Logo

American Heart Association

  17
  0


Final ID: Sa3097

The association of longitudinal NT-proBNP levels with echocardiographic measurements in heart failure with preserved ejection fraction: Insights from the PURSUIT-HFpEF Registry

Abstract Body (Do not enter title and authors here): Background:
Elevated N-terminal pro-brain natriuretic peptide (NT-proBNP) levels during the stable phase are associated with poor prognosis in heart failure with preserved ejection fraction (HFpEF). Serial measurements of NT-proBNP and evaluation of its trends over time provide additional prognostic value, emphasizing the importance of maintaining lower levels of NT-proBNP.

Research questions:
In clinical practice, echocardiography is one of the most useful non-invasive modalities for estimating myocardial wall stress in patients with heart failure. However, the specific echocardiographic parameters associated with longitudinal NT-proBNP levels in HFpEF remain poorly understood.

Methods:
This study analyzed data from the Prospective mUlticenteR obServational stUdy of patIenTs with HFpEF (PURSUIT HFpEF). Patients hospitalized for acute decompensated HF with a left ventricular ejection fraction (LVEF) ≥50% were included. The association between longitudinal NT-proBNP levels and echocardiographic parameters was assessed using linear mixed-effects models, with further stratification by atrial tachyarrhythmias (ATAs) status.

Results:
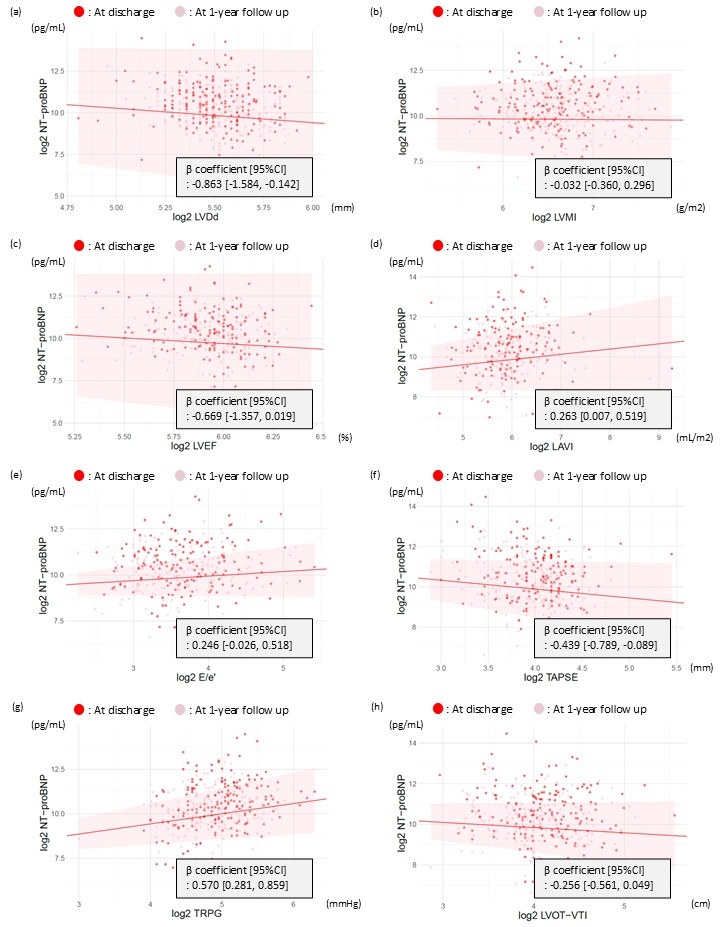
Of 1,238 enrolled patients (median age 83 [77, 87] years; 551 [45%] male), 617 patients with longitudinal NT-proBNP data available (407 without ATAs, 210 with ATAs) were analyzed. In patients without ATAs , even after covariates adjusted, NT-proBNP levels were positively associated with left ventricular diastolic diameter (β-coefficient: 1.878 ± 0.736, P<0.001), left ventricular mass index (β-coefficient: 1.467 ± 0.280, P<0.001), left atrial volume index (β-coefficient: 0.795 ± 0.232, P<0.001), E/e’ (β-coefficient: 1.041 ± 0.214, P<0.001), and tricuspid regurgitation pressure gradient (TRPG) (β-coefficient: 0.849 ± 0.261, P<0.001). Conversely, left ventricular ejection fraction was negatively associated (β-coefficient: -1.632 ± 0.607, P<0.001). However, in patients with ATAs, most of these parameters except for E/e’, TRPG, and interventricular septal thickness at end-diastole had no correlation with NT-proBNP levels.

Conclusions:
In HFpEF patients without ATAs, longitudinal NT-proBNP levels were broadly associated with both structural and functional echocardiographic parameters. However, patients with ATAs showed limited associations.
  • Sakamoto, Daisuke  ( OSAKA UNIVERSITY GRADUATE SCHOOL , Suita , Japan )
  • Seo, Masahiro  ( Osaka General Medical Center , Osaka City , Japan )
  • Yano, Masamichi  ( Osaka Rosai hospital , Sakai , Japan )
  • Hayashi, Takaharu  ( Osaka Police Hospital , Osaka , Japan )
  • Nakagawa, Akito  ( OSAKA UNIVERSITY GRADUATE SCHOOL , Suita , Japan )
  • Nakagawa, Yusuke  ( Kawanishi city hospital , Kawanishi , Japan )
  • Yasumura, Yoshio  ( Amagasaki chuo hospital , Amagasaki , Japan )
  • Yamada, Takahisa  ( OSAKA GENERAL MEDICAL CENTER , Osaka , Japan )
  • Ohtani, Tomohito  ( OSAKA UNIVERSITY GRADUATE SCHOOL , Suita , Japan )
  • Hikoso, Shungo  ( Nara Medical University , Kashihara , Japan )
  • Sotomi, Yohei  ( OSAKA UNIVERSITY GRADUATE SCHOOL , Suita , Japan )
  • Matsuoka, Yuki  ( OSAKA UNIVERSITY GRADUATE SCHOOL , Suita , Japan )
  • Sakata, Yasushi  ( OSAKA UNIVERSITY GRADUATE SCHOOL , Suita , Japan )
  • Nakatani, Daisaku  ( OSAKA UNIVERSITY GRADUATE SCHOOL , Suita , Japan )
  • Okada, Katsuki  ( OSAKA UNIVERSITY GRADUATE SCHOOL , Suita , Japan )
  • Sunaga, Akihiro  ( OSAKA UNIVERSITY GRADUATE SCHOOL , Suita , Japan )
  • Kida, Hirota  ( OSAKA UNIVERSITY GRADUATE SCHOOL , Suita , Japan )
  • Sato, Taiki  ( OSAKA UNIVERSITY GRADUATE SCHOOL , Suita , Japan )
  • Kitamura, Tetsuhisa  ( Osaka University , Osaka , Japan )
  • Tamaki, Shunsuke  ( Ehime University , Toon , Japan )
  • Author Disclosures:
    Daisuke Sakamoto: DO NOT have relevant financial relationships | Masahiro Seo: DO NOT have relevant financial relationships | Masamichi Yano: No Answer | Takaharu Hayashi: DO NOT have relevant financial relationships | Akito Nakagawa: DO NOT have relevant financial relationships | Yusuke Nakagawa: DO NOT have relevant financial relationships | Yoshio Yasumura: No Answer | Takahisa Yamada: DO NOT have relevant financial relationships | Tomohito Ohtani: DO have relevant financial relationships ; Research Funding (PI or named investigator):PDRadiopharma:Past (completed) ; Speaker:Daiichi Sankyo Company:Active (exists now) ; Speaker:Bristol Myers Squibb:Active (exists now) ; Speaker:Bayer Pharma Japan:Active (exists now) ; Speaker:Astrazeneca:Active (exists now) ; Speaker:Boehringer Ingelheim:Active (exists now) ; Speaker:Otsuka Pharmaceutical:Active (exists now) | Shungo Hikoso: DO have relevant financial relationships ; Advisor:Kowa Company, Ltd.:Past (completed) ; Researcher:The Ministry of Health Labour and Welfare:Active (exists now) ; Researcher:The Ministry of Education, Culture, Sports, Science and Technology:Active (exists now) ; Speaker:Kowa Company, Ltd.:Active (exists now) ; Speaker:Bristol-Myers Squibb K.K.:Active (exists now) ; Speaker:Bayer Yakuhin Ltd.:Past (completed) ; Speaker:Novartis Pharma K.K.:Active (exists now) ; Speaker:AstraZeneca K.K.:Active (exists now) ; Speaker:MSD K.K.:Active (exists now) ; Speaker:Nippon Boehringer Ingelheim Co., Ltd.:Active (exists now) ; Speaker:Daiichi Sankyo Co., Ltd:Past (completed) ; Research Funding (PI or named investigator):Mochida Pharmaceutical Co., Ltd.:Past (completed) ; Advisor:Bayer Yakuhin Ltd.:Past (completed) ; Advisor:Nippon Boehringer Ingelheim Co., Ltd.:Past (completed) ; Advisor:Eli Lilly Japan K.K.:Past (completed) | Yohei Sotomi: DO have relevant financial relationships ; Research Funding (PI or named investigator):Abbott Medical Japan:Active (exists now) ; Speaker:Boehringer Ingelheim:Active (exists now) ; Speaker:Daiichi Sankyo:Active (exists now) ; Speaker:Bayer:Active (exists now) ; Speaker:Bristole-Myers Squibb:Active (exists now) | Yuki Matsuoka: DO NOT have relevant financial relationships | Yasushi Sakata: No Answer | Daisaku Nakatani: DO NOT have relevant financial relationships | Katsuki Okada: No Answer | Akihiro Sunaga: DO NOT have relevant financial relationships | Hirota Kida: DO NOT have relevant financial relationships | Taiki Sato: No Answer | Tetsuhisa Kitamura: DO NOT have relevant financial relationships | Shunsuke Tamaki: DO NOT have relevant financial relationships
Meeting Info:

Scientific Sessions 2025

2025

New Orleans, Louisiana

Session Info:

Biomarkers in HF: Past, Present, and Future

Saturday, 11/08/2025 , 02:30PM - 03:30PM

Abstract Poster Board Session

More abstracts on this topic:
A multi-proteomic Risk Score Predicts Adverse Cardiovascular Outcomes in Patients with Angina and Non-obstructive Coronary Artery Disease

Huang Jingwen, Lodhi Rafia, Lodhi Saleha, Eldaidamouni Ahmed, Hritani Wesam, Hasan Muhammet, Haroun Nisreen, Quyyumi Arshed, Mehta Puja, Leon Ana, Ko Yi-an, Yang Huiying, Medina-inojosa Jose, Ahmed Taha, Harris Kristen, Alkhoder Ayman, Al Kasem Mahmoud

2 Dimensional Echocardiography versus 3 Dimentional Echocardiography to Assess Right Ventricular Function in Pulmonary Hypertension: A Systematic Review

Chaudhry Waleed Razzaq, Hajj Fatima, Bathula Satyamedha, Meghji Mohammed Askari, Pasupuleti Hemalatha, Kiyani Madiha, Shah Syeda Simrah, Neelakantan Ramaswamy Sanathanan, Mirzaeidizaji Nakisa, St. Jacques Jahnoy, Khan Khalil Ullah, Veluchamy Elakkiya, Jesse Joshanna

More abstracts from these authors:
Evolution of Tricuspid Regurgitation and Clinical Outcomes in Patients with Heart Failure with Preserved Ejection Fraction: Insights from the PURSUIT-HFpEF Registry

Okada Masato, Nakatani Daisaku, Sotomi Yohei, Sakata Yasushi, Tanaka Nobuaki, Iwakura Katsuomi, Seo Masahiro, Hayashi Takaharu, Yano Masamichi, Yamada Takahisa, Yoshio Yasumura, Hikoso Shungo

A Novel Echocardiography Risk Score Predicted Mortality In Patients With Heart Failure With Preserved Ejection Fraction.

Iwakura Katsuomi, Yoshio Yasumura, Hikoso Shungo, Okada Katsuki, Nakatani Daisaku, Sotomi Yohei, Sakata Yasushi, Tanaka Nobuaki, Okada Masato, Okamura Atsunori, Heitaro Watanabe, Seo Masahiro, Hayashi Takaharu, Yano Masamichi, Yamada Takahisa

You have to be authorized to contact abstract author. Please, Login
Not Available