Logo

American Heart Association

  82
  0


Final ID: MP846

Short-Term Determinants of Atrial and Ventricular Functional Mitral Regurgitation: Insights from Impulse Response Modeling

Abstract Body (Do not enter title and authors here): Background: Functional mitral regurgitation (FMR), both atrial (AFMR) and ventricular (VFMR), results from multiple interacting mechanisms including atrial and ventricular remodeling, changes in mitral annular geometry, leaflet tethering, and heart rate variability. The relative contribution of each factor to FMR severity remains unclear.
Purpose: We aimed to assess the short-term effect of a one-time change (shock) in each FMR determinant on the evolution of MR severity and other variables. Additionally, we quantified how much of the variance in MR severity is explained by shocks to its known etiological factors.
Methods: Transthoracic echocardiography was used to evaluate FMR in 26 patients, yielding 810 systolic timestamps (583 for the AFMR group and 227 for the VFMR group, 30 fps). For each frame, we recorded RR interval, MR jet area, LA and LV volumes, MV annular diameter, and tenting height. We estimated vector autoregression (VAR) models separately in AFMR and VFMR groups, followed by Forecast Error Variance Decomposition (FEVD) up to step 8 (~264 msec). The FEVD at step 8 quantified the percent of MR variance attributable to each variable. To assess statistical significance, we repeated VARs for each variable pair and visually evaluated impulse response function (IRF) plots: a variable was considered significant if its IRF 95% CI excluded 0.
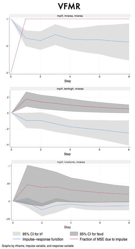
Results: FEVD revealed high self-persistence: most variables primarily explained their own future values. LV volume emerged as a key upstream influencer across the network, while MR area had limited predictive power (Figure 1A, C). In AFMR, MR area was largely self-driven (92.7%) with modest contributions from LV volume (3.2%) and tenting height (2.4%) (Figure 1B). IRF plots showed that only MR area, LA volume, and LV volume had statistically significant effects on MR area (Figure 2). In VFMR, MR area remained self-driven (83.9%), but external contributions were stronger: RR (6.3%), tenting height (3.6%), and MV annulus (3.1%) (Figure 1D). Only MR area, tenting height, and LV volume showed significant IRF effects (Figure 3).
Conclusions: In AFMR, short-term MR variability appears driven by LA and LV volume, though LV volume shows a stronger effect, possibly due to transient ventricular changes being more detectable than slow atrial remodeling. In VFMR, MR variability is shaped primarily by tenting height and LV volume, reinforcing the role of subvalvular tethering and dynamic loading in VFMR pathophysiology.
  • Avram, Teodora  ( Iuliu Hatieganu University , Cluj-Napoca , Romania )
  • Apetrei, Csilla-andrea  ( Iuliu Hatieganu University , Cluj-Napoca , Romania )
  • Blendea, Eric  ( Emil Racovita National College , Cluj-Napoca , Romania )
  • Munteanu, Matei  ( University of Milan , Milan , Italy )
  • Mihus, Ioana-diana  ( Iuliu Hatieganu University , Cluj-Napoca , Romania )
  • Moldovan, Madalina  ( Iuliu Hatieganu University , Cluj-Napoca , Romania )
  • Lazar, Roxana  ( Iuliu Hatieganu University , Cluj-Napoca , Romania )
  • Filip, Adriana  ( Iuliu Hatieganu University , Cluj-Napoca , Romania )
  • Heist, E Kevin  ( Massachusetts General Hospital , Boston , Massachusetts , United States )
  • Blendea, Dan  ( Iuliu Hatieganu University , Cluj-Napoca , Romania )
  • Author Disclosures:
    Teodora Avram: No Answer | Dan Blendea: DO NOT have relevant financial relationships | Csilla-Andrea Apetrei: No Answer | Eric Blendea: No Answer | Matei Munteanu: No Answer | Ioana - Diana Mihus: DO NOT have relevant financial relationships | Madalina Moldovan: DO have relevant financial relationships ; Speaker:Boehringer Ingelheim:Past (completed) | Roxana Lazar: No Answer | Adriana Filip: No Answer | E Kevin Heist: No Answer
Meeting Info:

Scientific Sessions 2025

2025

New Orleans, Louisiana

Session Info:
More abstracts on this topic:
Association of Systemic Inflammatory Response Syndrome with Cardiovascular Events after Mitral Transcatheter Edge-to-edge Repair

Mannina Carlo, Sharma Samin, Kini Annapoorna, Lerakis Stamatios, Sharma Akarsh, Carbone Andreina, Bossone Eduardo, Tuttolomondo Antonino, Argulian Edgar, Neibart Eric, Halperin Jonathan, Dangas George

Association of renal function with mortality and heart failure hospitalization rates after Transcatheter Mitral Valve Edge to Edge Repair

Abuzeid Wael, Shuvy Mony, Cantor Warren, Mehta Shamir, Fam Neil, Abdel-qadir Husam, Sacoransky Ethan, Czarnecki Andrew, Ke Danny Yu Jia, Teng Carolyn, Dave Prasham, Osten Mark, Zile Brigita, Wang Xuesong

You have to be authorized to contact abstract author. Please, Login
Not Available