Logo

American Heart Association

  26
  0


Final ID: 4369749

Electronegative Lipoprotein Subfractions Modulate Inflammation and Viability in Monocytes and Endothelial cells

Abstract Body (Do not enter title and authors here): Background
Emerging evidence indicates that lipoprotein quality, more than quantity, drives atherogenesis. Lipoproteins can be classified into five subfractions by electronegativity, with subfraction 1 being protective and subfraction 5 the most electronegative and atherogenic. In this study, we examined how the most electronegative subfractions, L5, H5, their combination L5+H5, and total Lp5 (all possible electronegative lipoprotein subtypes; VLDL, IDL, LDL, and HDL) affect cell viability and cytokine production in bovine aortic endothelial cells (BAECs) and THP-1 monocytes.
Objective
To assess how electronegative lipoprotein subfractions affect viability and cytokine production in endothelial cells and monocytes.
Methods
Lipoproteins were isolated by ultracentrifugation, followed by anion-exchange chromatography to obtain electronegative fractions. Cells were exposed to increasing concentrations of subfractions or their combination for 24 hours. Viability was assessed by fluorescence assay after trypan blue exclusion, quantified via image cytometry. Cytokine levels in culture media and cell supernatant were measured by ELISA.
Results
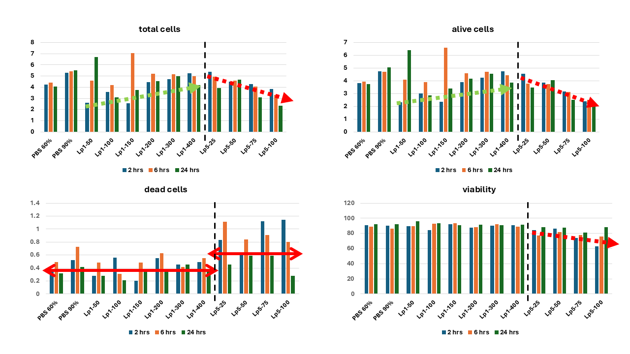
Following 24-hour incubation with single and combined lipoprotein subfractions, varying degrees of changes were observed in IL-6, TNF-α, and IL-10 levels in both cell culture media and cell lysate supernatants of THP-1 and BAEC. Subfraction 5 notably elevated pro-inflammatory cytokines. H5 slightly reduced THP-1 viability, while L5 caused a moderate decrease at 50µg/mL. Their combination produced a synergistic effect, significantly lowering cell number and viability. Total lipoproteins showed the strongest cytotoxicity, with Lp5 exhibiting dose- and time-dependent toxicity (25-100µg/mL) toward THP-1 cells, unlike the less electronegative Lp1 (Fig. 1&2).
Conclusion
Electronegative lipoprotein subfractions reduce endothelial and monocyte viability, indicating cytotoxicity that impairs vascular defenses and promotes atherogenesis. In contrast, the least electronegative subfractions enhance proliferation, suggesting a non-toxic, supportive role. Distinct cytokine profiles highlight divergent immunomodulatory effects and implicate dysfunctional lipoproteins in vascular inflammation and atherosclerosis. These findings highlight the potential clinical relevance of lipoprotein electronegativity, supporting the introduction of a 'lipoprotein electronegativity index' as a novel marker for assessing lipoprotein quality and atherogenic risk.
  • Akyol, Omer  ( Texas Heart Institute , Houston , Texas , United States )
  • Ouyang, Frances  ( Texas Heart Institute , Houston , Texas , United States )
  • Chiang, Huan-hsing  ( The Texas Heart Institute , Houston , Texas , United States )
  • Hsu, Wen-li  ( Kaohsiung Medical University , Kaohsiung , Taiwan )
  • Gotto, Antonio  ( Weill Cornell Medical College , New York , New York , United States )
  • Sanchez-quesada, Jose Luis  ( Biomedical Research Institute IIB , Barcelona , Spain )
  • Chen, Chu-huang  ( The Texas Heart Institute , Houston , Texas , United States )
  • Author Disclosures:
    Omer Akyol: DO NOT have relevant financial relationships | Frances Ouyang: DO NOT have relevant financial relationships | Huan-Hsing Chiang: DO NOT have relevant financial relationships | Wen-Li Hsu: DO NOT have relevant financial relationships | Antonio Gotto: No Answer | Jose Luis Sanchez-Quesada: DO NOT have relevant financial relationships | Chu-Huang Chen: No Answer
Meeting Info:

Scientific Sessions 2025

2025

New Orleans, Louisiana

Session Info:

George Lyman Duff Memorial Lecture

Sunday, 11/09/2025 , 08:00AM - 09:15AM

Abstract Oral Session

More abstracts on this topic:
Association Between Lp(a) and Cardiovascular Events in Individuals with Peripheral Artery Disease in the Mass General Brigham Lp(a) Registry

Mcclintick Daniel, Gerhard Marie, Januzzi James, Di Carli Marcelo, Secemsky Eric, Bhatt Deepak, Blankstein Ron, Divakaran Sanjay, Biery David, Berman Adam, Besser Stephanie, Shiyovich Arthur, Singh Avinainder, Huck Daniel, Weber Brittany, Bonaca Marc

A multi-proteomic Risk Score Predicts Adverse Cardiovascular Outcomes in Patients with Angina and Non-obstructive Coronary Artery Disease

Huang Jingwen, Lodhi Rafia, Lodhi Saleha, Eldaidamouni Ahmed, Hritani Wesam, Hasan Muhammet, Haroun Nisreen, Quyyumi Arshed, Mehta Puja, Leon Ana, Ko Yi-an, Yang Huiying, Medina-inojosa Jose, Ahmed Taha, Harris Kristen, Alkhoder Ayman, Al Kasem Mahmoud

More abstracts from these authors:
Electronegative HDL and LDL Particles Synergistically Compromise Vascular Innate Immunity

Akyol Omer, Chiang Huan-hsing, Hsu Wen-li, Tsai Ming-hsien, Woodside Darren, Chen Chu-huang

Electronegative VLDL Drives Maturity-Dependent Cellular Dysfunction on Human Cardiomyocytes

Chiang Huan-hsing, Akyol Omer, Ouyang Frances, Hochman Mendez Camila, Mesquita Fernanda, Chen Chu-huang

You have to be authorized to contact abstract author. Please, Login
Not Available