Logo

American Heart Association

  17
  0


Final ID: Mo1022

Impact of Advanced Mechanical Circulatory Support on Hemodynamics and Oxygen Delivery in Ventricular Septal Perforation with Severe Biventricular Failure: A Systematic Simulation Study

Abstract Body (Do not enter title and authors here): Introduction: Post-myocardial infarction ventricular septal perforation (VSP) with cardiogenic shock often requires mechanical circulatory support (MCS) to stabilize hemodynamics. Devices such as the percutaneous left ventricular assist device (Impella), veno-arterial extracorporeal membrane oxygenation (VA-ECMO), and their combination (ECPELLA) provide systemic support and left ventricular (LV) unloading. However, managing VSP with these advanced MCS remains challenging due to complex hemodynamics and oxygenation dynamics.

Hypothesis: We hypothesized that the balance between right ventricular (RV) and LV function has a significant impact on VSP flow patterns and oxygenation in patients with VSP under advanced MCS.

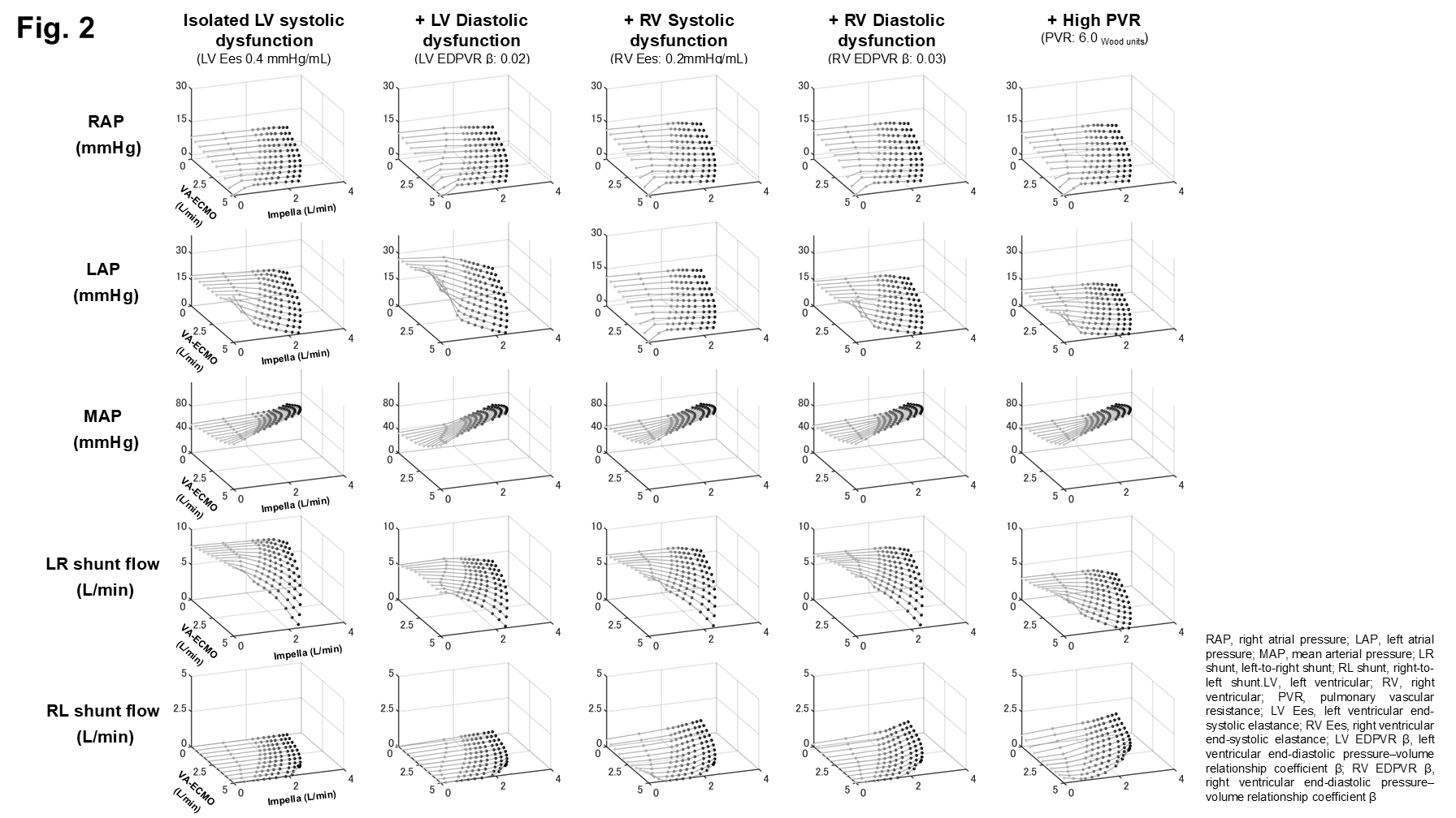
Methods: We developed a cardiovascular simulation using Simulink® (MathWorks, Inc.) based on a 5-element resistance–capacitance network. VSP was simulated as a Bernoulli-based orifice. Systemic oxygen delivery (DO2) and LV oxygen saturation (LV-SO2) were calculated using oxygen supply–demand balance (Fig. 1A). In severe LV dysfunction (end-systolic elastance, LV-Ees = 0.4 mmHg/mL), we assessed right and left atrial pressures (RAP, LAP) and shunt flows under RV systolic dysfunction (low RV-Ees), high pulmonary vascular resistance (PVR), and impaired diastolic compliance of both ventricles (modeled by steeper end-diastolic pressure–volume relationships), across varying Impella and VA-ECMO flows(Fig. 1B). We also evaluated DO2 and LV-SO2 in the combined setting of high PVR and low RV-Ees.

Results: In isolated LV systolic dysfunction, MCS improved hemodynamics and reduced left-to-right (LR) shunt flow in an Impella flow–dependent manner without significant right-to-left (RL) shunt. Similar trends occurred with LV diastolic dysfunction. In contrast, high PVR markedly increases RL shunt flow with higher Impella flow. RV systolic and diastolic dysfunction also increased RL shunt flow, though less than high PVR (Fig. 2). In severe biventricular failure with high PVR, increased Impella flow lowered LV-SO2 and only modestly improved DO2. The addition of VA-ECMO provided critical oxygenation support (Fig. 3).

Conclusion: RV function and PVR are key determinants of the pressure balance between the RV and LV and thus play a critical role in the development of RL shunt under high Impella flow conditions. Careful titration of MCS flow based on RV function and PVR is essential in managing patients with VSP with severe LV failure.
  • Otake, Masahiro  ( National Cerebral and Cardiovascular Center , Suita , Osaka , Japan )
  • Uemura, Kazunori  ( National Cerebral and Cardiovascular Center , Suita , Osaka , Japan )
  • Nakazawa, Gaku  ( Kindai University Faculty of Medicine , Osakasayama , Osaka , Japan )
  • Saku, Keita  ( NCVC , Osaka City , Japan )
  • Nishikawa, Takuya  ( National Cerebral and Cardiovascular Center , Suita , Osaka , Japan )
  • Morita, Hidetaka  ( NCVC , Osaka , Japan )
  • Sato, Kei  ( National Cerebral and Cardiovascular Center , Suita , Osaka , Japan )
  • Yoshida, Yuki  ( National Cerebral and Cardiovascular Center , Suita , Osaka , Japan )
  • Hiraki, Nana  ( National Cerebral and Cardiovascular Center , Suita , Osaka , Japan )
  • Ohba, Kenta  ( Department of Cardiovascular Dynam , Suita, Osaka , Japan )
  • Fukumitsu, Masafumi  ( National Cerebral and Cardiovascular Center , Suita , Osaka , Japan )
  • Kawada, Toru  ( NATIONAL CEREB CARDIOVASC CENTER , Suita , Japan )
  • Author Disclosures:
    Masahiro Otake: DO NOT have relevant financial relationships | Kazunori Uemura: DO NOT have relevant financial relationships | Gaku Nakazawa: DO NOT have relevant financial relationships | Keita Saku: DO have relevant financial relationships ; Advisor:Cubec:Active (exists now) ; Research Funding (PI or named investigator):Zeon Medical Inc.:Active (exists now) ; Research Funding (PI or named investigator):Neuroceuticals Inc.:Active (exists now) ; Research Funding (PI or named investigator):Asahi Kasei ZOLL Medical Corporation:Active (exists now) ; Research Funding (PI or named investigator):NTT Research:Active (exists now) ; Research Funding (PI or named investigator):Abiomed Inc.:Active (exists now) ; Speaker:Mallinckrodt Pharma K.K.:Active (exists now) ; Speaker:Abiomed Japan K.K.:Active (exists now) ; Advisor:WION:Active (exists now) | Takuya Nishikawa: DO NOT have relevant financial relationships | Hidetaka Morita: DO NOT have relevant financial relationships | Kei Sato: DO NOT have relevant financial relationships | Yuki Yoshida: DO NOT have relevant financial relationships | NANA HIRAKI: DO NOT have relevant financial relationships | Kenta Ohba: DO NOT have relevant financial relationships | Masafumi Fukumitsu: DO NOT have relevant financial relationships | Toru Kawada: No Answer
Meeting Info:

Scientific Sessions 2025

2025

New Orleans, Louisiana

Session Info:

Heart in Crisis: Cutting-Edge Tools and Trends in Cardiogenic Shock Management

Monday, 11/10/2025 , 10:30AM - 11:30AM

Abstract Poster Board Session

More abstracts on this topic:
Adverse Events and Outcomes Among Patients with Temporary Mechanical Circulatory Support Devices Placed at Referring Versus Hub Cardiogenic Shock Centers

Patel Zachary, Silkowski Molly, Dodson Kaylen, Bull Lindsey, Gregoski Mathew, Tedford Ryan, Mcmurray Jeffrey, Witer Lucas, Kilic Arman, Houston Brian, Carnicelli Anthony, Ospina Meg, Mittelstaedt Roxanne, Peller Jacob, Samani Stephanie, Marchell Charlotte, Ohlrich Kelly, Gunn Brady, Varrone Michael

Association between Pressure-Adjusted Heart Rate and Mortality in Cardiogenic Shock

Ginder Curtis, Jentzer Jacob, Guo Jianping, Van Diepen Sean, Katz Jason, Morrow David, Berg David

More abstracts from these authors:
Total Support by a Trans-Aortic Valve Micro-Axial Flow Pump Reduces Coronary Blood Flow in Both Normal and Post-reperfusion Coronary Arteries in a Goat Model of Ischemia-Reperfusion

Ohba Kenta, Kawada Toru, Saku Keita, Otake Masahiro, Hiraki Nana, Yoshida Yuki, Morita Hidetaka, Sato Kei, Nishikawa Takuya, Fukumitsu Masafumi, Uemura Kazunori

Impact of Aortic Insufficiency Severity on ECPELLA-provided Hemodynamic Support and Left Ventricular Unloading: A Triadic In Vitro–In Vivo–In Silico Analysis

Nishikawa Takuya, Ohba Kenta, Yoshida Yuki, Fukumitsu Masafumi, Uemura Kazunori, Kawada Toru, Saku Keita, Unoki Takashi, Otake Masahiro, Kakuuchi Midori, Yokota Shohei, Matsushita Hiroki, Sato Kei, Morita Hidetaka, Hiraki Nana

You have to be authorized to contact abstract author. Please, Login
Not Available