Logo

American Heart Association

  38
  0


Final ID: MP1039

Mavacamten: Real-World Experience from 34 Months of the Risk Evaluation and Mitigation Strategy (REMS) Program

Abstract Body (Do not enter title and authors here):
Introduction
Mavacamten is a first-in-class cardiac myosin inhibitor approved by the FDA for the treatment of adults with symptomatic New York Heart Association (NYHA) class II–III obstructive hypertrophic cardiomyopathy (HCM), to improve functional capacity and symptoms. The REMS program is unique to the United States and is the largest database providing insight into the safety of mavacamten in the real-world.
Aim: To evaluate the largest real-world safety cohort (3-year) of mavacamten patients from the mavacamten REMS database, (28-Apr-2022 to 27-Feb-2025), including safety data for patients treated for ≥2 year.

Methods
This retrospective analysis uses patient-level data from the mavacamten REMS database, including routine monitoring before each dispense, patient status forms [PSFs], echocardiograms, and drug-drug interaction (DDI) screening.

Results
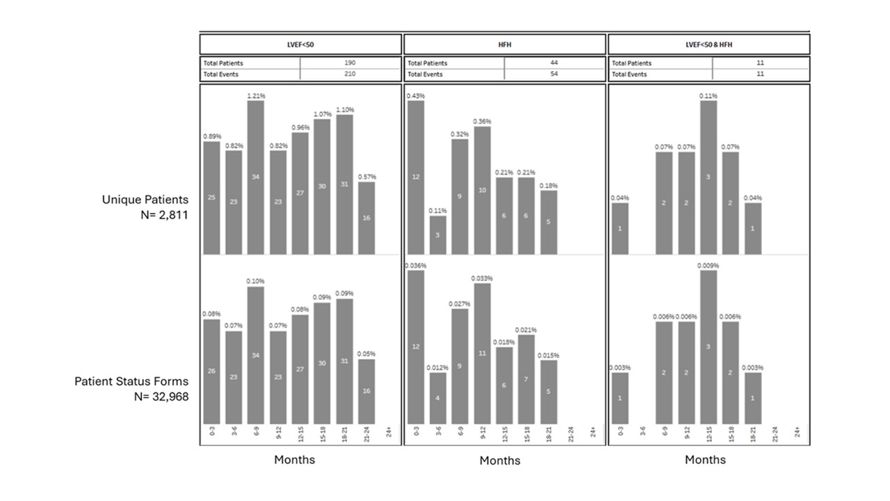
During the cumulative reporting period (28-Apr-2022 to 27-Feb-2025), a total of 11,982 patients received ≥1 dispenses of mavacamten. However, PSFs, which are required to continue treatment, were submitted for 11,007 unique patients; of these 740 (6.7%) experienced LVEF <50% and 188 (1.7%) had HF requiring hospitalization (HFH).
Altogether, 2,811 patients were treated ≥2 years: 190 (6.8%) experienced LVEF <50%, 44 (1.6%) had HFH and 11 (0.4%) had both reduction in LVEF<50% and HFH. (Figure 1). Further analysis on these long-term patients will be provided in the presentation.
A total of 7,462 patients initiated mavacamten at 5 mg/day and were treated for at least 6 months, of which 5,649 (75.7%) remained on 5 mg/day at the second dispense (Figure 2). Down titration occurred in 1,619 (21.7%) patients to 2.5 mg at the second dispense. Of these, 94.4% (n=1,529) had VLVOT <20 mmHg (Figure 3). A planned analysis of the reported LVEF<50% and HFH for these patients will provide more insights.
Among 147,306 DDI checklists completed, 213 (0.14%) led to mavacamten dose reduction, 1 mavacamten discontinuation and 231 (0.16%) to discontinuation of a concurrent medication.

Conclusion
Mavacamten treatment continued to remain consistent with clinical trials and previous reported REMS data, demonstrating a favourable real-world safety profile amongst patients treated for ≥2 years with infrequent temporary interruptions, low rates of DDIs, LVEF<50%, and HFH.
  • Desai, Milind  ( Cleveland Clinic , Solon , Ohio , United States )
  • Pipes, Gordon  ( Bristol Myers Squibb , Morganville , New Jersey , United States )
  • Bhatt, Jaideep  ( Bristol Myers Squibb , Morganville , New Jersey , United States )
  • Martinez, Matthew  ( Atlantic Health System , Morristown , New Jersey , United States )
  • Massera, Daniele  ( NYU Langone Health , New York , New York , United States )
  • Seto, Dewey  ( Bristol Myers Squibb , Morganville , New Jersey , United States )
  • Cheung, Michael  ( Bristol Myers Squibb , Morganville , New Jersey , United States )
  • Afsari, Sonia  ( Bristol Myers Squibb , Morganville , New Jersey , United States )
  • Schuler, Patricia  ( Bristol Myers Squibb , Morganville , New Jersey , United States )
  • Rodriguez, Liza  ( Bristol Myers Squibb , Morganville , New Jersey , United States )
  • Lama, Sonie  ( Bristol Myers Squibb , Morganville , New Jersey , United States )
  • Bastien, Arnaud  ( Bristol Myers Squibb , Lawrenceville , New Jersey , United States )
  • Author Disclosures:
    Milind Desai: DO have relevant financial relationships ; Research Funding (PI or named investigator):Bristol Myers Squibb:Active (exists now) ; Researcher:Cytokinetics:Active (exists now) ; Researcher:Viz AI:Active (exists now) ; Consultant:Viz AI:Active (exists now) ; Researcher:Edgewise:Active (exists now) ; Consultant:Edgewise:Active (exists now) ; Research Funding (PI or named investigator):Tenaya:Active (exists now) ; Consultant:Tenaya:Active (exists now) ; Consultant:Bristol myers Squibb:Active (exists now) | Gordon Pipes: No Answer | Jaideep Bhatt: No Answer | Matthew Martinez: DO have relevant financial relationships ; Advisor:BMS:Active (exists now) ; Advisor:Cytokinetics:Past (completed) | Daniele Massera: DO have relevant financial relationships ; Consultant:Cytokinetics:Past (completed) ; Consultant:Tenaya Therapeutics:Past (completed) ; Consultant:Rocket Pharmaceuticals:Active (exists now) ; Consultant:Sanofi:Active (exists now) ; Consultant:Chiesi Pharmaceuticals:Past (completed) | Dewey Seto: DO have relevant financial relationships ; Employee:Bristol Myers Squibb:Active (exists now) | Michael Cheung: DO have relevant financial relationships ; Employee:Bristol Myers Squibb:Active (exists now) | Sonia Afsari: No Answer | Patricia Schuler: DO have relevant financial relationships ; Employee:Bristol Myers Squibb:Active (exists now) ; Individual Stocks/Stock Options:Bristol Myers Squibb:Active (exists now) | Liza Rodriguez: No Answer | Sonie Lama: No Answer | Arnaud Bastien: DO have relevant financial relationships ; Employee:Bristol Myers Squibb:Active (exists now)
Meeting Info:

Scientific Sessions 2025

2025

New Orleans, Louisiana

Session Info:

Targeting the Thickened Heart: Advances in Hypertrophic Cardiomyopathy Therapy

Saturday, 11/08/2025 , 10:45AM - 12:00PM

Moderated Digital Poster Session

More abstracts on this topic:
Association of Inflammatory Hypertension with Left Ventricular Hypertrophy in Black Adults from the Genetic Epidemiology Network of Arteriopathy Study

Khan Laibah, Hall Michael, Lirette Seth, Javaid Syed Sarmad, Windham B Gwen, Kullo Iftikhar, Butler Kenneth, Mace Hunter, Blaha Michael, Butler Javed

Comparative Efficacy of High-Intensity Interval Training and Moderate-Intensity Continuous Training on Cardiovascular Outcomes in Adults: A Systematic Review and Meta-Analysis

Vemulaghat Krishna Teja, Singla Kushaghar, Sharma Shivangi, Shaik Deekshith Ameer, Tadigotla Chandana, Maheshwari Dheeraj Kumar, Syed Saif, Mohammed Omer Farooq, Panjiyar Binay, Wagle Laxman, Kc Anil, Gopu Sahithi

More abstracts from these authors:
Mavacamten: Real-World Experience from 22 Months of the Risk Evaluation and Mitigation Strategy (REMS) Program

Desai Milind, Seto Dewey, Cheung Michael, Coiro Michele, Patel Niki, Bastien Arnaud, Lockman Jeffrey, Afsari Sonia, Martinez Matthew

Real-world Long-term Effectiveness of Mavacamten in Patients with Symptomatic Obstructive Hypertrophic Cardiomyopathy: a Multicenter Observational Study (MARVEL-HCM)

Abraham Theodore, Kim Mi-ok, Schuler Patricia, Dubey Anand, Alsidawi Said, Martinez Matthew, Wheeler Matthew, Roehl Kaitlin, Patel Ruchi, Soutar Marybeth, Herry Morgane, Wang Annie

You have to be authorized to contact abstract author. Please, Login
Not Available