Logo

American Heart Association

  138
  0


Final ID: MDP424

Assessment performance of the AHA PREVENT equations in disaggregated Asian and Hispanic Subgroups

Abstract Body (Do not enter title and authors here): Background
New race-free Predicting Risk of Cardiovascular disease (CVD) EVENT models (PREVENT) by AHA predict 10-year total CVD, ASCVD, and heart failure (HF), respectively. Although model discrimination and calibration was generally good among Non-Hispanic White and Black, their performance among Asian and Hispanic groups, particularly in disaggregated subgroups, remain unknown.
Objectives
We assessed PREVENT model performance in a diverse population with more than 10-year follow-up electronic health records (EHR) data in different race/ethnic groups and in disaggregated Asian and Hispanic subgroups.
Methods
Using retrospective primary care cohort who had no baseline CVD and with at least 10-year follow-up EHR data, we estimated Harrel’s C-statistics for each PREVENT submodel and by race/ethnicity. Predicted risk based on PREVENT models verse observed corresponding CVD event risk were compared in each race/ethnicity group and Asian/Hispanic subgroups.
Results
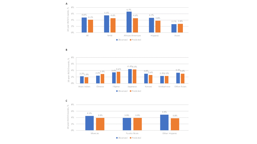
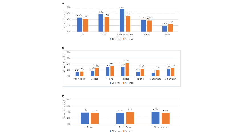
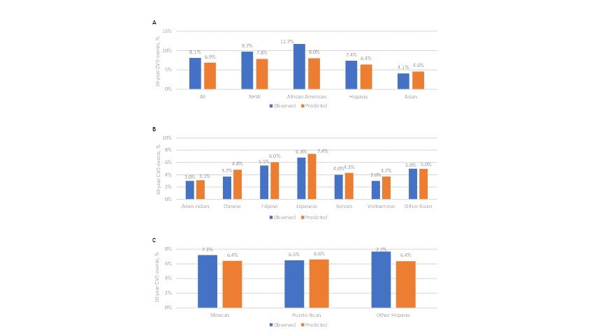
Over 191,000 primary care patients were identified and met the study criteria, with 58.5% non-Hispanic white (NHW), 3.2% non-Hispanic Black (NHB), 21.4% non-Hispanic Asian (NHA) and 10% Hispanic. Across three PREVENT sub-models, model performance in discriminating corresponding CVD event was comparable with those in the original model development and validation cohort, with best performed on NHA (C-statistics>0.80) for all three models, poorest on NHB (C-statistics ranges 0.75-0.77). However, each model underestimated the risk for overall population, with most underestimated for NHB, but overestimated for NHA.
Within NHA, total CVD model performed best in Asian Indian and Vietnamese (C-statistics: 0.88) and poorest on Japanese (C-statistics =0.78), ASCVD model performed best on female Vietnamese (C-statistics=0.86) and worst on female Korean (c-statistics=0.72), while HF model performed well for Asian Indian and Korean. However, total CVD model and ASCVD overestimated most for Chinese, HF overestimated most on Vietnamese (Figure 1,2,3). Within Hispanic, the models performed best in Puerto Rican.
Conclusions:
PREVENT models had significantly improved the discrimination performance in all race/ethnicity groups and disaggregated Asian and Hispanic subgroups. However, all three models underestimate risk for all groups except NHA. The variation emphasizes the importance in recognizing heterogeneity within population, individual risk should always be considered in using risk model in clinical practice.
  • Yan, Xiaowei  ( Sutter Health , Walnut Creek , California , United States )
  • Bacong, Adrian  ( Stanford University , Mountain View , California , United States )
  • Huang, Qiwen  ( Sutter Health , Walnut Creek , California , United States )
  • Husby, Hannah  ( Sutter Health , Walnut Creek , California , United States )
  • Jose, Powell  ( Sutter Medical Group , Sacramento , California , United States )
  • Palaniappan, Latha  ( STANFORD UNIVERSITY , Stanford , California , United States )
  • Rodriguez, Fatima  ( STANFORD UNIVERSITY , Palo Alto , California , United States )
  • Author Disclosures:
    Xiaowei Yan: DO NOT have relevant financial relationships | Adrian Bacong: DO NOT have relevant financial relationships | Qiwen Huang: No Answer | Hannah Husby: DO NOT have relevant financial relationships | powell jose: DO NOT have relevant financial relationships | Latha Palaniappan: DO NOT have relevant financial relationships | Fatima Rodriguez: DO have relevant financial relationships ; Consultant:HealthPals:Active (exists now) ; Consultant:iRhythm:Active (exists now) ; Consultant:HeartFlow:Active (exists now) ; Consultant:Arrowhead Pharmaceuticals:Active (exists now) ; Consultant:Edwards:Past (completed) ; Consultant:Inclusive Health:Active (exists now) ; Consultant:Kento Health:Active (exists now) ; Consultant:Movano Health:Active (exists now) ; Consultant:Esperion Therapeutics:Past (completed) ; Consultant:NovoNordisk:Active (exists now) ; Consultant:Novartis:Active (exists now)
Meeting Info:

Scientific Sessions 2024

2024

Chicago, Illinois

Session Info:

Predictive Precision: Unlocking Cardiovascular Health with PREVENT Risk Scoring

Saturday, 11/16/2024 , 11:10AM - 12:35PM

Moderated Digital Poster Session

More abstracts on this topic:
A RETRO-ENANTIOMER OF ANGIOTENSIN-(1-9) PREVENTS THE DEVELOPMENT OF HEART FAILURE WITH PRESERVED EJECTION FRACTION.

Ocaranza Maria Paz, Jimenez Veronica, Yanez Osvaldo, Jalil Jorge, Venegas Camilo, Candia Camila, Hermoso Marcela, Gabrielli Luigi, Morales Javier, Oyarzun Felipe, Torres Cristian, Lillo Pablo

Association Between Race/Ethnicity and New Onset Atrial Fibrillation and Stroke Following Noncardiac Surgery

Rudolph Maira, Garcia Mario, Stiles Brendon, Bhatt Deepak, Nafiu Olubukola, Eikermann Matthias, Karaye Ibraheem, Mpody Christian, Borngaesser Felix, Wongtangman Karuna, Wachtendorf Luca Johann, Khandaker Rafi, Suleiman Aiman, Schaefer Maximilian, Di Biase Luigi

More abstracts from these authors:
Evaluating Discrimination of Cardiovascular Disease Risk Prediction Models Among Diverse Socioeconomic Groups: the All of Us Cohort

Lewis Ashley, Bacong Adrian, Palaniappan Latha, Hernandez-boussard Tina

Overview of CKM health in Asian populations

Bacong Adrian, Kanaya Alka, Palaniappan Latha

You have to be authorized to contact abstract author. Please, Login
Not Available