Logo

American Heart Association

  17
  0


Final ID: Su4105

The impact of viral infection with SARS-CoV-2 and influenza on plasma endothelial, thrombotic and renal biomarkers

Abstract Body (Do not enter title and authors here): Background: SARS-CoV-2 and influenza infections are associated with an increased risk of cardiovascular events. While the underlying mechanisms remain incompletely defined, mounting evidence points towards endothelial dysfunction and thrombotic activation, caused either directly or indirectly by viral infection.

Aims: We sought to characterise the temporal effects of mild SARS-CoV-2 and H3N2 influenza infection on plasma biomarkers of endothelial, thrombotic and renal function.

Methods: Plasma samples were collected from healthy volunteers enrolled in SARS-CoV-2 (n=7-10) and H3N2 (n=7-11) human challenge studies. Samples were taken at baseline (day 0/–1) and at days 3, 7, 10, 14, and 28 post-inoculation. Commercial ELISAs/colorimetric assays were used to quantify endothelial dysfunction using biomarkers of endothelial-mediated vasomotor control (endothelin-1, nitrate/nitrite, prostacyclin, ADMA, arginine), thrombosis (sCD40L, P-selectin, PSGL-1, tPA, PAI-1, D-dimer, factor IX), and renal function (uromodulin, NGAL, cystatin C, TFF3, OPN). One-way ANOVA, or a mixed effects model, and Dunnet’s test to correct for multiple comparisons, were used to compare baseline biomarker levels with levels at subsequent timepoints.

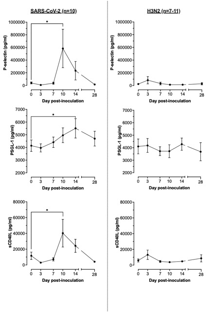
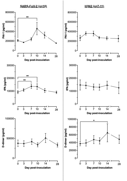
Results: Infection with SARS-CoV-2 significantly increased thrombosis biomarkers (Figs. 1 & 2): P-selectin (p=0.025), PSGL-1 (p=0.024), sCD40L (p=0.048), PAI-1 (p=0.008) and tPA (p=0.006 & 0.008) at days 7 to 14. In contrast, infection with H3N2 resulted in a significant increase in D-dimer levels at day 14 (p=0.025) and no changes in other biomarkers of thrombosis. No changes from baseline were detected in biomarkers of endothelial dysfunction in either group. Uromodulin levels declined by day 28 in the SARS-CoV-2 group (p=0.034), otherwise no changes in biomarkers of renal function were noted in either group.

Conclusions: There are two striking results of this study. Firstly, that for both H3N2 and SARS-CoV-2 infection, it was markers of platelet activation/thrombosis, without changes in endothelial or renal function, that increased after infection. Secondly, that a broader spectrum of these markers was increased in volunteers infected with SARS-CoV-2. These findings suggest distinct thrombotic mechanisms are activated by SARS-CoV-2 and H3N2 and support further investigation of thrombotic profiles in patients infected with other respiratory viruses allowing for strategies to identify and mitigate associated cardiovascular events.
  • Bakr, Ahmed  ( Imperial College London , London , United Kingdom )
  • Wagstaffe, Helen  ( Imperial College London , London , United Kingdom )
  • Papargyris, Loukas  ( Imperial College London , London , United Kingdom )
  • Vaja, Ricky  ( Imperial College London , London , United Kingdom )
  • Chiu, Christopher  ( Imperial College London , London , United Kingdom )
  • Kirkby, Nicholas  ( Imperial College London , London , United Kingdom )
  • Mitchell, Jane A  ( Imperial College London , London , United Kingdom )
  • Author Disclosures:
    Ahmed Bakr: DO NOT have relevant financial relationships | Helen Wagstaffe: No Answer | Loukas Papargyris: No Answer | Ricky Vaja: No Answer | Christopher Chiu: No Answer | Nicholas Kirkby: DO have relevant financial relationships ; Research Funding (PI or named investigator):British Heart Foundation:Active (exists now) ; Research Funding (PI or named investigator):UKRI Medical Research Council:Active (exists now) | Jane A Mitchell: No Answer
Meeting Info:

Scientific Sessions 2025

2025

New Orleans, Louisiana

Session Info:

New Mechanisms in Thrombosis Peripheral Artery Disease and Lipoprotein Biology

Sunday, 11/09/2025 , 03:15PM - 04:15PM

Abstract Poster Board Session

More abstracts on this topic:
Accuracy of Rule-based Natural Language Processing Models for Identification of Pulmonary Embolism

Rashedi Sina, Jimenez David, Monreal Manuel, Secemsky Eric, Klok Erik, Hunsaker Andetta, Aghayev Ayaz, Muriel Alfonso, Hussain Mohamad, Appah-sampong Abena, Aneja Sanjay, Krishnathasan Darsiya, Mojibian Hamid, Goldhaber Samuel, Wang Liqin, Zhou Li, Krumholz Harlan, Piazza Gregory, Bikdeli Behnood, Khairani Candrika, Bejjani Antoine, Lo Ying-chih, Zarghami Mehrdad, Mahajan Shiwani, Caraballo Cesar, Jimenez Ceja Jose Victor

COVID-19 Impacted Septal Reduction Therapies in Hypertrophic Cardiomyopathy

Desai Spandan, Roma Nicholas, Pattoli Megan, Durkin Matthew, Shah Kashyap, Amaratunga Eluwana, Magid Lindsey, Yellapu Vikas, Shirani Jamshid

More abstracts from these authors:
The impact of post-COVID syndrome on plasma endothelial, thrombotic and renal biomarkers

Bakr Ahmed, Thompson Alfred, Jenkins Gisli, Mitchell Jane A, Kirkby Nicholas, Vaja Ricky, Pearce Lily, Strickland Scarlett, Gustafsson Lotta, Gleeson Fergus, George Peter, Wild Jim

You have to be authorized to contact abstract author. Please, Login
Not Available