Logo

American Heart Association

  79
  0


Final ID: MP1620

Impact of Donor and Recipient Risk Matching on Survival After Pediatric Heart Transplantation

Abstract Body (Do not enter title and authors here): Background
Pediatric heart transplantation (HT) is limited by donor numbers and graft quality, although recipient clinical acuity may have the greatest impact on post-HT survival. Increasingly, more marginal donors are being used with reasonable outcomes, but often these are implanted into the sickest recipients. If acceptance of higher risk donors could provide excellent post-HT outcomes for low-risk recipients, then this could improve utilization of marginal donors while also increasing availability of lower risk donors for high-risk recipients.
Methods
A retrospective cohort analysis of the Pediatric Heart Transplant Society (PHTS) database was performed for all pediatric (age <18 years) patients (n=5920) undergoing primary HT from 1/1/2010−6/30/2024. Separate donor and recipient risk scores were developed using multivariable multiphase parametric hazard modeling. Patients were stratified into low-, medium-, or high-risk categories for each donor-recipient pair, according to tertiles of the predicted 1-year survival estimates from the risk models.
Results
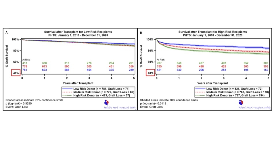
Overall, 1-year post-HT survival was 92%. Donor risk factors included age <3 vs 3-17 years (HR 1.74), oversized height vs well-matched (HR 1.97) and head trauma as cause of death (HR 0.69) (p<0.05 for all). Recipient risk factors included congenital heart disease (HR 3.91), age (HR 0.98), panel reactive antibodies >10% (HR 1.46), waitlist interval (HR 1.16), renal dysfunction (HR 1.87), induction therapy (HR 0.69), ventilator (HR 1.46), extracorporeal membrane oxygenation (HR 3.65), and any ventricular assist device (HR 1.66) at time of HT (p<0.05 for all). Low-risk recipients tended to be matched with low- or medium-risk donors, while high-risk recipients tended to be matched with medium- or high-risk donors (Table 1). Low-risk recipients had similar 1-year survival regardless of donor risk, while high-risk recipients had worst 1-year survival with medium- or high-risk donors (Figure 1).
Conclusion
Recipient risk profile has a greater impact on 1-year graft survival compared to donor risk. For low-risk recipients, donor risk profile has less impact on survival. By increasing the use of marginal donor organs for low-risk recipients and thereby increasing availability of low-risk organs for the sickest recipients, it may be possible to decrease waitlist mortality and improve post-HT outcomes for the entire cohort.
  • Townsend, Madeleine  ( Cleveland Clinic Children's , Cleveland , Ohio , United States )
  • Bansal, Neha  ( Mount Sinai Kravis Children’s Hospital , New York , New York , United States )
  • Conway, Jennifer  ( Stollery Children's Hospital , Edmonton , Alberta , Canada )
  • Koehl, Devin  ( Kirklin Solutions, Inc , Birmingham , Alabama , United States )
  • Cantor, Ryan  ( Kirklin Solutions, Inc , Birmingham , Alabama , United States )
  • Kirklin, James  ( Kirklin Solutions, Inc , Birmingham , Alabama , United States )
  • Lim, Heang  ( University of Michigan , Ann Arbor , Michigan , United States )
  • Lynn, Melodie  ( University of Texas Southwestern Medical Center , Dallas , Texas , United States )
  • Hussain, Sabena  ( Riley Hospital for Children at Indiana University Health , Indianapolis , Indiana , United States )
  • Profita, Elizabeth  ( Stanford , San Carlos , California , United States )
  • Miller, Elyse  ( Le Bonheur Children's Hospital , Memphis , Tennessee , United States )
  • Simmonds, Jacob  ( Great Ormond Street Hospital , London , United Kingdom )
  • Author Disclosures:
    Madeleine Townsend: DO NOT have relevant financial relationships | Elizabeth Profita: No Answer | Elyse Miller: No Answer | Jacob Simmonds: DO NOT have relevant financial relationships | Neha Bansal: No Answer | Jennifer Conway: No Answer | Devin Koehl: No Answer | Ryan Cantor: DO have relevant financial relationships ; Employee:Kirklin Solutions - PHTS Data Coordinating Center Employee:Active (exists now) ; Other (please indicate in the box next to the company name):Berlin Heart - DSMB for Active Driver CAP Study:Active (exists now) | James Kirklin: DO have relevant financial relationships ; Other (please indicate in the box next to the company name):Carmat - Chair of Clinical Events Committee for the cliical trial of Carmat total artificial heart:Past (completed) ; Other (please indicate in the box next to the company name):Xvivo - CHAIR OF Clinical Events Committee for their trial on continuous perfusion of donor hearts.:Active (exists now) | Heang Lim: DO NOT have relevant financial relationships | Melodie Lynn: DO NOT have relevant financial relationships | Sabena Hussain: No Answer
Meeting Info:

Scientific Sessions 2025

2025

New Orleans, Louisiana

Session Info:

Optimizing Outcomes in Heart Failure and Transplantation for Congenital and Acquired Heart Disease

Sunday, 11/09/2025 , 03:15PM - 04:30PM

Moderated Digital Poster Session

More abstracts on this topic:
Acoramidis Effect on All-Cause Mortality in Patients with p.V142I (V122I) Variant ATTR-CM: Findings From the ATTRibute-CM Study

Alexander Kevin, Bhatt Kunal, Judge Daniel, Grodin Justin, Akinboboye Olakunle, Chen Chris, Tamby Jean-francois, Castano Adam, Fox Jonathan, Fontana Marianna, Gillmore Julian, Sarswat Nitasha, Grogan Martha, Solomon Scott, Davis Margot, Cuddy Sarah, Kittleson Michelle, Shah Keyur, Griffin Jan, Ruberg Frederick, Khouri Michel

Altered Left Ventricular Hemodynamic Forces in Transposition of Great Arteries Following Arterial Switch Operation

Gaviria Susana, Kollar Sarah, Capuano Francesco, Loke Yue-hin

More abstracts from these authors:
Prevalence and Risk Factors for Ventricular Assist Device-Associated Infection in Children: An Analysis of the ACTION Registry

Townsend Madeleine, Bansal Neha, Amdani Shahnawaz, Naorem Rashmita, Shezad Muhammad, Conway Jennifer

Long-Term Survival in Pediatric Heart Transplantation: A PHTS-SRTR Linkage Study

Kamsheh Alicia, Koehl Devin, Cantor Ryan, Choudhry Swati, Hayes Emily, Hsu Daphne, Canter Charles, Kirklin James, Beasley Gary

You have to be authorized to contact abstract author. Please, Login
Not Available