Logo

American Heart Association

  29
  0


Final ID: 4368647

Improving Center Performance Assessment in Congenital Heart Surgery Through Causal Inference Weighting Approaches

Abstract Body (Do not enter title and authors here): Background: Traditional congenital heart surgery quality assessments rely on indirect standardization via regression, which can be complicated by heterogeneity in case-mix, surgical volume, and low mortality rates. Our prior work revealed causal inference methods can better balance such differences across centers, yet these methods have not been widely studied to date.

Aim: To compare quality assessments using traditional regression vs. causal inference weighting approaches.

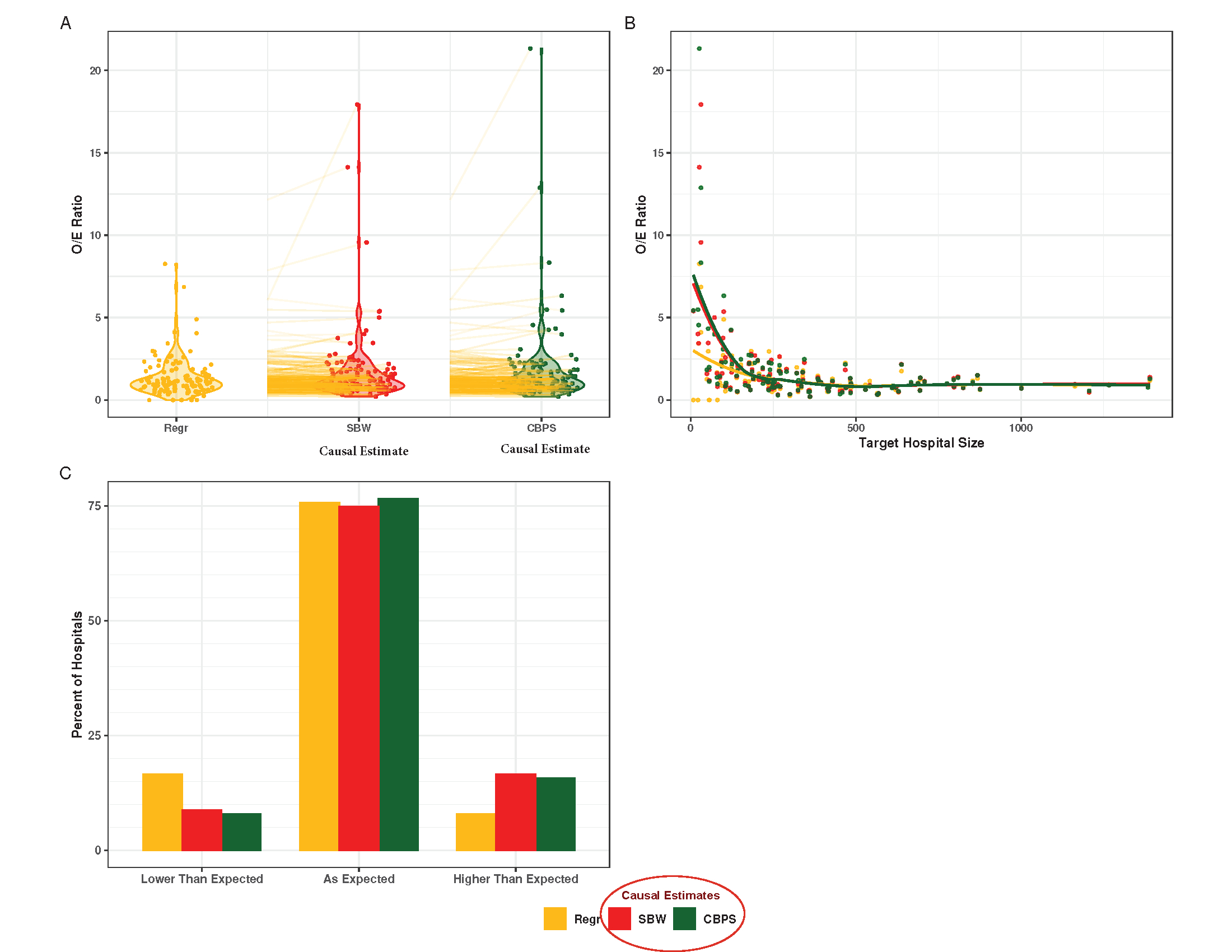
Methods: Using data from the Society of Thoracic Surgeons Congenital Heart Surgery Database (2016-22) for 10 Benchmark Operations (BMO), center observed:expected (O:E) operative mortality was calculated. Regression pooled all patients, adjusting for 21 covariates and 38 procedure-age random effects to estimate expected mortality. The causal approach divided observed mortality at each center by a weighted average of observed mortality at other centers using two weighting approaches (stable balancing [SBW] and covariate balancing propensity scores [CBPS]) and up to 204 covariates for balancing. O:E ratios (95% bootstrap intervals) were compared across methods.

Results: Across 42,579 BMOs from 115 US centers (median age 462 days, 43% female), overall operative mortality was 2.37% (range: 0.38%-6.8% in centers with ≥100 operations). Regression yielded lower, less variable O:E ratios (mean=1.37 [SD=1.21]) than causal methods (SBW = 1.76 [2.30]; CBPS = 1.79 [2.47]; Panel A). Lower volume centers had greater variability across estimates (Panel B). Regression classified fewer centers as having higher-than-expected mortality (9/115; 7.8%) compared to SBW (19/115; 17%) and CBPS (18/115; 15%); and more centers as lower-than-expected (Panel C). Compared to centers classified as higher-than-expected by all approaches, discordant centers had smaller volumes, treated more adults, and performed fewer higher complexity operations.

Conclusions: Congenital heart surgery quality assessments are sensitive to the approach for case-mix adjustment. As causal inference approaches better account for such differences across centers and rely on fewer statistical assumptions, their adoption is encouraged.
  • Normand, Sharon-lise  ( Harvard Medical School , Boston , Massachusetts , United States )
  • Zelevinsky, Katya  ( Harvard Medical School , Boston , Massachusetts , United States )
  • Han, Larry  ( Northeastern University , Boston , Massachusetts , United States )
  • Nathan, Meena  ( Boston Children's Hospital , Boston , Massachusetts , United States )
  • Abing, Haley  ( Harvard Medical School , Boston , Massachusetts , United States )
  • Mayer, John  ( Boston Childrens Hospital-BCH 3084 , Boston , Massachusetts , United States )
  • Pasquali, Sara  ( University of Michigan , Ann Arbor , Michigan , United States )
  • Author Disclosures:
    Sharon-Lise Normand: DO NOT have relevant financial relationships | Katya Zelevinsky: No Answer | Larry Han: No Answer | Meena Nathan: DO NOT have relevant financial relationships | Haley Abing: No Answer | John Mayer: DO NOT have relevant financial relationships | Sara Pasquali: No Answer
Meeting Info:

Scientific Sessions 2025

2025

New Orleans, Louisiana

Session Info:

T. Duckett Jones Memorial Lecture

Sunday, 11/09/2025 , 08:00AM - 09:15AM

Abstract Oral Session

More abstracts on this topic:
A Tale of Two Surgeries: Single Stage Versus Two Staged Approach to Creating an Ovine Model of Fontan Palliation

Kievert Jennifer, Morrison Adrienne, Nelson Kirsten, Heuer Eric, Shinoka Toshiharu, Breuer Christopher, Carrillo Sergio Alejandro, Kelly John, Spiess Joshua, Deshetler Cameron, Yuhara Satoshi, Watanabe Tatsuya, Jimenez Michael, Naguib Aymen, Mckee Christopher, Yates Andrew

A Contemporary Machine Learning-Based Risk Stratification for Mortality and Hospitalization in Heart Failure with Preserved Ejection Fraction Using Multimodal Real-World Data

Fudim Marat, Weerts Jerremy, Patel Manesh, Balu Suresh, Hintze Bradley, Torres Francisco, Micsinai Balan Mariann, Rigolli Marzia, Kessler Paul, Touzot Maxime, Lund Lars, Van Empel Vanessa, Pradhan Aruna, Butler Javed, Zehnder Tobias, Sauty Benoit, Esposito Christian, Balazard Félix, Mayer Imke, Hallal Mohammad, Loiseau Nicolas

More abstracts from these authors:
Imatinib Mesylate and Sirolimus Inhibit Fibrogenic Activation of Endocardial Endothelial Cells

Von Mueffling Alexa, Friehs Ingeborg, Gaal Julia, Zajac Cindy, Lee Umji, Diaz-gil Daniel, Jenkins Kathy, Melero-martin Juan, Del Nido Pedro, Mayer John

Prematurity Predicts Neurodevelopmental Outcomes in Congenital Heart Disease

Katz Jenna, Gauvreau Kimberlee, Butler Samantha, Sadhwani Anjali, Levy Phillip, Kaza Aditya, Nathan Meena, Newburger Jane

You have to be authorized to contact abstract author. Please, Login
Not Available