Logo

American Heart Association

  54
  0


Final ID: MP2333

A multi-task deep learning algorithm for detecting obstructive coronary artery disease using fundus photographs

Abstract Body (Do not enter title and authors here): Background and Aims: Obstructive coronary artery disease (CAD) can lead to myocardial infarction or cardiac death. The accuracy of conventional risk prediction models is limited, leading to excessive or insufficient prediction probabilities for patients and resulting in unnecessary angiography. We developed a deep learning (DL) model using non-invasive fundus photographs (FP) to identify obstructive CAD.
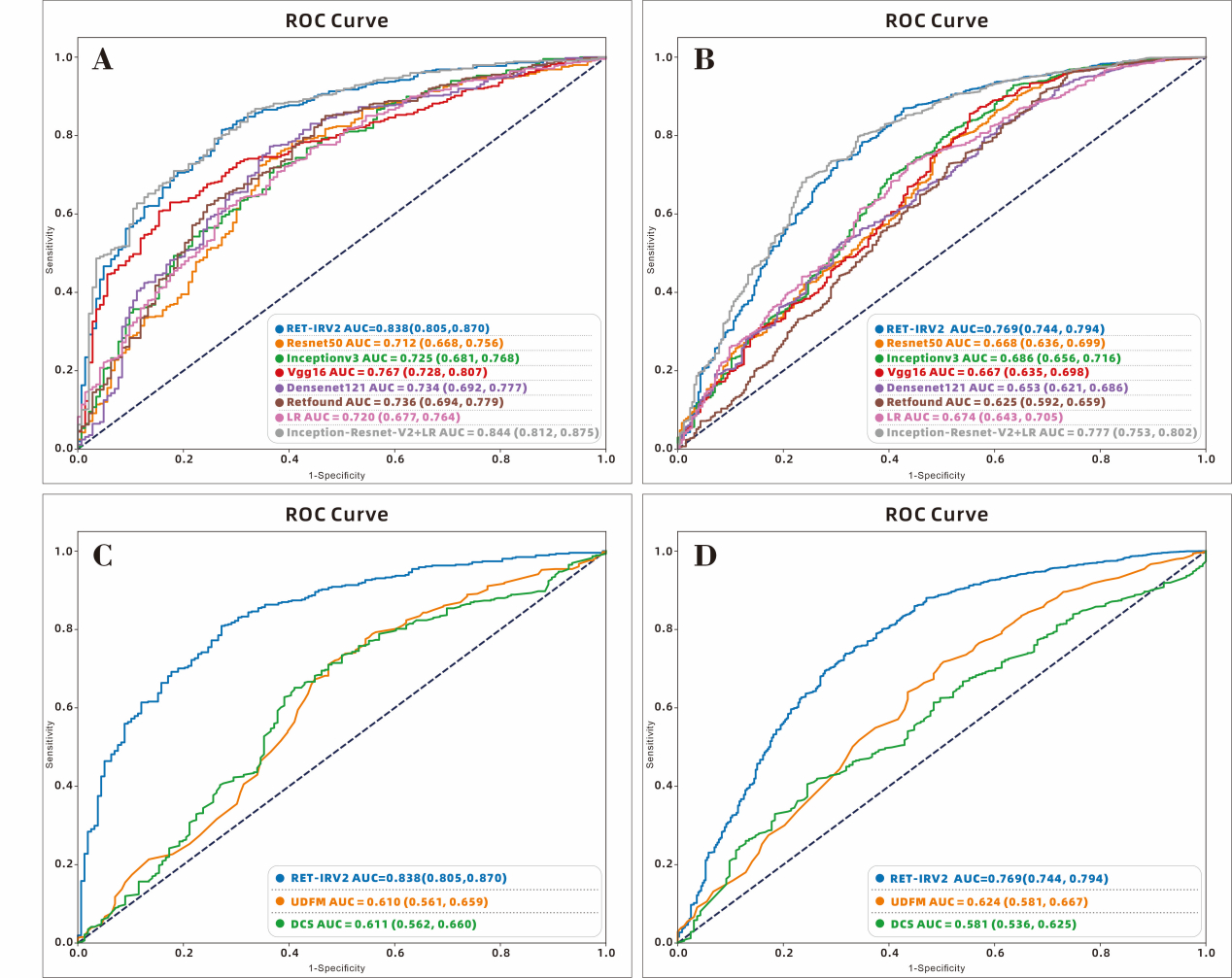
Methods and results: In this multicenter cohort study, six different multi-task DL models were developed and validated using patient FPs to detect obstructive CAD, and subsequently compared with logistic regression and guideline-recommended traditional models.. Area under the receiver operating characteristic curve (AUC) was used to evaluate model performance in internal test and independent external test data. The best performing DL model, Inception-Resnet-V2, achieves AUC of 0.838 (95% [CI] 0.799 - 0.870) in the internal test group and 0.769 (95% [CI] 0.737 - 0.793) in the external test group. The net reclassification index showed Inception-Resnet-V2 model predicted better accuracy than traditional models (updated Diamond-Forrester method=0.313, Duke clinical score = 0.397, logistic regression = 0.220; all P < 0.001). Interpretability experiments suggest that the model may be related to retinal vascular characteristics and that the diagnostic efficacy is not affected by traditional risk factors.
Conclusion: The study emphasizes that the non-invasive FP-based DL model outperforms traditional models in predicting obstructive CAD, enabling clinicians to optimize treatment options for patients.
  • Zeng, Yong  ( Beijing Anzhen Hospital , Beijing , China )
  • Ding, Yaodong  ( Beijing Anzhen Hospital , Beijing , China )
  • Author Disclosures:
    Yong Zeng: DO NOT have relevant financial relationships | Yaodong Ding: DO NOT have relevant financial relationships
Meeting Info:

Scientific Sessions 2025

2025

New Orleans, Louisiana

Session Info:

AI-Powered Multimodal Imaging and ECG for Disease-Specific Diagnostics

Monday, 11/10/2025 , 12:15PM - 01:25PM

Moderated Digital Poster Session

More abstracts on this topic:
A Machine Learning Approach to Simplify Risk Stratification of Patients with Atherosclerotic Cardiovascular Disease

Li Hsin Fang, Gluckman Ty, Nute Andrew, Weerasinghe Roshanthi, Wendt Staci, Wilson Eleni, Sidelnikov Eduard, Kathe Niranjan, Swihart Charissa, Jones Laney


A blood test based on RNA-seq and machine learning for the detection of steatotic liver disease: A Pilot Study on Cardiometabolic Health

Poggio Rosana, Berdiñas Ignacio, La Greca Alejandro, Luzzani Carlos, Miriuka Santiago, Rodriguez-granillo Gaston, De Lillo Florencia, Rubilar Bibiana, Hijazi Razan, Solari Claudia, Rodríguez Varela María Soledad, Mobbs Alan, Manchini Estefania

You have to be authorized to contact abstract author. Please, Login
Not Available