Logo

American Heart Association

  53
  0


Final ID: MP626

Genetically-Estimated Ancestry is Associated with Risk of Pre-eclampsia: A Multi-Ethnic Case-Control Study

Abstract Body (Do not enter title and authors here): Background: Maternal self-reported ethnicity (SRE) is associated with pre-eclampsia risk and is included in some prediction models.
Aim: This study examined whether genetic ancestry estimates are associated with pre-eclampsia and if incorporating genetic ancestry improves the Fetal Medicine Foundation (FMF) pre-eclampsia risk model.
Methods: Pre-eclampsia cases and matched controls from the Harris-Birthright Cohort (n=5,207) were genotyped (Infinium Global Screening Array). Genetic ancestries were estimated through comparison to a multi-ethnic reference panel. African genetic ancestries were incorporated into logistic regression models alongside established clinical risk factors. Area under ROC curves (AUROC) of FMF risk models with/without genetic ancestries were compared.
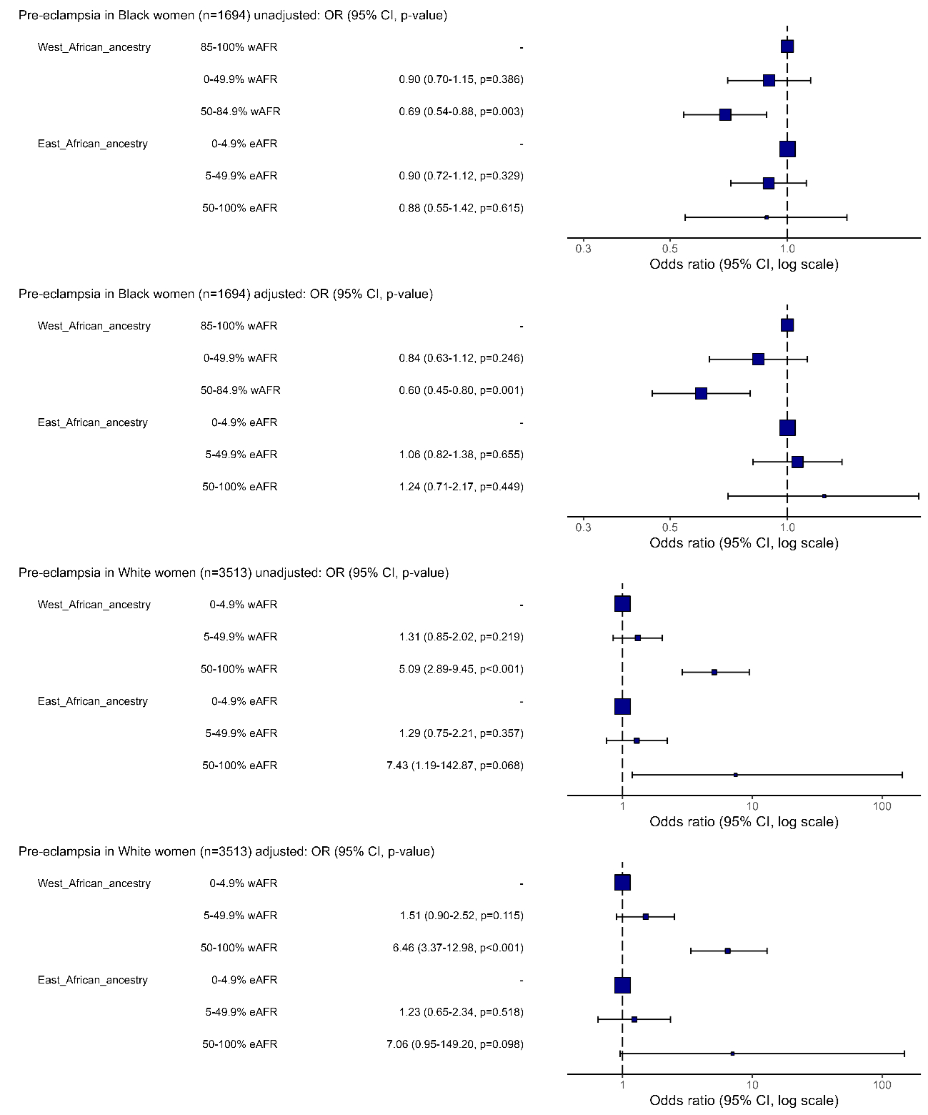
Results: 5,207 women were included: 3,513 of self-reported White (1,382 cases, 2,131 controls) and 1,694 of self-reported Black ethnicity (745 cases, 949 controls). Ethnic categories were defined according to Harris Birthright cohort groupings. Ethnicity-ancestry discrepancy was present in 11.3% of self-reporting Black and 5.3% of self-reporting White individuals (<50% African and <50% European genetic ancestry respectively). Higher percentage West African genetic ancestry was independently associated with increased odds of pre-eclampsia. Among self-reporting White women, those with 50–100% West African ancestry had a higher risk compared to those with <5% (adjusted odds ratio (aOR) 6.46, 95% CI 3.37-12.98, p-value < 0.0001). Conversely, in self-reporting Black women, lower West African ancestry (50-84.9%) was associated with reduced risk compared to 85–100% (aOR 0.60, 95% CI 0.45-0.80, p-value <0.001). Incorporating genetic ancestry into the FMF prediction model did not improve performance in White (AUROC +0.0037, 95% CI -0.0005-0.0080) or Black women (AUROC -0.0005, 95% CI -0.0026-0.0017).
Conclusions: Self-reported maternal ethnicity is an imperfect proxy for genetically-estimated ancestry in multi-ethnic populations. West African genetic ancestry is associated with pre-eclampsia risk independent of established clinical factors, underscoring the potential biological relevance of ancestry-based stratification. However, genetic ancestry did not improve gold-standard multi-modal pre-eclampsia prediction model performance. Large genomic studies are required to determine the genetic architecture of pre-eclampsia and whether genomics can improve advanced clinical prediction algorithms.
  • Conti-ramsden, Frances  ( King's College London , London , United Kingdom )
  • Nicolaides, Kypros  ( King's College London , London , United Kingdom )
  • Syngelaki, Argyro  ( King's College London , London , United Kingdom )
  • Dixon, Peter  ( Imperial College London , London , United Kingdom )
  • Williamson, Catherine  ( Imperial College London , London , United Kingdom )
  • Escobar M, Maria  ( King's College London , London , United Kingdom )
  • Wright, Alan  ( King's College London , London , United Kingdom )
  • Chappell, Lucy  ( King's College London , London , United Kingdom )
  • Hysi, Pirro  ( King's College London , London , United Kingdom )
  • De Marvao, Antonio  ( King's College London , London , United Kingdom )
  • Author Disclosures:
    Frances Conti-Ramsden: DO have relevant financial relationships ; Research Funding (PI or named investigator):Medical Research Council:Past (completed) ; Advisor:Nexus Connected:Active (exists now) ; Consultant:Option 5 Health:Active (exists now) ; Executive Role:Megi Health Limited:Active (exists now) | Antonio de Marvao: No Answer | Kypros Nicolaides: No Answer | Argyro Syngelaki: No Answer | Peter Dixon: No Answer | Catherine Williamson: No Answer | Maria Escobar M: No Answer | Alan Wright: No Answer | Lucy Chappell: No Answer | Pirro Hysi: No Answer
Meeting Info:

Scientific Sessions 2025

2025

New Orleans, Louisiana

Session Info:

Unequal Burdens: Exploring the Geography, Genetics, and Gaps in Cardiovascular Health

Saturday, 11/08/2025 , 12:15PM - 01:15PM

Moderated Digital Poster Session

More abstracts on this topic:
Association Between Race/Ethnicity and New Onset Atrial Fibrillation and Stroke Following Noncardiac Surgery

Rudolph Maira, Garcia Mario, Stiles Brendon, Bhatt Deepak, Nafiu Olubukola, Eikermann Matthias, Karaye Ibraheem, Mpody Christian, Borngaesser Felix, Wongtangman Karuna, Wachtendorf Luca Johann, Khandaker Rafi, Suleiman Aiman, Schaefer Maximilian, Di Biase Luigi

A Novel H2 Relaxin B-Chain-Only Peptide Variant B7-33 Improves The Pathophysiology Of Placental Ischemia In The Reduced Uterine Perfusion Pressure Rat Model Of Preeclampsia

Pantho Ahmed F, Hossain Mohammed, Uddin Mohammad, Amaral Lorena, Campbell Nathan, Afroze Syeda, Vora Niraj, Kuehl Thomas, Lindheim Steven, Lamarca Babbette, Bathgate Ross

You have to be authorized to contact abstract author. Please, Login
Not Available