Logo

American Heart Association

  28
  0


Final ID: MP1464

Peripartum Arrhythmia Risk in Adults with Congenital Heart Disease: Insights from a Commercial Claims Dataset

Abstract Body (Do not enter title and authors here): Background
The longitudinal burden of arrhythmias during the peripartum period among adults with congenital heart disease (ACHD) remains understudied.
Objectives
To quantify arrhythmia subtype burden and identify associations with peripartum arrhythmias in the pregnancy and postpartum period in women ACHD.
Methods
We analyzed Merative MarketScan data (2010-2016) to identify pregnancies among adults with and without ACHD using validated algorithms. Significant arrhythmias included ventricular tachycardia, atrial fibrillation/flutter, supraventricular tachycardia, and pathologic AV block. Regression models were adjusted for age, repeat pregnancies, cardiac and non-cardiac comorbidities.

Results
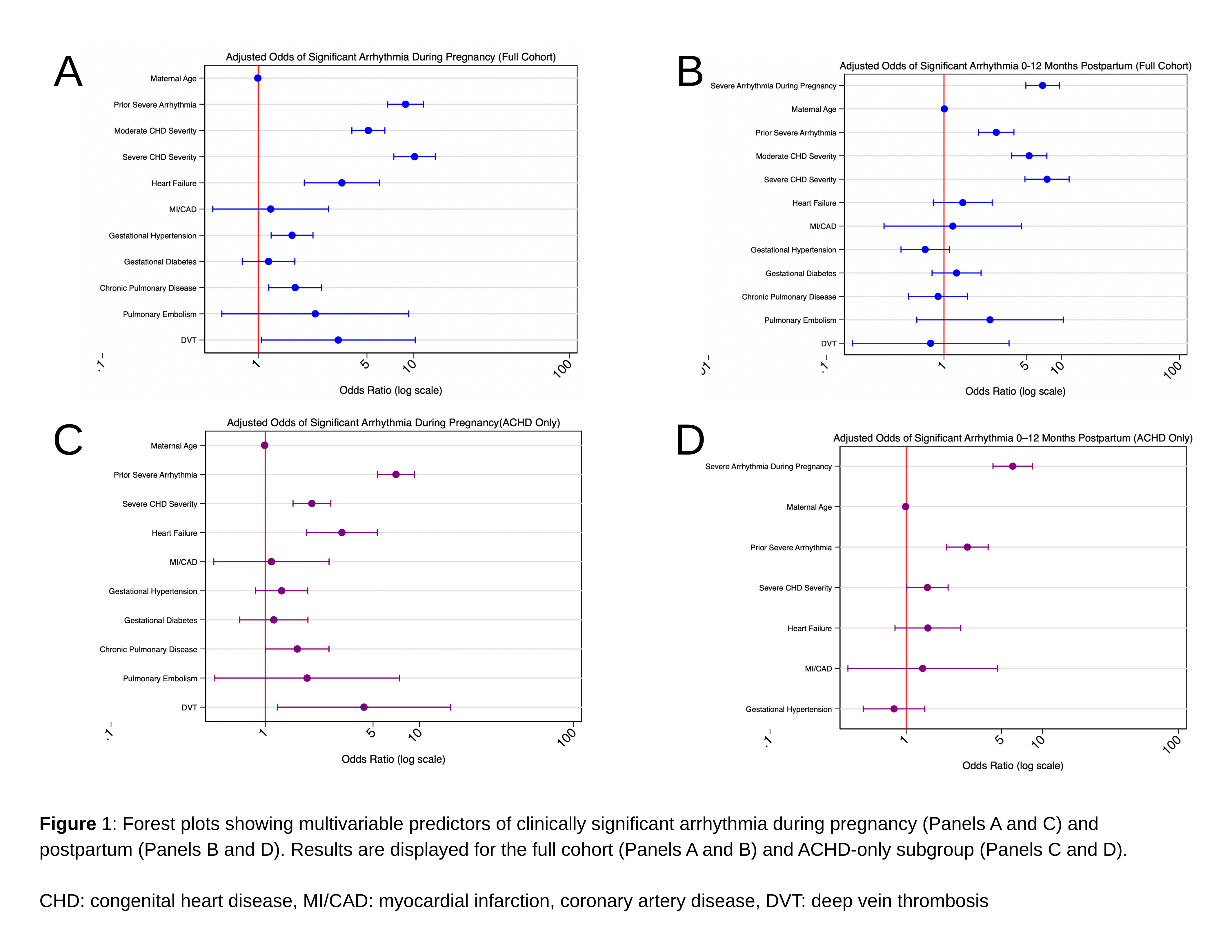
Among 11,703 pregnancies, significant arrhythmias were more frequent in ACHD vs controls during pregnancy (severe ACHD 5.3%, non-severe 2.5%, controls 0.5%) and postpartum (severe ACHD 6.5%, non-severe 3.5%, controls 0.5%). Supraventricular tachycardia was the most common subtype, Table 1.
For all patients, variables independently associated with arrhythmia during pregnancy included pre-pregnancy arrhythmia (odds ratio [OR] 8.86, 95% CI 6.80–11.54), presence of ACHD (severe ACHD: OR 10.12, 95% CI 7.45–13.76; moderate ACHD: OR 5.11 (4.00–6.52), heart failure (OR 3.45, 95% CI 1.98–6.01), pulmonary disease (OR 1.73, 95% CI 1.17–2.56), gestational hypertension (OR 1.65, 95% CI 1.21–2.25), and deep venous thrombosis (DVT) (OR 3.27, 95% CI 1.05–10.22), Figure 1 panel A. Variables independently associated with arrhythmia postpartum included pre-pregnancy arrhythmia, arrhythmia during pregnancy, and presence of ACHD , Figure 1 panel B.

Among ACHD patients, pre-pregnancy arrhythmia, ACHD severity, heart failure, and DVT were independently associated with arrhythmia during pregnancy, while only pre-pregnancy and pregnancy arrhythmias were independently associated with arrhythmia during postpartum, Figure 1 panel D.

Conclusions
Peripartum arrhythmia risk in ACHD extends through pregnancy and postpartum and spans the full spectrum of CHD severity. Prior arrhythmia and greater CHD severity are consistently associated with increased odds of arrhythmia during and after pregnancy, while heart failure demonstrates a significant association specifically during pregnancy. These findings underscore the importance of preconception counseling and expectation setting, particularly for women with a history of arrhythmia, to inform individualized risk stratification and management throughout pregnancy.
  • Herrick, Nicky  ( UC San Francisco , San Francisco , California , United States )
  • Duan, Rong  ( UC San Francisco , San Francisco , California , United States )
  • Gonzalez, Juan  ( UC San Francisco , San Francisco , California , United States )
  • Sabanayagam, Aarthi  ( UC San Francisco , San Francisco , California , United States )
  • Agarwal, Anushree  ( UC San Francisco , San Francisco , California , United States )
  • Author Disclosures:
    Nicky Herrick: DO NOT have relevant financial relationships | Rong Duan: DO NOT have relevant financial relationships | Juan Gonzalez: DO NOT have relevant financial relationships Anushree Agarwal: DO NOT have relevant financial relationships
Meeting Info:

Scientific Sessions 2025

2025

New Orleans, Louisiana

Session Info:

Cardiovascular Health at the Crossroads of Sex, Race, and Risk

Sunday, 11/09/2025 , 09:15AM - 10:30AM

Moderated Digital Poster Session

More abstracts on this topic:
A-band titin-truncating variant promotes the development of arrhythmia-induced cardiomyopathy in a novel genetically-engineered porcine model

Lee Kwonjae, Del Rio Carlos, Mcnally Elizabeth, Pfenniger Anna, Bhatnagar Ashita, Glinton Kristofor, Burrell Amy, Ober Rebecca, Mcluckie Alicia, Bishop Brian, Rogers Christopher, Geist Gail

A Failure to Increase Glomerular Filtration Rate during Pregnancy Results in a Greater Susceptibility to Kidney Damage and Renal Impairment in Response to a Postpartum High Salt Diet

Rittmeyer William, Murders Evan, Tchangwa Marvin, Engelbrecht Evan, Humphrey Riley, Mantilla Katherine, Nist Kayla, Brooks Heddwen, Dasinger John Henry

More abstracts from these authors:
Understanding the association between patient empowerment level and patient-prioritized education topics in adult congenital patient population: A descriptive cross-sectional study

Banala Keerthana Reddy, Moons Philip, Okumura Megumi, Gurvitz Michelle, Agarwal Anushree, Valente Joseph, Sandoval Rivera Andrea, Duan Rong, Alano Lindsay, Parang Kim, Bravo-jaimes Katia, Norris Mark, Reardon Leigh

Impact of Area Deprivation Index on Gaps in Care for Young Adults with Congenital Heart Disease

Lam Regina, Tang Ruby, Duan Rong, Okumura Megumi, Agarwal Anushree

You have to be authorized to contact abstract author. Please, Login
Not Available