Logo

American Heart Association

  85
  0


Final ID: Su4104

The impact of post-COVID syndrome on plasma endothelial, thrombotic and renal biomarkers

Abstract Body (Do not enter title and authors here): Background: Despite widespread vaccination and reduced SARS-CoV-2 pathogenicity, post-COVID syndrome (PCS) remains a significant public health issue. It is widely thought to represent a single, multi-systemic disorder, yet its pathophysiology remains poorly defined. Endothelial dysfunction and thrombosis have been proposed as central mechanisms.

Aims: To assess the long-term impact of SARS-CoV-2 infection on plasma biomarkers of endothelial, thrombotic and renal function.

Methods: Plasma samples were obtained from prospective observational cohort studies of patients previously infected with SARS-CoV-2, stratified by recovery status. Patients not previously hospitalised provided a single sample at 3–36 months post-infection (recovered: n=22; PCS: n=34-35). Post-hospitalisation patients provided samples at 6, 12, and 24 months (recovered: n=4-6; PCS: n=8-16). Commercial ELISAs and colorimetric assays quantified markers of endothelial-mediated vasomotor control (ET-1, nitrate/nitrite, prostacyclin, ADMA, arginine), thrombosis (sCD40L, P-selectin, PSGL-1, tPA, PAI-1, D-dimer) and renal injury (uromodulin, NGAL, cystatin C, TFF3, OPN). Statistical analysis used a mixed-effects model with Dunnett’s test to correct for multiple comparisons.

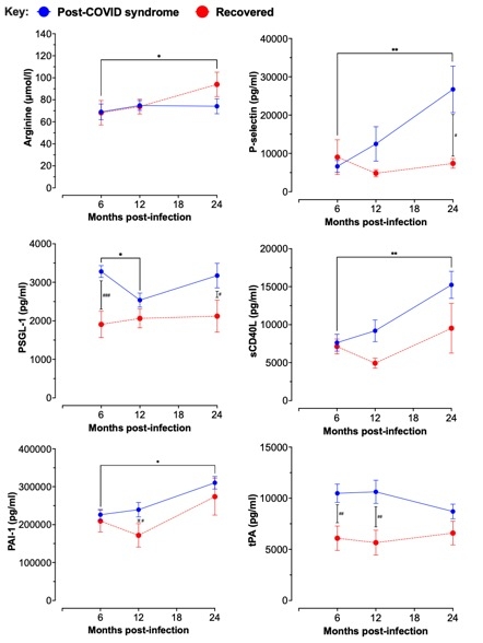
Results: In non-hospitalised cohorts, no significant differences were found between groups across any biomarker. In the post-hospitalisation cohort, arginine levels increased in the recovered group at 24 months (p=0.035; trend vs PCS group p=0.051), with no changes in other markers of endothelial function (Fig. 1). In the PCS group, higher plasma levels of P-selectin (p=0.021), PSGL-1 (p=0.0006), PAI-1 (p=0.018), tPA (p=0.006 & 0.002) and D-dimer (trend; p=0.087) were seen in comparison with the recovered group (Fig. 1). Longitudinally, P-selectin (p=0.003), sCD40L (p=0.013), and PAI-1 (p=0.017) increased between 6 and 24 months in the PCS group. Renal markers were also altered in PCS: cystatin C (p=0.014) and TFF3 (p=0.002 & 0.014) were elevated, while OPN decreased between 6 and 12 months (p=0.034).

Conclusions: Post-hospitalisation PCS is associated within increased markers of thrombosis, indicating persistent platelet and endothelial activation, impaired fibrinolysis and evidence of renal stress up to two years post-infection. We found no change in markers of vasomotor control except for arginine, the ‘recovery’ of which over time may reflect partial vascular restoration and warrants further investigation.
  • Bakr, Ahmed  ( Imperial College London , London , United Kingdom )
  • Kirkby, Nicholas  ( Imperial College London , London , United Kingdom )
  • Vaja, Ricky  ( Imperial College London , London , United Kingdom )
  • Pearce, Lily  ( University of Sheffield , Sheffield , United Kingdom )
  • Strickland, Scarlett  ( University of Sheffield , Sheffield , United Kingdom )
  • Gustafsson, Lotta  ( University of Sheffield , Sheffield , United Kingdom )
  • Gleeson, Fergus  ( University of Oxford , Oxford , United Kingdom )
  • George, Peter  ( Imperial College London , London , United Kingdom )
  • Wild, Jim  ( University of Sheffield , Sheffield , United Kingdom )
  • Thompson, Alfred  ( University of Sheffield , Sheffield , United Kingdom )
  • Jenkins, Gisli  ( Imperial College London , London , United Kingdom )
  • Mitchell, Jane A  ( Imperial College London , London , United Kingdom )
  • Author Disclosures:
    Ahmed Bakr: DO NOT have relevant financial relationships | Alfred Thompson: No Answer | Gisli Jenkins: No Answer | Jane A Mitchell: No Answer | Nicholas Kirkby: DO have relevant financial relationships ; Research Funding (PI or named investigator):British Heart Foundation:Active (exists now) ; Research Funding (PI or named investigator):UKRI Medical Research Council:Active (exists now) | Ricky Vaja: No Answer | Lily Pearce: No Answer | Scarlett Strickland: No Answer | Lotta Gustafsson: No Answer | Fergus Gleeson: No Answer | Peter George: No Answer | Jim Wild: No Answer
Meeting Info:

Scientific Sessions 2025

2025

New Orleans, Louisiana

Session Info:

New Mechanisms in Thrombosis Peripheral Artery Disease and Lipoprotein Biology

Sunday, 11/09/2025 , 03:15PM - 04:15PM

Abstract Poster Board Session

More abstracts on this topic:
COVID-19 Infection is Associated with Stroke Subtype, Severity, and Outcomes in Patients with Acute Ischemic Stroke

Belits Anna, Salottolo Kristin, Wang Frank, Higgins Katie, Kim Da Young, Rankine Ian, Pirahanchi Yasaman, Bar-or David, Burrell Christian

Immune Activation Driven by Circulating T Cell-Monocyte Complexes with Elevated IsoLG-Adducted Proteins in Postural Orthostatic Tachycardia Syndrome: Implications for New Antigen Formation and Persistent Inflammation

Abd-eldayem Marwa, Shibao Cyndya, Harrison David, Ortiz Pedro, Vance Yuliya, Golchha Meenakshi, Paranjape Sachin, Shehata Esraa, Youssef Ayman, Mehr Pouya, Chen Wei

More abstracts from these authors:
The impact of viral infection with SARS-CoV-2 and influenza on plasma endothelial, thrombotic and renal biomarkers

Bakr Ahmed, Wagstaffe Helen, Papargyris Loukas, Vaja Ricky, Chiu Christopher, Kirkby Nicholas, Mitchell Jane A

You have to be authorized to contact abstract author. Please, Login
Not Available