EANs, and EDs and its relationship to estimated PA systolic pressure. Right sided heart is low pressure system, but these new CT parameters may be useful to predict future occurrence of pulmonary hypertension, which is related to peri-PA adipose tissue inflammation.
  • Sakaguchi, Yamato  ( Chibanishi general hospital , Chiba prefecture , Japan )
  • Kaneko, Aya  ( Chibanishi general hospital , Chiba prefecture , Japan )
  • Funabashi, Nobusada  ( IUHW Ichikawa Hospital , Ichikawa , Japan )
  • Author Disclosures:
    Yamato Sakaguchi: DO NOT have relevant financial relationships | aya kaneko: DO NOT have relevant financial relationships | Nobusada Funabashi: DO NOT have relevant financial relationships
Meeting Info:

Scientific Sessions 2025

2025

New Orleans, Louisiana

Session Info:

Visualizing Pulmonary Hypertension: Exploring the Role of Imaging in Disease Understanding

Saturday, 11/08/2025 , 01:45PM - 03:00PM

Moderated Digital Poster Session

More abstracts on this topic:
AI-Derived Cardiac Morphometrics from CAC CT for Heart Failure Risk Prediction

Alkhaleefah Mohammad, Balakrishnan Guha, Li Shuo, Nasir Khurram, Al-kindi Sadeer, Gullapelli Rakesh, Bose Budhaditya, Rockers Elijah, Modanwal Gourav, Hoori Ammar, Madabhushi Anant, Wilson David, Patel Kershaw

Accelerated Coronary Atherosclerosis Following Relugolix Versus Leuprolide Androgen Deprivation Therapy in Men with Prostate Cancer (REVELUTION): An Open-Label Randomized Controlled Trial

Patel Sagar, Sebastian Nikhil, Dhere Vishal, Hershatter Bruce, Patel Pretesh, Stillman Arthur, De Cecco Carlo, Sanda Martin, Jani Ashesh, Mandawat Anant, Yadalam Adithya, Van Assen Marly, Cantu Stephanie, Onnis Carlotta, Zheng Bill, Goyal Subir, Liu Yuan, Liu Chang

You have to be authorized to contact abstract author. Please, Login
Not Available