Logo

American Heart Association

  98
  0


Final ID: MP2637

Comparative Effectiveness and Safety of Left Atrial Appendage Occlusion Devices: A Comprehensive Systematic Review and Meta-Analysis

Abstract Body (Do not enter title and authors here): Background:
Percutaneous left atrial appendage occlusion (LAAO) is increasingly utilized for stroke prevention in non-valvular atrial fibrillation (NVAF) patients with contraindications to long-term anticoagulation. With growing global use of WATCHMAN, Amplatzer Amulet, and LAmbre devices, a comprehensive comparison integrating randomized controlled trials (RCTs) and real-world evidence is warranted.

Methods:
We conducted a systematic review and meta-analysis of RCTs, registries, and observational studies from PubMed, Scopus, Embase, and Cochrane (through June 2025), including studies reporting outcomes for WATCHMAN (2.5 and FLX), Amplatzer Amulet, and LAmbre. Primary endpoints included ischemic stroke, systemic embolism, all-cause mortality, major bleeding, device-related thrombus (DRT), peri-device leak (PDL), and procedural complications. Subgroup analyses assessed device type, CHADS2-VASc score, imaging modality (ICE vs TEE), and LAA anatomy. Random-effects models pooled trial and real-world data.

Results:
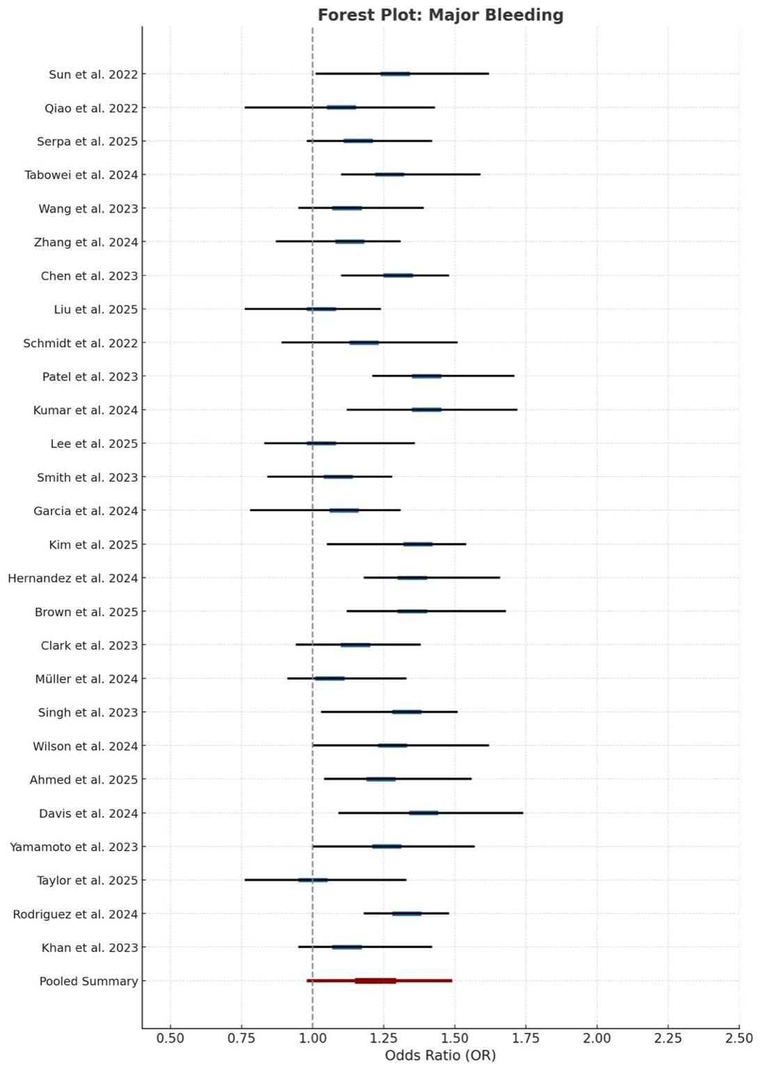
We analyzed 27 studies (12 RCTs, 15 observational; 65,308 patients). Procedural success exceeded 97% across devices. Annual ischemic stroke rates were 1.5% (WATCHMAN), 1.4% (Amulet), and 1.2% (LAmbre) (p=NS); all-cause mortality was 3.6%, 3.5%, and 3.3%, respectively. Major bleeding rates were 3.0% (WATCHMAN), 2.7% (Amulet), and 2.8% (LAmbre), with WATCHMAN FLX significantly reducing bleeding vs WATCHMAN 2.5 (OR 0.68, 95% CI 0.49–0.92). DRT occurred in 1.9% (WATCHMAN), 1.3% (Amulet), and 0.9% (LAmbre). Significant PDL (>5 mm) was highest with WATCHMAN (3.2%), lower with Amulet (1.1%) and LAmbre (0.7%). Device embolization occurred in 0.5% (Amulet), 0.2% (WATCHMAN), and 0% (LAmbre), while pericardial effusion rates were 3.1%, 2.8%, and 1.5%, respectively. ICE guidance improved procedural success (OR 1.11, 95% CI 1.03–1.21) but increased pericardial effusion risk (OR 1.22, 95% CI 1.05–1.42) vs TEE. Efficacy was consistent across CHADS2-VASc scores (mean 3.8 ± 1.3). LAmbre demonstrated superior adaptability in complex anatomies, including large ostia (≥31 mm), bilobed morphologies, and persistent thrombus.

Conclusion:
LAAO devices are safe and effective for stroke prevention in NVAF, with device-specific differences. Real-world data highlight LAmbre’s suitability for complex anatomies and Amulet’s lower leak rates. Optimal outcomes depend on individualized device selection based on anatomy, imaging, and bleeding risk.
  • Patel, Nirmit  ( Gcs medical college , Ahmedabad , India )
  • Patel, Kaushal  ( Saint Mary Saint Clare , Denville , New Jersey , United States )
  • Bogati, Sunil  ( NYMC - St. Mary's and St. Clare's , Denville , New Jersey , United States )
  • Rawal, Shalin  ( NYMC - St. Mary's and St. Clare's , Denville , New Jersey , United States )
  • Agrawal, Siddharth  ( New York medical college landmark , Woonsocket , Rhode Island , United States )
  • Patel, Gaurav  ( Saint Micheals Medical Center , Newark , New Jersey , United States )
  • Prakash, Atul  ( St Marys General Hospital, Passaic , Cedar Grove , New Jersey , United States )
  • Author Disclosures:
    Nirmit Patel: DO NOT have relevant financial relationships | Kaushal Patel: DO NOT have relevant financial relationships | Sunil Bogati: DO NOT have relevant financial relationships | Shalin Rawal: DO NOT have relevant financial relationships | Siddharth Agrawal: DO NOT have relevant financial relationships | Gaurav Patel: DO NOT have relevant financial relationships | Atul Prakash: DO NOT have relevant financial relationships
Meeting Info:

Scientific Sessions 2025

2025

New Orleans, Louisiana

Session Info:

Considerations in Thromboembolic Stroke Detection and Prevention

Monday, 11/10/2025 , 09:15AM - 10:30AM

Moderated Digital Poster Session

More abstracts on this topic:
Aggressive Risk factor REduction STudy for Atrial Fibrillation (ARREST-AF) implications for ablation outcomes: A Randomized Clinical Trial

Pathak Rajeev, Mahajan Rajiv, Abhayaratna Walter, Kalman Jonathan, Sanders Prashanthan, Elliott Adrian, Lau Dennis, Middeldorp Melissa, Linz Dominik, Fitzgerald John, Ariyaratnam Jonathan, Malik Varun, Noubiap Jean Jacques

Ablation versus Anti-arrhythmic Drug Therapy for Ventricular Tachycardia in Patients with Ischemic Heart Disease: A Systematic Review and Meta-analysis of Randomized Controlled Trials

Khan Ubaid, Chaudhry Kashif, Amin Ahmed Mazen, A. Ibrahim Ahmed, Imran Muhammad, Rakab Mohamed, Iltaf Arej, M. Albarakat Majd, Ranabhat Chet, Brilliant Justin

More abstracts from these authors:
Branch vs septum: A meta analysis of ventricular synchrony in Left bundle branch pacing vs left ventricular septal pacing with subgroup analysis based on baseline LVEF.

Mannam Raam, Medarametla Ravi, Patel Nirmit, Patel Kaushal, Bogati Sunil, Patel Gaurav, Prakash Atul

Recent Advances in Hypertension Management: Systematic review and Meta-Analysis of Emerging Therapies (2023-2025).

Patel Nirmit, Patel Kaushal, Patel Gaurav, Gandhi Darshan, Prakash Atul, Cheriyath Pramil

You have to be authorized to contact abstract author. Please, Login
Not Available