Logo

American Heart Association

  78
  0


Final ID: Su3057

Anatomic Physiological Scoring is a Comparable Predictor of Adult Congenital Operative Morbidity and Mortality

Abstract Body (Do not enter title and authors here): Background: The revised 2018 AHA/ACC guidelines for adult congenital heart disease (ACHD) introduced the anatomic physiological (AP) classification to better categorize disease severity and prognosis in the ACHD population. Validation of the ACHD AP classification score (ACAP) to predict short-term and long-term postoperative morbidity and mortality in a US cohort has not been previously performed.

Objective: We aimed to assess the accuracy of the ACHD AP classification in predicting short-term and long-term postoperative morbidity and mortality.

Methods: This retrospective cohort study included 310 ACHD patients at a single academic institution between 2018 to 2022. Patients were identified by the STS congenital surgery registry and had undergone a congenital surgical procedure. The primary outcome was overall mortality. Secondary outcomes included short-term postoperative morbidity (stroke, arrythmia, bleeding, readmission, length of stay), long-term mortality, and comparison of the ACAP score to other existing surgical mortality risk scores. Kaplan-Meier and area under the curve (AUC) of Receiver Operating Characteristic curves were used to evaluate mortality. Logistic regression was used to compare short-term morbidity.

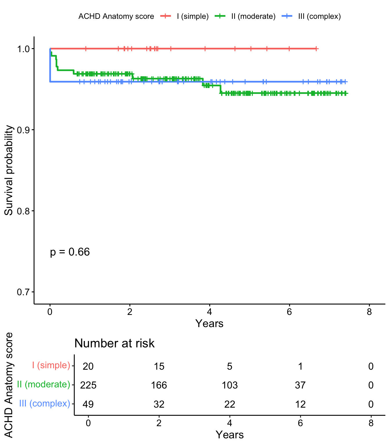
Results: A total of 305 patients were included with a median age of 30 years (interquartile range 21-41 years) and 52% were female. There was a total of 16 deaths with 7 (2.3%) early postoperative deaths and 9 (3%) long-term deaths. By increasing anatomy complexity, overall mortality was 0%, 5% (n=11), and 4% (n=2), respectively. By increasing physiologic severity, overall mortality was 0%, 3% (n=2), 3% (n=6), and 15% (n=6). Moderate and complex anatomy trended towards increased mortality but were not statistically significant (p = 0.66, Figure 1). More severe physiology scores predicted increased mortality (p = 0.014, Figure 2). Higher physiologic or anatomic complexity scores were associated with longer postoperative length of stay. The ACAP AUC was 0.711 for mortality (Figure 3), which was comparable to other scores (PEACH AUC 0.575, ACHS AUC 0.798).

Conclusions: The ACAP score revealed comparable predictive power to existing risk models. Worsening physiologic and anatomy scores were associated with worse postoperative outcomes. Further prospective studies are needed to validate the ACAP score as a prognostic factor for patients undergoing ACHD surgery.
  • La, Brenda  ( University of Colorado , Aurora , Colorado , United States )
  • Taylor-fishwick, Jon  ( University of Colorado , Aurora , Colorado , United States )
  • Macbeth, Morgan  ( University of Colorado , Aurora , Colorado , United States )
  • Soohoo, Megan  ( University of Colorado , Aurora , Colorado , United States )
  • Author Disclosures:
    Brenda La: DO NOT have relevant financial relationships | Jon Taylor-Fishwick: DO NOT have relevant financial relationships | Morgan MacBeth: DO NOT have relevant financial relationships | Megan SooHoo: No Answer
Meeting Info:

Scientific Sessions 2025

2025

New Orleans, Louisiana

Session Info:

Risk Stratification, Engagement, and Functional Outcomes in CHD

Sunday, 11/09/2025 , 03:15PM - 04:15PM

Abstract Poster Board Session

More abstracts on this topic:
A Multicenter Friedreich Ataxia Registry Identifies Posterior Wall Thickness as a Predictor of Major Adverse Cardiac Events

Lin Kimberly, Johnson Jonathan, Mccormack Shana, Lynch David, Tate Barbara, Feng Yixuan, Huang Jing, Mercer-rosa Laura, Dedio Anna, Mcsweeney Kara, Fournier Anne, Yoon Grace, Payne Ronald, Cripe Linda, Patel Aarti, Niaz Talha

Abnormal Oxygen Pulse Trajectory Differentiates Anatomic Complexity and Functional Classification in Adults with Congenital Heart Disease

Campbell Matthew, Lefebvre Margaret, Li Pengyang, Padgett Hannah, Tchoukina Inna, Canada Justin, Shah Sangeeta, Rouse Sierra, Reyes Oscar, Shin Yongdeok, Bakken Brad, Coe Alexa, Hallam Jessica, Kapa Meghana

More abstracts from these authors:
Assessment of the Accuracy of the Perioperative Mortality Risk in Adults with Congenital Heart Disease (PEACH) Score

Taylor-fishwick Jon, Duarte Vivian, Olson Kaitlin, Khanna Amber, Soohoo Megan

You have to be authorized to contact abstract author. Please, Login
Not Available