Logo

American Heart Association

  19
  0


Final ID: 4367175

Effects of Device-Measured Physical Activity on Disease Progression and Cardiovascular Outcomes in Phenotype-Negative Carriers of Cardiomyopathy-Associated Rare Variants

Abstract Body (Do not enter title and authors here): Background: Exercise may lead to disease progression and higher risk of sudden death in certain cardiomyopathies conferred by rare genetic variants. Whether general activity recommendations (i.e.,150-300 minutes/week of moderate-to-vigorous physical activity (MVPA)] are appropriate for individuals carrying a cardiomyopathy-associated variant without overt disease (G+P-) are unclear.

Research Question: Do the effects of MVPA on cardiovascular (CV) outcomes, cardiac structure and function, and risk of developing overt cardiomyopathy and arrhythmias vary according to G+P- status?

Methods: In UK Biobank participants undergoing 1-week of accelerometry, we assessed: i) associations between MVPA (as a spline term) and incident CV outcomes (i.e.,atrial fibrillation [AF], heart failure [HF], myocardial infarction [MI], and stroke) using Cox models adjusted for demographic and lifestyle factors, deriving optimal levels of MVPA from splines for each outcome; ii) effects of MVPA on derived indices of cardiac structure and function in a subset with cardiac magnetic resonance (CMR) imaging; iii) effects on progression to overt cardiomyopathy and malignant arrhythmia using analogous models estimating risk of incident non-ischemic cardiomyopathy (NICM) and ventricular arrhythmias (VA). The presence of varying effects on account of G+P- status was assessed by comparing model results with non-carriers.

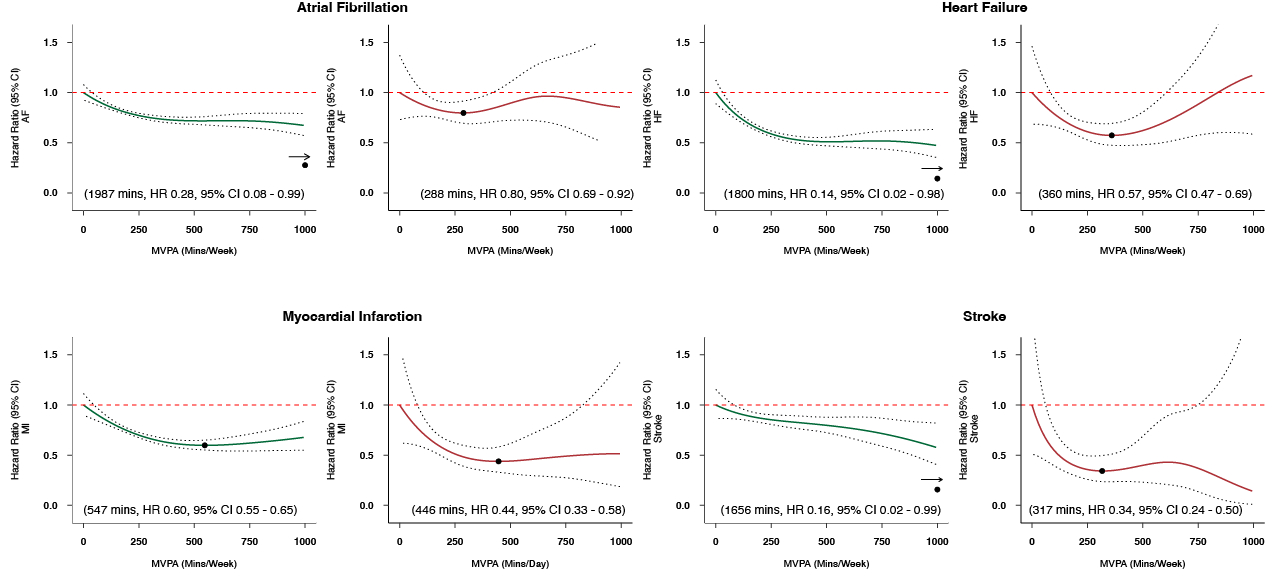
Results: Among 84,733 individuals (age 62±8 years, 56.4% women, 3,986 G+P-) undergoing accelerometry, MVPA levels were nearly identical for G+P- individuals and non-carriers (both medians:230, quartile-1:115, quartile-3:403). In multivariable models, higher MVPA was broadly associated with lower risk of incident CV disease in the G+P- group (hazard ratio[HR] at optimal MVPA level vs zero, 95% CI, AF:0.80, 0.69–0.92; HF:0.57, 0.47–0.69; MI:0.44, 0.33–0.58; stroke:0.34,0.24–0.50]) (Figure 1). MVPA was also associated with similar degrees of cardiac remodeling (e.g., LV dilation) in G+P- vs non-carriers (Figure 2). No associations were observed between MVPA and risk of NICM or VA in G+P- individuals.

Conclusions and Relevance: MVPA generally within the range of guideline-based recommendations associates with lower risk of adverse CV outcomes and similar degrees of cardiac remodeling for G+P- individuals compared to non-carriers. Although individual-level risk stratification remains critical, G+P- individuals should be encouraged to adhere to guideline-based activity recommendations.
  • Ajufo, Ezimamaka  ( Brigham and Womens Hospital , Boston , Massachusetts , United States )
  • Lakdawala, Neal  ( Brigham and Womens Hospital , Boston , Massachusetts , United States )
  • Ho, Carolyn  ( Brigham and Womens Hospital , Brookline , Massachusetts , United States )
  • Khurshid, Shaan  ( Massachusetts General Hospital , Boston , Massachusetts , United States )
  • Ellinor, Patrick  ( Massachusetts General Hospital , Boston , Massachusetts , United States )
  • Kany, Shinwan  ( Broad Institute , Cambridge , Massachusetts , United States )
  • Jurgens, Sean  ( Broad Institute and Amsterdam UMC , Amsterdam , Netherlands )
  • Churchill, Timothy  ( Massachusetts General Hospital , Boston , Massachusetts , United States )
  • Guseh, James  ( Massachusetts General Hospital , Boston , Massachusetts , United States )
  • Aragam, Krishna  ( Massachusetts General Hospital , Boston , Massachusetts , United States )
  • Nauffal, Victor  ( Brigham and Women's Hospital , Boston , Massachusetts , United States )
  • Pirruccello, James  ( UCSF Division of Cardiology , San Francisco , California , United States )
  • Choi, Seung Hoan  ( Boston University , Boston , Massachusetts , United States )
  • Author Disclosures:
    Ezimamaka Ajufo: DO NOT have relevant financial relationships | Neal Lakdawala: DO have relevant financial relationships ; Consultant:BMS:Active (exists now) ; Advisor:Neuvocore:Active (exists now) ; Consultant:Gemma:Active (exists now) ; Advisor:Kardigan:Active (exists now) ; Consultant:Tenaya:Active (exists now) ; Consultant:Cytokinetics:Active (exists now) ; Consultant:Pfizer:Past (completed) ; Consultant:Alexion:Active (exists now) | Carolyn Ho: DO have relevant financial relationships ; Consultant:Bristol Myers Squibb:Active (exists now) ; Researcher:Tenaya:Active (exists now) ; Consultant:Tenaya:Active (exists now) ; Research Funding (PI or named investigator):Biomarin:Past (completed) ; Research Funding (PI or named investigator):Lexicon:Active (exists now) ; Research Funding (PI or named investigator):Cytokinetics:Active (exists now) ; Research Funding (PI or named investigator):Bristol Myers Squib:Active (exists now) ; Consultant:Novo Nordisk:Active (exists now) ; Consultant:Bayer:Active (exists now) ; Consultant:Sanofi:Past (completed) ; Consultant:Biomarin:Past (completed) ; Consultant:Lexicon:Active (exists now) ; Consultant:Cytokinetics:Active (exists now) | Shaan Khurshid: No Answer | Patrick Ellinor: No Answer | Shinwan Kany: DO NOT have relevant financial relationships | Sean Jurgens: DO NOT have relevant financial relationships | Timothy Churchill: No Answer | James Guseh: No Answer | Krishna Aragam: No Answer | Victor Nauffal: DO have relevant financial relationships ; Consultant:Abbott:Past (completed) ; Research Funding (PI or named investigator):Novo Nordisk:Active (exists now) | James Pirruccello: DO have relevant financial relationships ; Other (please indicate in the box next to the company name):JACC:Active (exists now) | Seung Hoan Choi: DO NOT have relevant financial relationships
Meeting Info:

Scientific Sessions 2025

2025

New Orleans, Louisiana

Session Info:

Genomic and Precision Medicine Early Career Investigator Award Competition

Saturday, 11/08/2025 , 01:30PM - 02:45PM

Abstract Oral Session

More abstracts on this topic:
A-band titin-truncating variant promotes the development of arrhythmia-induced cardiomyopathy in a novel genetically-engineered porcine model

Lee Kwonjae, Del Rio Carlos, Mcnally Elizabeth, Pfenniger Anna, Bhatnagar Ashita, Glinton Kristofor, Burrell Amy, Ober Rebecca, Mcluckie Alicia, Bishop Brian, Rogers Christopher, Geist Gail

A combined approach of cardiac magnetic resonance and CardioMEMS to assess right ventricular dysfunction during exercise in HFpEF-PH

Bekhuis Youri, Bogaert Jan, La Gerche Andre, Claessen Guido, Janssens Stefan, Droogne Walter, Rosseel Thomas, Barrios Leticia, Verwerft Jan, Timmermans Philippe, Trenson Sander, Dresselaers Tom

More abstracts from these authors:
Exome Wide Rare Variant Analysis Identifies Novel Genes Associated with Coronary Artery Disease

Choi Seung Hoan, Koyama Satoshi, Nakao Tetsushi, Hornsby Whitney, Jurgens Sean, Ellinor Patrick, Natarajan Pradeep, Peloso Gina

Prediction of Pregnancy-related Cardiovascular Outcomes Using Electrocardiogram-Derived Cardiorespiratory Fitness

Brown Logan, Lau Emily, Zhao Yunong, Dsouza Valentina, Pace Danielle, Guseh James, Khurshid Shaan, Maddah Mahnaz, Ellinor Patrick, Ho Jennifer

You have to be authorized to contact abstract author. Please, Login
Not Available