Logo

American Heart Association

  15
  0


Final ID: MP821

Real-World Data Show No Preventive Effect of SGLT2 Inhibitors on Cardiac Dysfunction from Cancer Therapy in T2DM Patients

Abstract Body (Do not enter title and authors here): Background:
Cancer therapy–related cardiac dysfunction (CTRCD) is a significant complication among cancer patients, particularly those with type 2 diabetes mellitus (T2DM). While recent observational studies have shown potential cardioprotective effects of sodium-glucose cotransporter 2 inhibitors (SGLT2i), these findings may be biased by imprecise cohort definition. This study aimed to evaluate the association between SGLT2i use and the risk of new-onset CTRCD in T2DM patients undergoing potentially cardiotoxic cancer therapy.

Research Question:
Does pretreatment with SGLT2i reduce the incidence of CTRCD in T2DM patients undergoing cardiotoxic cancer therapy?

Methods:
We conducted a retrospective cohort study using the TriNetX US Collaborative Network, which aggregates de-identified electronic health records from healthcare organizations. Adults with T2DM and cancer receiving their first potential cardiotoxic cancer therapy between January 1, 2013, and October 31, 2022, were included. Patients with prior heart failure (HF), cardiomyopathy, or LVEF ≤40% were excluded to preserve a primary prevention framework. Patients were classified as SGLT2i users (≥1 prescription within one year before cancer therapy) and nonusers. The two groups were matched 1:1 using propensity score matching (PSM) across 52 covariates. The primary outcome was 1-year incidence of CTRCD (new-onset HF, cardiomyopathy, LVEF ≤40%, or IV diuretic use). Secondary outcomes included HF hospitalization, all-cause mortality, MI, AF/AFL, and new metastasis. Falsification endpoints included pneumonia and GI bleeding.

Results:
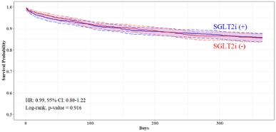
After PSM, 2,656 patients (1,328 SGLT2i users and 1,328 nonusers) were included. Over a 1-year follow-up, the incidence of CTRCD was similar between the two groups (13.5% vs 13.6%; HR 0.99, 95% CI 0.80–1.22; p = 0.91). No significant differences were observed in secondary outcomes or falsification endpoints. A non-significant trend toward lower CTRCD was observed in anthracycline-treated patients (13.9% vs 21.4%; p=0.10).

Conclusion:
Our study shows that in T2DM patients with cancer, SGLT2i pretreatment was not associated with a reduced risk of CTRCD or other adverse cardiovascular outcomes. Our findings differ from those of previous observational studies and highlight the importance of precise cohort definitions and effective confounding control. Additionally, potential benefits within anthracycline subgroups necessitate further investigation in randomized controlled trials.
  • Chi, Kuan Yu  ( Jacobi Medical Center , Bronx , New York , United States )
  • Nanna, Michael  ( Yale School of Medicine , New Haven , Connecticut , United States )
  • Nouri, Armin  ( Yale School of Medicine , New Haven , Connecticut , United States )
  • Lee, Pei-lun  ( Jacobi Medical Center , Bronx , New York , United States )
  • Jones, Xaviar  ( Yale School of Medicine , New Haven , Connecticut , United States )
  • Akman, Zafer  ( Yale School of Medicine , New Haven , Connecticut , United States )
  • Rossi, Raiza  ( Yale School of Medicine , New Haven , Connecticut , United States )
  • Arya Nezhad, Shefa  ( Yale School of Medicine , New Haven , Connecticut , United States )
  • Lapetina Arroyo, Roberto  ( Yale School of Medicine , New Haven , Connecticut , United States )
  • Gallegos, Cesia  ( Yale School of Medicine , New Haven , Connecticut , United States )
  • Author Disclosures:
    Kuan Yu Chi: DO NOT have relevant financial relationships | Michael Nanna: DO have relevant financial relationships ; Consultant:HeartFlow, Inc.:Active (exists now) ; Consultant:Merck:Active (exists now) ; Consultant:Novo Nordisk:Active (exists now) | Armin Nouri: DO NOT have relevant financial relationships | Pei-Lun Lee: DO NOT have relevant financial relationships | Xaviar Jones: DO NOT have relevant financial relationships | Zafer Akman: DO NOT have relevant financial relationships | Raiza Rossi: DO NOT have relevant financial relationships | Shefa Arya Nezhad: DO NOT have relevant financial relationships | Roberto Lapetina Arroyo: DO NOT have relevant financial relationships | Cesia Gallegos: DO have relevant financial relationships ; Advisor:Pfizer:Past (completed) ; Advisor:Astra Zeneca:Past (completed) ; Advisor:Alnylam:Past (completed) ; Advisor:Bridge Bio:Past (completed)
Meeting Info:

Scientific Sessions 2025

2025

New Orleans, Louisiana

Session Info:

Cardiac Amyloidosis and Cardiometabolic Conundrums

Saturday, 11/08/2025 , 01:45PM - 03:00PM

Moderated Digital Poster Session

More abstracts on this topic:
A multifaceted family intervention for blood pressure management in rural China: an open label, parallel group, cluster randomized trial (Healthy Family Program)

Jiang Chao, Dong Jianzeng, Cai Jun, Anderson Craig, Du Xin, Tang Yangyang, Han Rong, Song Yanna, Wang Chi, Lin Xiaolei, Yi Yang, Rodgers Anthony, Ma Changsheng

90-Day Readmission Rates, Predictors, and Causes of Readmission After Placement of Left Atrial Appendage Occlusion Device in Patients With history of different malignancies: National Readmission Database analysis

Quevedo Ramirez Andres, Teaima Taha, Jha Vivek, Ibarra Joshua, Soon-shiong Raquel, Gomez Valencia Javier

More abstracts from these authors:
Regional Differences in Outcomes in Adults after Percutaneous Coronary Intervention (PCI) for Stable Ischemic Heart Disease

Akman Zafer, Park Dae Yong, Rossi Raiza, Nouri Armin, Arya Nezhad Shefa, Al Mouslmani Mohammad, Chi Kuan Yu, Lapetina Arroyo Roberto, Nanna Michael

Underrepresentation of sex and race/ethnicity in ACC/AHA/SCAI Guideline for Coronary Artery Revascularization

Rossi Raiza, Damluji Abdulla, Nanna Michael, Lee Pei-lun, Hsieh Rebecca, Sandoval Jacqueline, Nouri Armin, Chi Kuan Yu, Jamil Yasser, Akman Zafer, Haynes Norrisa

You have to be authorized to contact abstract author. Please, Login
Not Available