Logo

American Heart Association

  36
  0


Final ID: MP2512

Interplay Between Heart Failure Progression, New-Onset Diabetes, and Finerenone: A FINEARTS-HF Analysis

Abstract Body (Do not enter title and authors here):
Background: Heart failure (HF) and diabetes frequently co-exist, but whether worsening HF events are associated with dysglycemia and new-onset diabetes remains uncertain.

Aims: To explore glycemic trajectories before and after worsening HF events, the association between HF events and new-onset diabetes, and whether treatment benefits of finerenone on new-onset diabetes are mediated by reductions in HF events among persons with HF and mildly reduced or preserved ejection fraction (HFmrEF/HFpEF) in the FINEARTS-HF trial.

Methods: FINEARTS-HF enrolled individuals with chronic HFmrEF/HFpEF, with or without diabetes. First, temporal trajectories of glycated hemoglobin (HbA1c) were evaluated before and after HF events using repeated-measures linear regression and expressed using restricted cubic splines. Second, multivariable-adjusted Cox proportional hazards regression models were used to examine the rate of new-onset diabetes after (vs. before) worsening HF events. Third, whether reductions in HF events mediated the benefit of finerenone on new-onset diabetes was assessed.

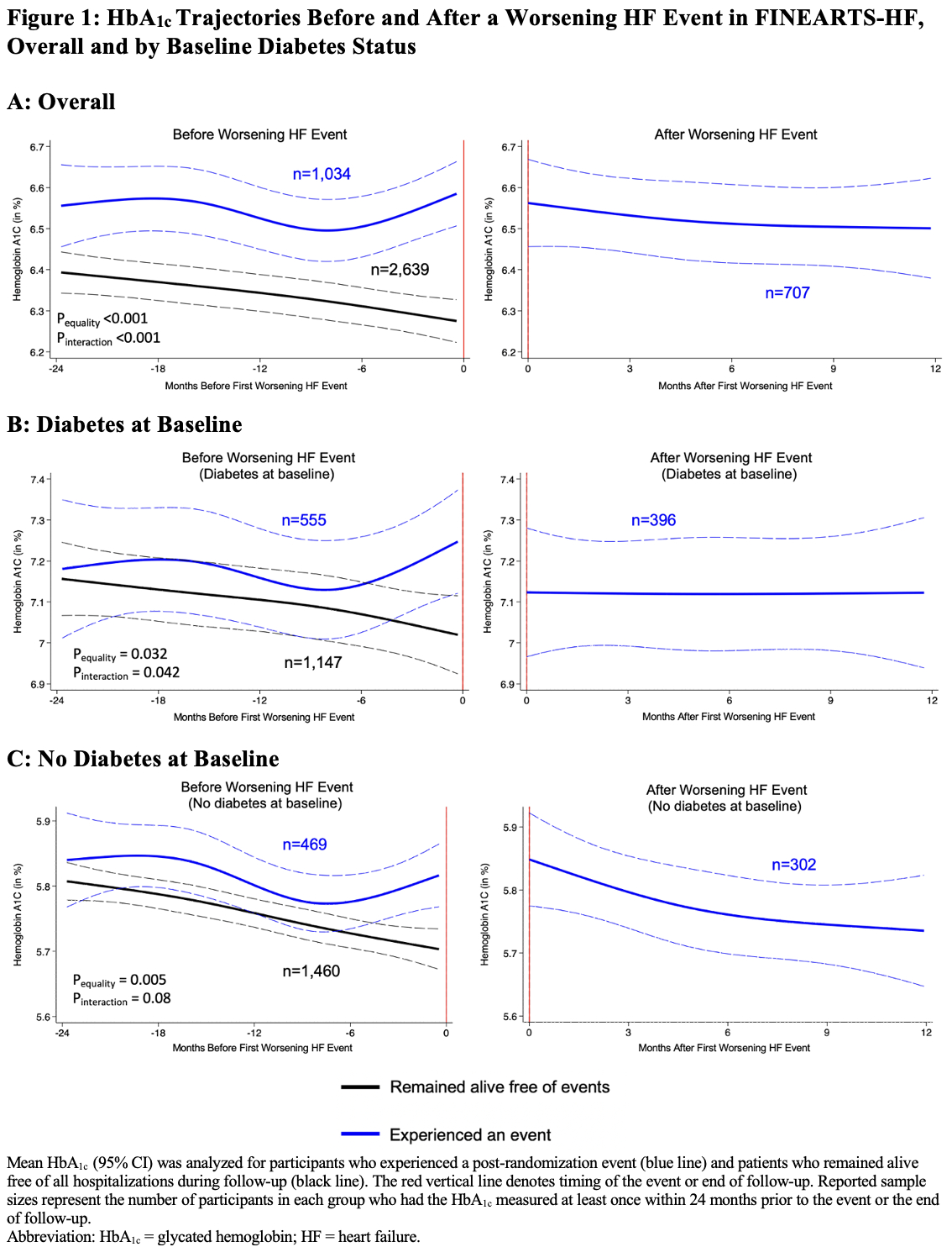
Results: Among 6,001 FINEARTS-HF participants, 2,412 (40%) had a history of diabetes at baseline, of whom 1,671 (69%) had a diagnosis of diabetes that preceded HF and 741 (31%) had a diagnosis of diabetes either concurrent with or after HF. Overall, participants who experienced a worsening HF event (n=1,034) had higher HbA1c levels compared with those who did not (P<0.001), and HbA1c levels tended to increase slightly prior to HF events (Figure 1). Similar patterns were observed among participants with and without diabetes. The incidence of new-onset diabetes increased sharply after a HF event (Figure 2), with a >2-fold risk of new-onset diabetes after (vs. before) a worsening HF event (adjusted hazard ratio [HR], 2.61; 95% CI, 1.76-3.85). However, most (87%) new-onset diabetes events occurred before HF events or among participants without a HF event. Reductions in worsening HF with finerenone vs. placebo did not meaningfully attenuate the benefit of finerenone on new-onset diabetes (HR [95% CI] before and after adjustment for worsening HF events: 0.76 [0.59-0.97] and 0.77 [0.60-0.98], respectively).

Conclusions: Worsening HF events were associated with a substantially increased risk of new-onset diabetes in FINEARTS-HF, suggesting bidirectional interplay between HF and metabolic function. Benefits of finerenone on new-onset diabetes were independent of its benefits on worsening HF events.
  • Ostrominski, John  ( Brigham and Womens Hospital , Boston , Massachusetts , United States )
  • Zannad, Faiez  ( CVCT and Universite de Lorraine , Paris , France )
  • Pitt, Bertram  ( University of Michigan School , Ann Arbor , Michigan , United States )
  • Brinker, Meike  ( Bayer AG , Berlin , Germany )
  • Schloemer, Patrick  ( Bayer AG , Berlin , Germany )
  • Rohwedder, Katja  ( Bayer AG , Berlin , Germany )
  • Mcmurray, John  ( BHF CARDIOVASCULAR RESEARCH CENTRE , Glasgow , United Kingdom )
  • Solomon, Scott  ( Brigham and Women's Hospital , Boston , Massachusetts , United States )
  • Vaduganathan, Muthiah  ( Brigham and Womens Hospital , Boston , Massachusetts , United States )
  • Lu, Henri  ( Lausanne University Hospital , Lausanne , Switzerland )
  • Claggett, Brian  ( Brigham and Women's Hospital , Boston , Massachusetts , United States )
  • Desai, Akshay  ( BRIGHAM WOMENS HOSPITAL , Boston , Massachusetts , United States )
  • Jhund, Pardeep  ( UNIVERSITY OF GLASGOW , Glasgow , United Kingdom )
  • Lam, Carolyn  ( NATIONAL HEART CENTRE SINGAPORE , Singapore , Singapore )
  • Senni, Michele  ( ASST PAPA GIOVANNI XXIII , BERGAMO , Italy )
  • Shah, Sanjiv  ( NORTHWESTERN UNIVERSITY , Chicago , Illinois , United States )
  • Voors, Adriaan  ( UNIVERSITY MEDICAL CENTER GRONINGEN , Gronien , Netherlands )
  • Author Disclosures:
    John Ostrominski: DO NOT have relevant financial relationships | Faiez ZANNAD: DO have relevant financial relationships ; Advisor:Alnylam, Bayer, Biopeutics, Boehringer, Cellprothera, Centrix, Cereno, Centrix Corteria, CVRx, Lilly, Lupin, Merck, NovoNordisk, Opalia Recordati, Owkin, Polygon, Ribocure, Roche, Viatris,:Active (exists now) ; Ownership Interest:Polygon, Cereno pharmaceutical, CVCT:Active (exists now) | Bertram Pitt: DO have relevant financial relationships ; Consultant:Bayer:Active (exists now) ; Other (please indicate in the box next to the company name):Mineralys-DSMB:Active (exists now) ; Individual Stocks/Stock Options:Anacardio:Active (exists now) ; Individual Stocks/Stock Options:Sea star Medical:Active (exists now) ; Individual Stocks/Stock Options:Prointel:Active (exists now) ; Individual Stocks/Stock Options:Sarfez Pharmceuticals:Active (exists now) ; Individual Stocks/Stock Options:KBP Biosciences :Active (exists now) ; Individual Stocks/Stock Options:Cereno scientific:Active (exists now) ; Individual Stocks/Stock Options:G3 Pharmaceuticals:Active (exists now) ; Individual Stocks/Stock Options:SQ innovations :Active (exists now) ; Individual Stocks/Stock Options:Sc Pharmaceuticals:Active (exists now) ; Individual Stocks/Stock Options:Vifor:Active (exists now) ; Consultant:Bristol Myers squibb:Active (exists now) ; Consultant:Lexicon:Active (exists now) ; Consultant:Boehringer Ingelheim:Active (exists now) | Meike Brinker: No Answer | Patrick Schloemer: DO have relevant financial relationships ; Employee:Bayer AG:Active (exists now) | Katja Rohwedder: DO have relevant financial relationships ; Employee:Bayer AG:Active (exists now) | John McMurray: DO NOT have relevant financial relationships | Scott Solomon: DO have relevant financial relationships ; Research Funding (PI or named investigator):Alexion, Alnylam, Applied Therapeutics, AstraZeneca, Bellerophon, Bayer, BMS, Boston Scientific, Cytokinetics, Edgewise, Eidos/BridgeBio, Gossamer, GSK, Ionis, Lilly,NIH/NHLBI, Novartis, NovoNordisk, Respicardia, Sanofi Pasteur, Tenaya, Theracos, US2.AI:Active (exists now) ; Consultant:Abbott, Action, Akros, Alexion, Alnylam, Amgen, Arena, Askbio, AstraZeneca, Bayer, BMS, Cardior, Cardurion, Corvia, Cytokinetics, GSK, Intellia, Lilly, Novartis, Roche, Theracos, Quantum Genomics, Tenaya, Sanofi-Pasteur, Dinaqor, Tremeau, CellProThera, Moderna, American Regent, Sarepta, Lexicon, Anacardio, Akros, Valo, Synhale, Recordati:Active (exists now) | Muthiah Vaduganathan: DO have relevant financial relationships ; Consultant:American Regent, Amgen, AstraZeneca, Bayer AG, Baxter Healthcare, Bristol Myers Squibb, Boehringer Ingelheim, Chiesi, Cytokinetics, Esperion, Fresenius Medical Care, Idorsia Pharmaceuticals, Lexicon Pharmaceuticals, Merck, Milestone Pharmaceuticals, Novartis, Novo Nordisk, Pharmacosmos, Relypsa, Roche Diagnostics, Sanofi and Tricog Health:Active (exists now) ; Research Funding (PI or named investigator):Amgen, AstraZeneca, Boehringer Ingelheim, Galmed, Novartis, Bayer AG, Occlutech, Pharmacosmos, and Impulse Dynamics:Active (exists now) | Henri Lu: DO have relevant financial relationships ; Consultant:Cytokinetics:Past (completed) ; Consultant:Astra Zeneca:Past (completed) ; Advisor:Bayer:Past (completed) | Brian Claggett: No Answer | Akshay Desai: DO have relevant financial relationships ; Research Funding (PI or named investigator):Abbott:Past (completed) ; Consultant:River2Renal:Active (exists now) ; Consultant:Roche:Active (exists now) ; Consultant:Regeneron:Active (exists now) ; Consultant:New Amsterdam:Active (exists now) ; Consultant:Novartis:Past (completed) ; Consultant:Merck:Past (completed) ; Consultant:Medtronic:Past (completed) ; Consultant:Medpace:Active (exists now) ; Consultant:GlaxoSmithKline:Past (completed) ; Consultant:Endotronix:Active (exists now) ; Consultant:CVS:Active (exists now) ; Consultant:Boston Scientific:Active (exists now) ; Researcher:Biofourmis:Active (exists now) ; Consultant:Bayer:Active (exists now) ; Consultant:Axon Therapies:Past (completed) ; Consultant:Avidity Biopharma:Active (exists now) ; Consultant:AstraZeneca:Active (exists now) ; Consultant:Alnylam:Active (exists now) ; Consultant:Abbott:Active (exists now) ; Research Funding (PI or named investigator):Pfizer:Active (exists now) ; Research Funding (PI or named investigator):Novartis:Past (completed) ; Research Funding (PI or named investigator):Bayer:Active (exists now) ; Research Funding (PI or named investigator):AstraZeneca:Active (exists now) ; Research Funding (PI or named investigator):Alnylam:Active (exists now) | Pardeep Jhund: DO have relevant financial relationships ; Consultant:AstraZeneca:Active (exists now) ; Other (please indicate in the box next to the company name):Director GCTP :Active (exists now) ; Researcher:Analog Devices :Active (exists now) ; Researcher:Roche Diagnostics:Active (exists now) ; Researcher:AstraZeneca:Past (completed) ; Researcher:Boheringer Ingelheim:Past (completed) ; Consultant:Bayer:Active (exists now) | Carolyn Lam: DO have relevant financial relationships ; Consultant:Alnylam Pharma, AnaCardio, Applied Therapeutics, AstraZeneca:Active (exists now) ; Other (please indicate in the box next to the company name):Us2.ai (Co-founder and Non-Executive Director):Active (exists now) ; Research Funding (PI or named investigator):Roche and Novo Nordisk:Active (exists now) ; Consultant:Quidel Corporation, Radcliffe Group Ltd., Roche and Us2.ai:Active (exists now) ; Consultant:Janssen Research & Development LLC, Medscape/WebMD Global LLC, Merck, Novartis, Novo Nordisk:Active (exists now) ; Consultant:Eli Lilly, Impulse Dynamics, Intellia Therapeutics, Ionis Pharmaceutical:Active (exists now) ; Consultant:Corteria, CPC Clinical Research, Cytokinetics:Active (exists now) ; Consultant:Bayer, Biopeutics, Boehringer Ingelheim, Boston Scientific, Bristol Myers Squibb:Active (exists now) | Michele Senni: No Answer | Sanjiv Shah: DO NOT have relevant financial relationships | Adriaan Voors: DO have relevant financial relationships ; Consultant:Adrenomed:Past (completed) ; Consultant:Novartis:Active (exists now) ; Consultant:Moderna:Active (exists now) ; Consultant:Merck:Active (exists now) ; Consultant:EliLilly:Active (exists now) ; Consultant:Corteria:Active (exists now) ; Consultant:Cardurion:Active (exists now) ; Research Funding (PI or named investigator):Novo Nrodisk:Active (exists now) ; Research Funding (PI or named investigator):Bayer AG:Active (exists now) ; Research Funding (PI or named investigator):Boehringer Ingelheim:Active (exists now) ; Consultant:Boehringer Ingelheim:Active (exists now) ; Consultant:Bayer AG:Active (exists now) ; Consultant:AstraZeneca:Active (exists now) ; Consultant:Armgo:Active (exists now) ; Consultant:Anacardio:Active (exists now)
Meeting Info:

Scientific Sessions 2025

2025

New Orleans, Louisiana

Session Info:

(Non-) Roid Rage: Novel Insights Into Non-Steroidal MRAs for HF

Monday, 11/10/2025 , 12:15PM - 01:25PM

Moderated Digital Poster Session

More abstracts on this topic:
A pharmacist-led, population health approach to optimizing care in patients with hypertension and type II diabetes mellitus in minority groups

Doyle Julie, Haftel Elizabeth, Monroe Janet, Chen Zsu-zsu, Benson Mark, Yankama Tuyen, Adam Atif, Rubin Rochelle

A Model-Sharing Approach for Quality Improvement of Diabetes and Cardiovascular Disease

Elligers Kyle, Pollner Meghan, Overton Katherine, Congdon Michelle, Greenway Stacey, Lambro Patricia, Sadiku Steven, Schechter Rona, Whelan John, Pressley Bianca, Sednew Renee, Duckett Sara

More abstracts from these authors:
Timing of Cardiovascular and Kidney Benefits with Finerenone in Heart Failure and Chronic Kidney Disease with Type 2 Diabetes

Ostrominski John, Shah Sanjiv, Voors Adriaan, Zannad Faiez, Rossing Peter, Ruilope Luis, Anker Stefan, Pitt Bertram, Agarwal Rajiv, Lay-flurrie James, Brinker Meike, Neuen Brendon, Amarante Flaviana, Hofmeister Lucas, Mcmurray John, Solomon Scott, Vaduganathan Muthiah, Claggett Brian, Filippatos Gerasimos, Desai Akshay, Jhund Pardeep, Henderson Alasdair David, Lam Carolyn, Senni Michele

Effect of finerenone on a hierarchical composite endpoint analyzed using win statistics in patients with heart failure and mildly reduced or preserved ejection fraction: A prespecified analysis of FINEARTS-HF.

Kondo Toru, Amarante Flaviana, Lam Carolyn, Senni Michele, Shah Sanjiv, Voors Adriaan, Zannad Faiez, Pitt Bertram, Vaduganathan Muthiah, Solomon Scott, Mcmurray John, Jhund Pardeep, Henderson Alasdair David, Claggett Brian, Desai Akshay, Brinker Meike, Lay-flurrie James, Schloemer Patrick, Viswanathan Prabhakar

You have to be authorized to contact abstract author. Please, Login
Not Available