Logo

American Heart Association

  15
  0


Final ID: MP648

Win Ratio Analysis of Low-Voltage Area Ablation in Persistent Atrial Fibrillation: a Sub-Analysis of the SUPPRESS-AF Study

Abstract Body (Do not enter title and authors here): Background: In patients with persistent atrial fibrillation (AF), low-voltage areas (LVAs) in the left atrium are considered potential arrhythmogenic substrates. While additional substrate ablation targeting LVAs may reduce AF recurrence, the impact on broader clinical outcomes remains unclear.
Hypothesis: Given the potential procedural risks associated with extensive ablation, comprehensive outcome assessment beyond recurrence is warranted.
Aims: This study aimed to compare hierarchical clinical outcomes between pulmonary vein isolation (PVI) alone and PVI plus LVA ablation using a win ratio analysis.
Methods: This was a post-hoc sub-analysis of the SUPPRESS-AF trial, a multicenter, randomized controlled study conducted at eight centers. Among 1,364 enrolled patients, 341 with LVAs detected on voltage mapping were randomized 1:1 to undergo either PVI alone (n = 171) or PVI with additional LVA ablation (n = 170). Hierarchical outcomes included all-cause death, symptomatic stroke, AF recurrence, bleeding events, and periprocedural complications. Win ratio analysis was used to compare outcomes in order of clinical importance.
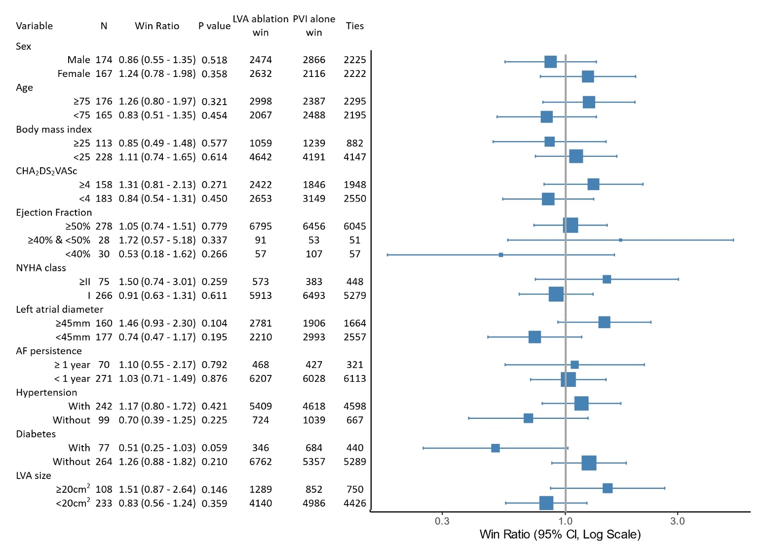
Results: Baseline characteristics were well balanced between the two groups. The mean age of the cohort was 74.3 ± 6.5 years, and 49% of the patients were female. Persistent atrial fibrillation lasting more than one year was observed in 20.5% of patients. The average left atrial diameter was 43.8 ± 5.5 mm. The PVI plus LVA ablation group had significantly longer procedure time (192 ± 73 vs. 164 ± 59 minutes, P < 0.001) and greater energy delivery (86 ± 27 vs. 63 ± 20 kJ, P < 0.001). In the hierarchical win ratio analysis, no significant difference was observed between groups (win ratio: 1.01, 95% CI: 0.73-1.39, p = 0.940). Numerically, PVI alone was associated with fewer deaths, strokes, bleeding events, and complications, whereas LVA ablation showed a modest benefit in AF recurrence suppression. Subgroup analyses revealed consistent results regardless of various patient characteristics.
Conclusion: In patients with persistent AF and LVAs, the addition of LVA ablation to PVI prolonged procedure time but did not improve hierarchical clinical outcomes. Routine LVA ablation using the current strategy is not supported by these findings. However, the addition of LVA ablation may suppress the recurrence of AF, and new approaches are anticipated in future studies. LVA ablation will continue to be recognized as an important treatment strategy.
  • Sunaga, Akihiro  ( Osaka University , Suita , Japan )
  • Tanaka, Nobuaki  ( Sakurabashi Watanabe Hospital , Osaka , Japan )
  • Watanabe, Tetsuya  ( Osaka General Medical Center , Osaka , Japan )
  • Inoue, Koichi  ( National Hospital Organization Osaka National Hospital , Osaka , Japan )
  • Sotomi, Yohei  ( Osaka University , Osaka , Japan )
  • Sakata, Yasushi  ( Osaka University , Toyonaka , Japan )
  • Matsuoka, Yuki  ( Osaka University , Suita , Japan )
  • Nakatani, Daisaku  ( OSAKA UNIVERSITY GRADUATE SCHOOL , Suita , Japan )
  • Okada, Katsuki  ( OSAKA UNIVERSITY GRADUATE SCHOOL , Suita Osaka , Japan )
  • Kida, Hirota  ( Osaka University , Suita , Japan )
  • Sakamoto, Daisuke  ( Osaka University , Suita , Japan )
  • Hasegawa, Hideaki  ( Osaka University , Suita , Japan )
  • Kitamura, Tetsuhisa  ( Osaka University , Suita , Japan )
  • Masuda, Masaharu  ( Kansai Rosai Hospital , Amagasaki , Japan )
  • Author Disclosures:
    Akihiro Sunaga: DO NOT have relevant financial relationships | Nobuaki Tanaka: DO NOT have relevant financial relationships | Tetsuya Watanabe: DO NOT have relevant financial relationships | Koichi Inoue: No Answer | Yohei Sotomi: DO have relevant financial relationships ; Research Funding (PI or named investigator):Abbott Medical Japan:Active (exists now) ; Speaker:Boehringer Ingelheim:Active (exists now) ; Speaker:Daiichi Sankyo:Active (exists now) ; Speaker:Bayer:Active (exists now) ; Speaker:Bristole-Myers Squibb:Active (exists now) | Yasushi Sakata: DO have relevant financial relationships ; Speaker:Novo Nordics:Active (exists now) ; Speaker:Ono Pharamaceutical:Active (exists now) ; Speaker:Janssen Pharmacheutical:Active (exists now) ; Speaker:Bayer:Active (exists now) ; Speaker:Novartis Pharma:Active (exists now) ; Speaker:Nippon Boehringer Ingelheim:Active (exists now) ; Speaker:Otsuka Pharmaceutical:Past (completed) ; Speaker:AstraZeneca:Active (exists now) ; Research Funding (PI or named investigator):BIOTRONIK JAPAN:Active (exists now) ; Research Funding (PI or named investigator):Boston Scientific Japan:Active (exists now) ; Research Funding (PI or named investigator):Otsuka Pharmaceutical:Active (exists now) ; Research Funding (PI or named investigator):Abbot Japan:Active (exists now) | Yuki Matsuoka: DO NOT have relevant financial relationships | Daisaku Nakatani: DO NOT have relevant financial relationships | Katsuki Okada: No Answer | Hirota Kida: DO NOT have relevant financial relationships | Daisuke Sakamoto: DO NOT have relevant financial relationships | Hideaki Hasegawa: No Answer | Tetsuhisa Kitamura: DO NOT have relevant financial relationships | Masaharu Masuda: DO NOT have relevant financial relationships
Meeting Info:

Scientific Sessions 2025

2025

New Orleans, Louisiana

Session Info:

What Drives Success? Trends and Predictive Factors in AF Ablation Outcomes

Saturday, 11/08/2025 , 09:15AM - 10:30AM

Moderated Digital Poster Session

More abstracts on this topic:
Balloon-Expandable versus Self-Expandable Valve for the Management of Bicuspid Aortic Disease: An Updated Meta-Analysis of Clinical Outcomes

Oliveira Izadora, Graner Moreira Humberto, De Sousa Andre, Paiva Arthur, Ferreira Vitor, De Sá Carlos Eduardo, Alves Alencar Joao Victor, Alves Alencar Pedro Lucas, Duarte Lima Ana Paula, Oliveira Vinicius

Acoramidis Reduces the Risk of All-Cause Mortality and Cardiovascular-Related Hospitalization Compared With Placebo in Participants With Transthyretin Amyloid Cardiomyopathy and Early-Stage Heart Failure Regardless of Atrial Fibrillation History: Insights From ATTRibute-CM

Witteles Ronald, Mitter Sumeet, Gillmore Julian, Hanna Mazen, Berk John, Mitchell Joshua, Shah Keyur, Kobayashi Masatake, Xiong Kuangnan, Castano Adam, Tamby Jean-francois, Fox Jonathan

More abstracts from these authors:
Electrical Gaps and Outcomes After Redo AF Ablation: Comparative Analysis from the EARNEST-PVI Trial

Okada Masato, Nakatani Daisaku, Sotomi Yohei, Sakata Yasushi, Tanaka Nobuaki, Tanaka Koji, Hirao Yuko, Masuda Masaharu, Watanabe Tetsuya, Inoue Koichi, Hikoso Shungo, Sunaga Akihiro

The association of longitudinal NT-proBNP levels with echocardiographic measurements in heart failure with preserved ejection fraction: Insights from the PURSUIT-HFpEF Registry

Sakamoto Daisuke, Seo Masahiro, Yano Masamichi, Hayashi Takaharu, Nakagawa Akito, Nakagawa Yusuke, Yasumura Yoshio, Yamada Takahisa, Ohtani Tomohito, Hikoso Shungo, Sotomi Yohei, Matsuoka Yuki, Sakata Yasushi, Nakatani Daisaku, Okada Katsuki, Sunaga Akihiro, Kida Hirota, Sato Taiki, Kitamura Tetsuhisa, Tamaki Shunsuke

You have to be authorized to contact abstract author. Please, Login
Not Available