Logo

American Heart Association

  59
  0


Final ID: MP2700

Sex-Specific Prognostic Implications of Coronary Physiology and Microvascular Dysfunction

Abstract Body (Do not enter title and authors here): Background
Sex differences in coronary physiology have been reported, particularly with regard to higher resting coronary flow in women. Resting flow is independently associated with clinical outcomes, irrespective of the presence of coronary microvascular dysfunction (CMD), but its sex-specific prognostic significance remains unclear.
Aims
This study aimed to compare the prognostic implications of resting flow and CMD between sexes among patients with angina and non-obstructive coronary arteries (ANOCA).
Methods
We studied 1194 patients with ANOCA undergoing coronary reactivity testing. Endothelium-independent microvascular function was assessed by coronary flow reserve (CFR) during adenosine-induced hyperemia, and endothelium-dependent function by coronary blood flow (CBF) increase during intracoronary acetylcholine infusion. Endothelium-dependent CMD was defined as <50% CBF increase, and endothelium-independent CMD as CFR <2.5. Cardiovascular events were defined as a composite of all-cause death, myocardial infarction and heart failure.
Results
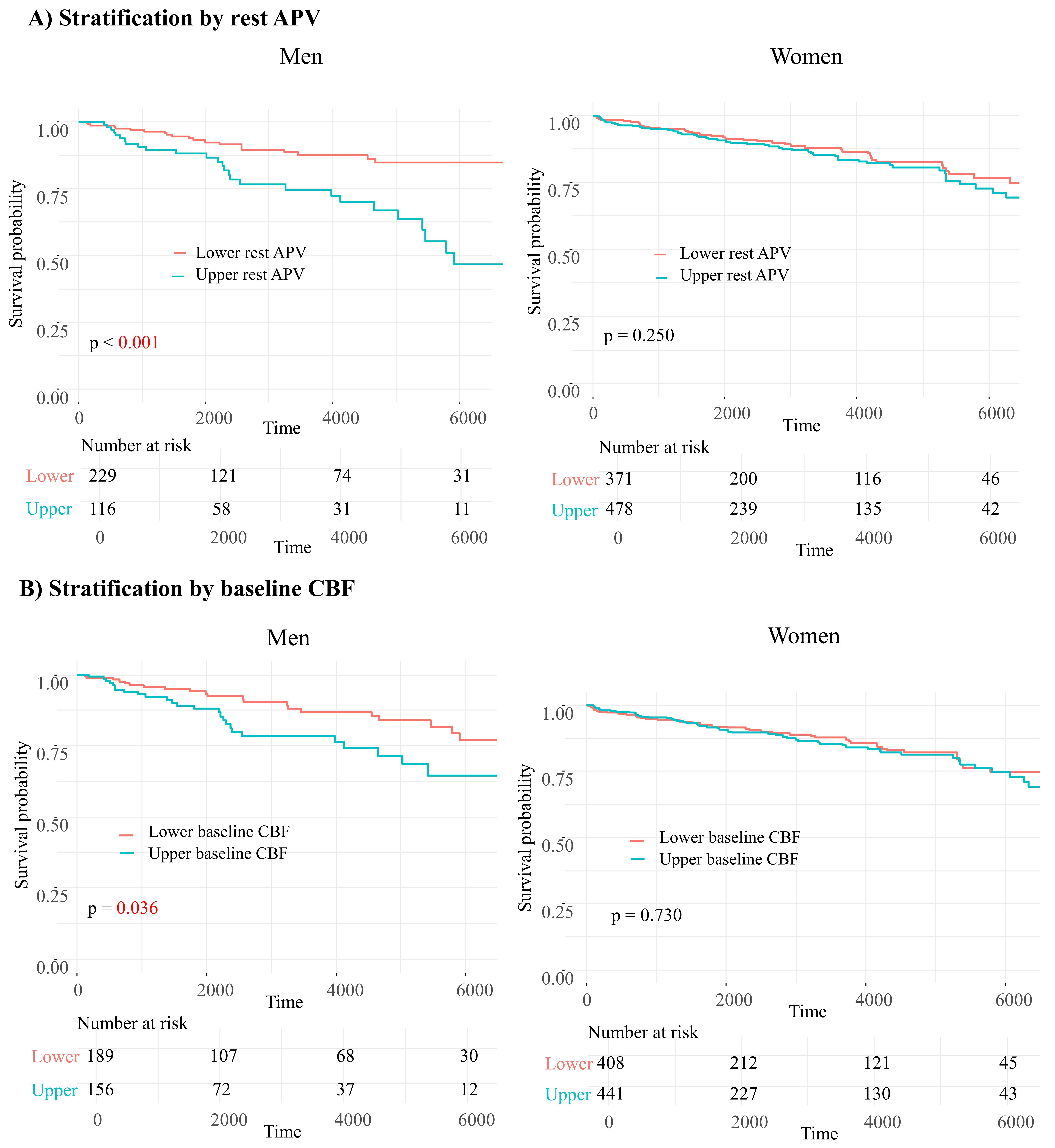
The median age of the study population was 52 years, and 71.1% were women. Resting average peak velocity (rAPV) and baseline CBF (bCBF) were significantly higher in women (p<0.001 and p=0.006, respectively). Survival analysis revealed that both elevated rAPV and bCBF were significantly associated with worse outcomes in men (p<0.001 and p=0.036, respectively, Figure 1), whereas no such associations were observed in women. In Cox proportional hazard analysis, sex showed a significant interaction effect with elevated rAPV (interaction p=0.014). Furthermore, endothelium-independent CMD was significantly associated with adverse outcomes in both men and women (p=0.011 and p=0.004, respectively), whereas endothelium-dependent CMD was significantly associated with prognosis only in men (p=0.006). Among men with endothelium-dependent CMD, the subtype characterized by higher bCBF was particularly associated with worse prognosis (p=0.001, Figure 2).
Conclusions
In patients with ANOCA, men had lower resting coronary flow than women. However, its association with adverse outcomes was observed only in men, especially in those with impaired endothelial function. These results suggest that coronary physiology should be interpreted differently by sex, and that clinical decisions should be adjusted accordingly.
  • Nogami, Kai  ( Mayo Clinic , Rochester , Minnesota , United States )
  • Toya, Takumi  ( National Defense Medical College , Saitama , Japan )
  • Hellou, Elias  ( Mayo Clinic Rochester MN , Rochester , Minnesota , United States )
  • Kalhor, Parvin  ( mayoclinic , Rochester , Minnesota , United States )
  • Manzato, Matteo  ( Mayo Clinic , Rochester , Minnesota , United States )
  • Lerman, Lilach  ( MAYO CLINIC , Rochester , Minnesota , United States )
  • Lerman, Amir  ( Mayo Clinic , Rochester , Minnesota , United States )
  • Author Disclosures:
    Kai Nogami: DO NOT have relevant financial relationships | Takumi Toya: DO NOT have relevant financial relationships | Elias Hellou: DO NOT have relevant financial relationships | parvin kalhor: DO NOT have relevant financial relationships | Matteo Manzato: DO NOT have relevant financial relationships | Lilach Lerman: DO have relevant financial relationships ; Employee:Mayo Clinic:Active (exists now) ; Research Funding (PI or named investigator):NIH:Active (exists now) ; Consultant:Livekidney.Bio:Active (exists now) ; Consultant:RiboCure:Active (exists now) ; Consultant:Cellergy:Active (exists now) ; Consultant:CureSpec:Active (exists now) | Amir Lerman: DO NOT have relevant financial relationships
Meeting Info:

Scientific Sessions 2025

2025

New Orleans, Louisiana

Session Info:

Microvascular & Non-Obstructive Coronary Disease: Mechanisms to Management

Monday, 11/10/2025 , 01:45PM - 02:45PM

Moderated Digital Poster Session

More abstracts on this topic:
Coronary Microvascular Dysfunction Endotypes are Associated with Increased Pro-Inflammatory State in Angina with Non-Obstructive Coronary Arteries

Almanzar Anibelky, Quesada Odayme, Tapp Danielle, Tipler Paxson, Ashokprabhu Namrita, Midkiff Jeff, Tzoumas Andreas, Mohan Ayushi, Henry Timothy, Owens Iii A. Phillip

Cell Signaling, Metabolic, and Inflammatory RNA Transcriptomic Pathways are Upregulated Among Patients with Coronary Microvascular Dysfunction and Ischemia with Non-Obstructive Coronary Arteries

Jerome Barbara, Berger Jeffrey, Smilowitz Nathaniel, Schlamp Florencia, Hausvater Anais, Joa Amanda, Serrano Claudia, Farid Ayman, Hochman Judith, Barrett Tessa, Reynolds Harmony

More abstracts from these authors:
You have to be authorized to contact abstract author. Please, Login
Not Available