Logo

American Heart Association

  46
  0


Final ID: MP1639

Early Re-Initiation of Optimal Guideline-Directed Medical Therapy after Coronary Artery Bypass Grafting in Patients with Heart Failure with Reduced Ejection is Associated with Decreased Mortality

Abstract Body (Do not enter title and authors here): Introduction: Guideline-directed medical therapy (GDMT) improves survival in medical patients with heart failure with reduced ejection fraction (HFrEF). For cardiac surgical patients with HFrEF, GDMT is typically held perioperatively; re-introduction may be hampered by post-operative frailty and vasoplegia. This study sought to examine patterns of GDMT prescription after coronary artery bypass grafting (CABG) in patients with HFrEF and baseline optimal medical therapy, and the potential benefit of return to optimal dosing.
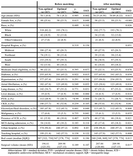
Methods: The population included Medicare beneficiaries who underwent isolated CABG from 2016-2019, with a HFrEF diagnosis in the prior 6 months, on baseline optimal GDMT as characterized by the Heart Failure Collaboratory score, which standardizes across medication classes and doses. Prescription patterns were evaluated across patients who did and did not achieve optimal GDMT by 90 days post-discharge (defined as a score of ≥4 with both beta-blocker and renin-angiotensin-aldosterone inhibitor (RAASi) prescription). Via propensity score matching, a Cox proportional hazard model was applied to compare all-cause mortality and a composite of mortality and HF readmission between the optimal and non-optimal cohorts.
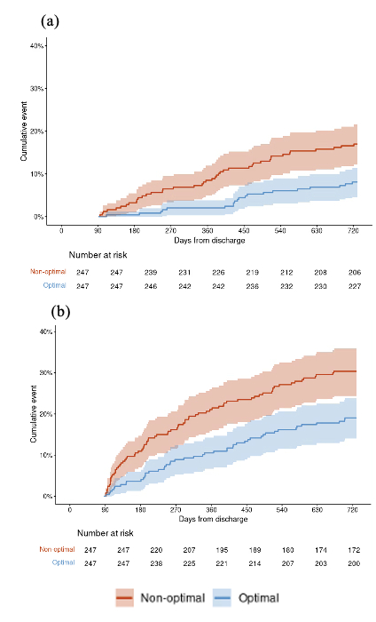
Results: Of the 634 patients meeting inclusion criteria, 247 (39.0%) were re-initiated on optimal GDMT within 90 days of discharge. Mineralocorticoid receptor antagonists (MRAs) represented the class with the lowest uptake in both the non-optimal and optimal cohorts (17.1% and 70.0%) (Figure 1). Angiotensin receptor-neprilysin inhibitor (ARNI) use was scarce, representing 33.6% of RAASi in the optimal cohort and <5% in the non-optimal cohort. Cohorts were similar at baseline, although optimal patients were more likely to have had surgery at larger hospitals (Table 1). After matching, the optimal group demonstrated significantly decreased hazard of mortality (8.1% vs. 17.0%; HR 0.45 [0.25-0.76], p=0.002) and composite of mortality and HF readmission at 2 years (19.0% vs. 30.4%; HR 0.57 [0.40-0.82], p=0.003) (Figure 2).
Conclusion: Patients with HFrEF on optimal GDMT at baseline who undergo CABG and are re-initiated on an optimal regimen within 90 days of discharge had significantly decreased risk of mortality and heart failure readmission. These findings highlight a need to identify barriers to GDMT after cardiac surgery such that these patients may benefit long-term from the combined effects of surgical and medical optimization.
  • Sperry, Alexandra  ( Hospital of the University of Pennsylvania , Philadelphia , Pennsylvania , United States )
  • Zhao, Yu  ( Hospital of the University of Pennsylvania , Philadelphia , Pennsylvania , United States )
  • Catalano, Michael  ( Hospital of the University of Pennsylvania , Philadelphia , Pennsylvania , United States )
  • Goel, Nicholas  ( Hospital of the University of Pennsylvania , Philadelphia , Pennsylvania , United States )
  • Brown, Chase  ( Hospital of the University of Pennsylvania , Philadelphia , Pennsylvania , United States )
  • Szeto, Wilson  ( Hospital of the University of Pennsylvania , Philadelphia , Pennsylvania , United States )
  • Genuardi, Michael  ( Hospital of the University of Pennsylvania , Philadelphia , Pennsylvania , United States )
  • Desai, Nimesh  ( Hospital of the University of Pennsylvania , Philadelphia , Pennsylvania , United States )
  • Author Disclosures:
    Alexandra Sperry: DO NOT have relevant financial relationships | Yu Zhao: DO NOT have relevant financial relationships | Michael Catalano: DO NOT have relevant financial relationships | Nicholas Goel: No Answer | Chase Brown: No Answer | Wilson Szeto: No Answer | Michael Genuardi: DO have relevant financial relationships ; Consultant:Respicardia:Active (exists now) ; Researcher:Abbott:Past (completed) | Nimesh Desai: No Answer
Meeting Info:

Scientific Sessions 2025

2025

New Orleans, Louisiana

Session Info:

Optimizing Heart Failure Care: Innovations in Pharmacological Therapies and Treatment Strategies

Sunday, 11/09/2025 , 11:50AM - 01:00PM

Moderated Digital Poster Session

More abstracts on this topic:
β1 Adrenergic Receptor Autoantibodies Promote Heart Failure Though Activation of Prostaglandin E2 Receptor EP1/Phosphodiesterase 4B Pathway

Cao Ning, Qiu Hui, Li Hongwei

Clinical Responses to Aficamten Monotherapy Compared with Metoprolol Monotherapy for Obstructive Hypertrophic Cardiomyopathy Outcomes and Disease Burden: MAPLE-HCM Responder Analysis

Wang Andrew, Claggett Brian, Costabel Juan, Correia Edileide, Dybro Anne, Elliott Perry, Kulac Ian, Lakdawala Neal, Lewis Gregory, Mann Amy, Nair Ajith, Garcia-pavia Pablo, Poulsen Steen, Reant Patricia, Schulze Christian, Solomon Scott, Sohn Regina, Berhane Indrias, Heitner Stephen, Jacoby Daniel, Kupfer Stuart, Malik Fady, Masri Ahmad, Wohltman Amy, Fifer Michael, Maron Martin, Merkely Bela, Nassif Michael, Pena Pena Maria Luisa, Barriales-villa Roberto, Bilen Ozlem, Burroughs Melissa

More abstracts from these authors:
Patient-Specific Ascending Aortic Wall Shear Stress and Strain Analysis from 4D CT

Lobo Tricia, Wu Wensi, Litt Harold, Freas Melanie, Goldfinger Shir, Ferrari Victor, Bavaria Joseph, Desai Nimesh, Pouch Alison

Timing and outcomes of staged coronary artery bypass grafting following percutaneous coronary intervention for STEMI – when should we intervene?

Catalano Michael, Desai Nimesh, Brown Chase, Zhao Yu, Toubat Omar, Sperry Alexandra, Lutfi Waseem, Lawrence Kendall, Cevasco Marisa, Biscotti Mauer, Szeto Wilson

You have to be authorized to contact abstract author. Please, Login
Not Available