Logo

American Heart Association

  39
  0


Final ID: Mo1025

Prospective Study of Changes in High-Molecular-Weight Multimers of von Willebrand Factor During Initiation and Weaning of Temporary Mechanical Circulatory Support

Abstract Body (Do not enter title and authors here): Background: Mechanical circulatory support (MCS) improves outcomes in patients with end-stage heart failure (HF) refractory to medical therapy. However, bleeding is the most common complication associated with continuous-flow MCS (CF-MCS), affecting up to 50% of patients. Supraphysiological shear stress from CF-MCS induces acquired von Willebrand factor (vWF) deficiency, which contributes to bleeding. Despite its clinical relevance, temporal changes in vWF profiles during MCS, particularly immediately after initiation and withdrawal, remain poorly understood.
Aims: This study aimed to characterize the temporal profile of vWF in patients receiving temporary MCS.
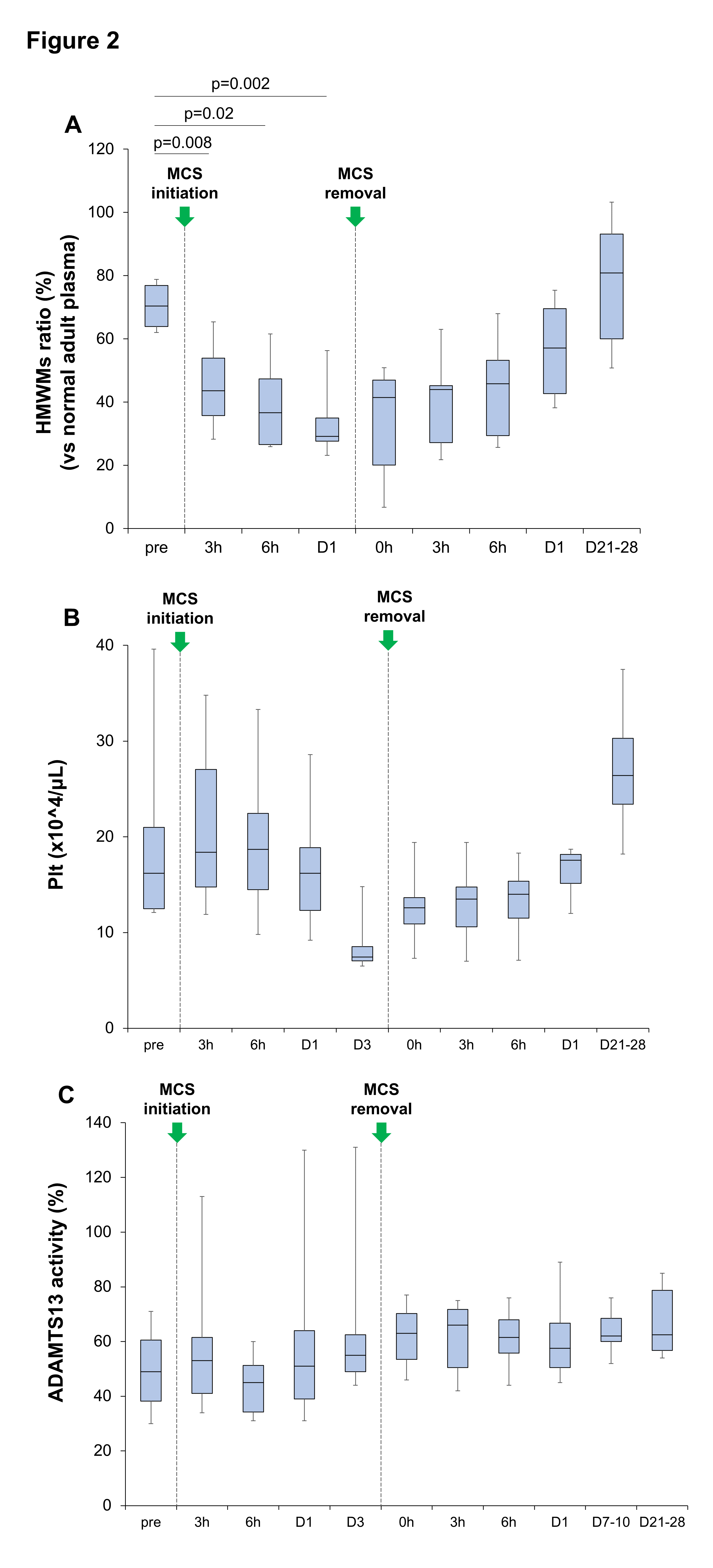
Methods: This prospective study enrolled patients aged 20–90 years who received temporary MCS at Tohoku University Hospital between July 2022 and September 2024. vWF multimer analysis was performed by gel electrophoresis using blood samples collected at 12 predefined time points: before MCS initiation; 3 hours, 6 hours, day 1, and day 3 after initiation; immediately before and after weaning; and 3 hours, 6 hours, 24 hours, day 7–10, and day 21–28 after weaning. High-molecular-weight multimers (HMWMs) were defined as those >10 bands. Platelet count and ADAMTS13 activity were also measured.
Results: Eight patients (mean age 54 years; 6 males) were enrolled. MCS devices included Impella (n=2), veno-arterial extracorporeal membrane oxygenation (V-A ECMO) (n=2), and a combination of both (n=4). Seven patients were successfully weaned from MCS after a mean duration of 7 days; one patient was transitioned to ventricular assist device therapy. Figure 1 displays a representative serial gel analysis of plasma vWF multimers from one patient, with a healthy volunteer as control. HMWMs declined rapidly after MCS initiation but recovered following device removal (Figure 2A). Platelet counts remained stable on day 1 but decreased by day 3 (Figure 2B), while ADAMTS13 activity remained unchanged throughout the study period (Figure 2C). Six patients developed BARC type 3 or 5 bleeding within 72 hours of MCS initiation, coinciding with the early reduction in HMWMs.
Conclusion: In this prospective study, a rapid decline in HMWMs was observed shortly after MCS initiation, with recovery following device removal. These findings suggest that early bleeding events after MCS initiation could be linked to reductions in HMWMs, although the extent of this association warrants further investigation.
  • Adachi, Ayumi  ( Tohoku University Graduate School of Medicine , Sendai , Japan )
  • Yasuda, Satoshi  ( Tohoku University Graduate School of Medicine , Sendai , Japan )
  • Oyama, Kazuma  ( Tohoku University Graduate School of Medicine , Sendai , Japan )
  • Takahashi, Jun  ( Tohoku University Graduate School of Medicine , Sendai , Japan )
  • Funaki, Takahiro  ( Tohoku University Graduate School of Medicine , Sendai , Japan )
  • Shindo, Tomohiko  ( Tohoku University Graduate School of Medicine , Sendai , Japan )
  • Shiroto, Takashi  ( Tohoku University Graduate School of Medicine , Sendai , Japan )
  • Hayashi, Hideka  ( Tohoku University Graduate School of Medicine , Sendai , Japan )
  • Suzuki, Hideaki  ( Tohoku University Graduate School of Medicine , Sendai , Japan )
  • Takahama, Hiroyuki  ( Tohoku University Graduate School of Medicine , Sendai , Japan )
  • Author Disclosures:
    Ayumi Adachi: DO NOT have relevant financial relationships | Satoshi Yasuda: No Answer | Kazuma Oyama: No Answer | Jun Takahashi: No Answer | Takahiro Funaki: No Answer | Tomohiko Shindo: No Answer | Takashi Shiroto: No Answer | Hideka Hayashi: No Answer | Hideaki Suzuki: DO NOT have relevant financial relationships | Hiroyuki Takahama: No Answer
Meeting Info:

Scientific Sessions 2025

2025

New Orleans, Louisiana

Session Info:

Heart in Crisis: Cutting-Edge Tools and Trends in Cardiogenic Shock Management

Monday, 11/10/2025 , 10:30AM - 11:30AM

Abstract Poster Board Session

More abstracts on this topic:
A recombinant protein oxygen carrier with reduced nitric oxide scavenging as a blood substitute for resuscitation

Xu Qinzi, Rochon Elizabeth, Bocian Kaitlin, Huang Xue, Poropatich Ronald, Gladwin Mark, Tejero Jesus, Rose Jason, Rodriguez Deborah, Hwang Hyon, Turner Bryan, Hunt Thomas, Dent Matthew, Demartino Anthony, Abdelghany Youmna, Chen Xiukai

A Phase 2 Study Evaluating the Effects of Mivelsiran, an Investigational RNA Interference Therapeutic, on Hemorrhagic and Nonhemorrhagic Manifestations of Cerebral Amyloid Angiopathy

Greenberg Steven, Parikh Neal, Lee Jin-moo, Van Etten Ellis, Van Osch Matthias, Klijn Catharina, Sostelly Alexandre, Goteti Sasikiran, Sepehrband Farshid, Avbersek Andreja, Deering Robert

More abstracts from these authors:
Sex Disparities in Acute Myocardial Infarction in Japan: A 40-Year Study from the Miyagi (Regional) AMI Registry

Funaki Takahiro, Hao Kiyotaka, Onuma Sho, Shindo Tomohiko, Oyama Kazuma, Godo Shigeo, Shiroto Takashi, Takahashi Jun, Yasuda Satoshi

You have to be authorized to contact abstract author. Please, Login
Not Available