Logo

American Heart Association

  70
  0


Final ID: MP1440

BMI Thresholds and Incident ASCVD in Disaggregated Asian American, Native Hawaiian and other Pacific Islander Men and Women: The PANACHE Study

Abstract Body (Do not enter title and authors here): Introduction: Consensus guidelines recommend a lower BMI threshold in Asians for diabetes screening and ASCVD primary prevention strategies, but limited data exist about the association between BMI level and ASCVD in contemporary Asian American, Native Hawaiian and Pacific Islander (AANHPI) adults.

Goal: To assess the relation of BMI level and incident ASCVD risk in individual AANHPI groups and non-Hispanic Whites (NHW) by sex.

Methods: We identified 2,040,654 members aged ≥30 years of Kaiser Permanente (KP) Northern California and KP Hawaii integrated healthcare systems from 2012-2022, with BMI 18.5-40 kg/m2 and no prior CVD. Incident nonfatal and fatal ASCVD events (MI, stroke) were identified through 2023 using ICD-9/10 codes in hospitalization and vital status data. Age-adjusted cubic spline analysis for BMI and incident ASCVD was conducted, stratified by sex and AANHPI group.

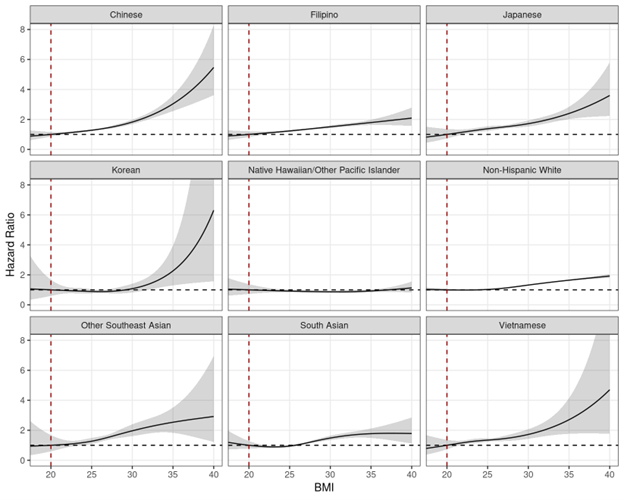
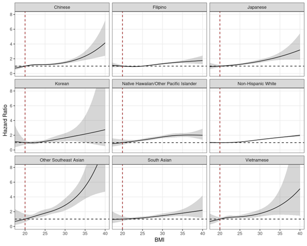
Results: We identified 138,748 Chinese, 158,209 Filipino, 40,561 Native Hawaiian/other Pacific Islander (NH/PI), 35,067 Japanese, 16,130 Korean, 74,130 South Asian, 37,459 Vietnamese, 20,320 other Southeast Asian, and 1,520,029 NHW eligible adults. Mean (SD) age ranged from 41.8 (12.7) years in South Asian to 56.5 (16.7) years in Japanese, with 55.3% women and higher proportions of women in each Asian group vs. NHW and NH/PI. The age-adjusted association of BMI and incident ASCVD varied significantly by AANHPI ethnicity in men (Figure 1) and women (Figure 2) across BMI 18.5-40. At various BMI intervention thresholds (23, 25, 27.5, 30) proposed for overweight or obesity, compared with BMI 20, in men, the age-adjusted association became significantly higher for certain groups at BMI 23 (Chinese, Filipino, Korean, Vietnamese), BMI 25 (other Southeast Asian, NHW), and BMI 27.5 (South Asian), while there was no significantly higher risk for Korean or NH/PI between BMI 23-30 (Table). In contrast, in women, compared with BMI 20, the age-adjusted association became significantly higher for certain groups at BMI 23 (Chinese, NH/PI, Vietnamese, Other Southeast Asian), BMI 25 (Japanese, NHW), and BMI 27.5 (Filipino, Korean, South Asian).

Conclusion: Among AANHPI and NHW adults, the relation between BMI and incident ASCVD varied significantly in shape and strength of association by sex and AANHPI group. Our findings support better understanding the reasons for these differences and raise the question about the utility of BMI for primary prevention decision-making among different AANHPI groups.
  • Go, Alan  ( KAISER PERMANENTE NORTHERN CAL , Pleasanton , California , United States )
  • Parikh, Rishi  ( KAISER PERMANENTE NORTHERN CAL , Pleasanton , California , United States )
  • Tan, Thida  ( KAISER PERMANENTE NORTHERN CAL , Pleasanton , California , United States )
  • Ambrosy, Andrew  ( KAISER PERMANENTE NORTHERN CAL , Pleasanton , California , United States )
  • Alexeeff, Stacey  ( KAISER PERMANENTE NORTHERN CAL , Pleasanton , California , United States )
  • Howick, Connor  ( Kaiser Permanente Hawaii , Honolulu , Hawaii , United States )
  • Daida, Yihe  ( Kaiser Permanente Hawaii , Honolulu , Hawaii , United States )
  • Lo, Joan  ( KAISER PERMANENTE NORTHERN CAL , Pleasanton , California , United States )
  • Author Disclosures:
    Alan Go: DO have relevant financial relationships ; Research Funding (PI or named investigator):Bristol Myers-Squibb:Active (exists now) ; Research Funding (PI or named investigator):Edwards Life Sciences:Active (exists now) ; Research Funding (PI or named investigator):Novartis:Past (completed) | Rishi Parikh: DO NOT have relevant financial relationships | Thida Tan: DO NOT have relevant financial relationships | Andrew Ambrosy: DO have relevant financial relationships ; Consultant:Bayer:Expected (by end of conference) ; Consultant:BMS:Expected (by end of conference) ; Consultant:Novo Nordisk:Past (completed) ; Consultant:Merck:Past (completed) ; Researcher:BI:Active (exists now) ; Researcher:Abiomed:Active (exists now) ; Researcher:Bayer:Active (exists now) | Stacey Alexeeff: No Answer | Connor Howick: DO NOT have relevant financial relationships | Yihe Daida: DO have relevant financial relationships ; Research Funding (PI or named investigator):Sanofi:Past (completed) ; Research Funding (PI or named investigator):Vir Biotechnology:Past (completed) ; Research Funding (PI or named investigator):Gilead:Active (exists now) | Joan Lo: DO NOT have relevant financial relationships
Meeting Info:

Scientific Sessions 2025

2025

New Orleans, Louisiana

Session Info:

Sociodemographic Differences in CKM Syndrome: Targets for Reducing Disparities in Outcomes

Sunday, 11/09/2025 , 11:50AM - 12:50PM

Moderated Digital Poster Session

More abstracts on this topic:
A multi-proteomic Risk Score Predicts Adverse Cardiovascular Outcomes in Patients with Angina and Non-obstructive Coronary Artery Disease

Huang Jingwen, Lodhi Rafia, Lodhi Saleha, Eldaidamouni Ahmed, Hritani Wesam, Hasan Muhammet, Haroun Nisreen, Quyyumi Arshed, Mehta Puja, Leon Ana, Ko Yi-an, Yang Huiying, Medina-inojosa Jose, Ahmed Taha, Harris Kristen, Alkhoder Ayman, Al Kasem Mahmoud

Anticoagulation versus antiplatelet for secondary prevention in embolic stroke of undetermined source: The Cardiac Abnormalities in Stroke Prevention and Risk of Recurrence Study

Siegler James, Aboul-nour Hassan, De Havenon Adam, Culbertson Collin, Melkumova Emiliya, Jillella Dinesh, Dumitrascu Oana, Doolittle Charles, Yahnke Ian, Sathya Anvitha, Brown Samantha, Penckofer Mary, Kang Jieun, Bowman Anna, Brorson James, Shahrivari Mahan, Elangovan Cheran, Sloane Kelly, Alvi Muhammad, Krishnaiah Balaji, Kam Wayneho, Farooqui Mudassir, Badillo Goicoechea Elena, Nahab Fadi, Rojas-soto Diana, Sharma Richa, Thottempudi Neeharika, Nedelcu Simona, Smith Matthew, Herpich Franziska, Glover Patrick, Chahien Dalia, Sehgal Siddharth, Eklund Kelsey, Liebeskind David, Linares Guillermo, Daniel Jean-philippe, Al Kasab Sami, Singh Eesha, D'souza Marissa, Gaudio Elizabeth, Aziz Yasmin, Yaghi Shadi, Salehi Omran Setareh, Stretz Christoph, Thon Jesse, Lineback Christina, Khasiyev Farid, Kerrigan Deborah, Ali Hamid

More abstracts from these authors:
You have to be authorized to contact abstract author. Please, Login
Not Available