Logo

American Heart Association

  52
  0


Final ID: Sa3045

Gender disparities of the modified HEART score in acute chest pain in emergency department: insight from a multicenter, randomized controlled trial

Abstract Body (Do not enter title and authors here): Background: HERAT score has been acknowledged as a useful tool stratified risk among patients with acute chest pain in emergency department (ED). This study aims to explore the gender disparities on ED length of stay (LOS), cardiac testing and build a new predictive model including gender.
Methods: This is a post-hoc analysis based on a randomized, controlled trial. Participants were grouped according to gender. The primary outcomes were the length of stay (LOS) in the ED and the rate of 30-day cardiac testing. The secondary outcome was the incidence of 30-day major adverse cardiovascular events (MACE), including cardiovascular death, acute myocardial infarction, coronary revascularization, or hospitalization due to cardiac events.
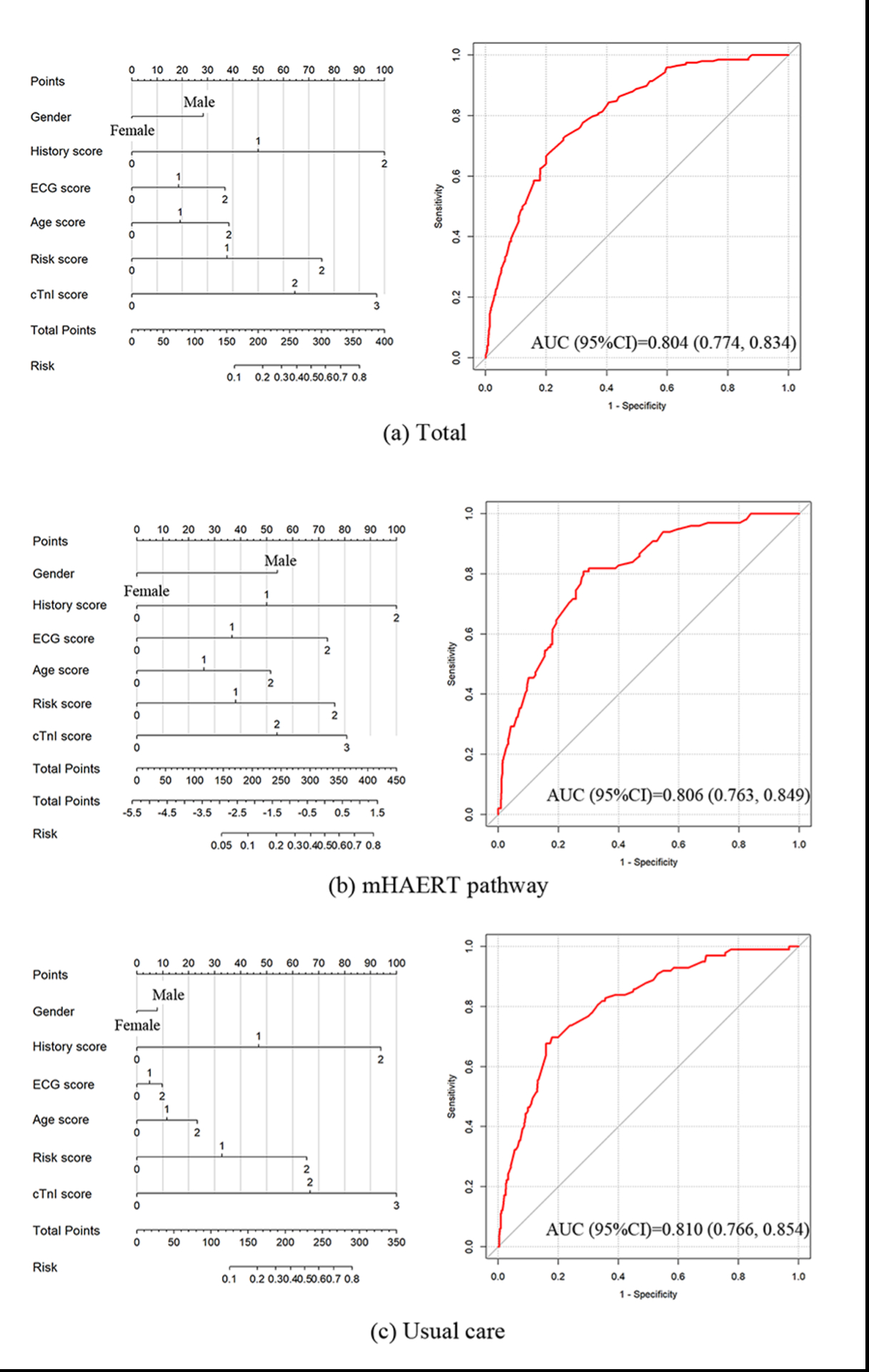
Results: A total of 1819 participants were enrolled, and the average age of this population was 60±13, and 1026 (56.4%) of them were male, 793 (43.5%) of them were female. Male were recorded with a longer LOS (2.8h vs 2.7h, p<0.001) and a higher rate of cardiac testing (38.7% vs 31.1%, p=0.001). 198 (10.9%) of this population experienced MACE. Male was assumed as a risk factor of MACE in both short (HR: 2.05, 95%CI: 1.06-3.98, p=0.034) and long term (HR: 2.52; 95%CI: 1.10-5.75, p=0.028) follow-up under mHEART pathway, but not a risk factor under usual care in both short (HR: 1.46; 95%CI: 0.77-2.78, p=0.244) and long term (HR: 0.82; 95%CI: 0.36-1.87, p=0.630) follow-up. The nomogram models of mHEART score combined with gender demonstrated a strong predictive value for 30-day MACE.
Conclusion: Male gender could prolong the LOS in ED and increase the rate of cardiac testing. Additionally, male gender was a risk factor for 30-day MACE events among patients with acute chest pain under mHEART pathway.
  • Wang, Yimeng  ( fuwai, hospital , Beijing , China )
  • Yang, Yanmin  ( fuwai, hospital , Beijing , China )
  • Xin, Yijing  ( Fuwai Hospital , Beijing , China )
  • Author Disclosures:
    Yimeng Wang: DO NOT have relevant financial relationships | YANMIN YANG: No Answer | Yijing Xin: DO NOT have relevant financial relationships
Meeting Info:

Scientific Sessions 2025

2025

New Orleans, Louisiana

Session Info:

Healthcare Delivery & Demographic Disparities in Coronary Disease

Saturday, 11/08/2025 , 10:30AM - 11:30AM

Abstract Poster Board Session

More abstracts on this topic:
A Polypill Strategy for Lipid Lowering and Anti-Platelet Therapy After Acute Coronary Syndrome: A Pilot Randomized Controlled Trial

Keshvani Neil, Wang Thomas, Pandey Ambarish, Coellar Juan David, Rizvi Syed Kazim, Jain Anand, Bustillo-rubio M. Karina, Segar Matthew, Lokesh Nidhish, Miller James, Yates Sean

A Randomized Clinical Trial Evaluating Vitamin D Normalization on Major Adverse Cardiovascular-Related Events Among Acute Coronary Syndrome Patients: The TARGET-D Trial

May Heidi, Colipi Dominique, Whiting Tyler, Muhlestein Joseph, Le Viet, Anderson Jeffrey, Babcock Daniel, Wayman Libby, Bair Tami, Knight Stacey, Knowlton Kirk, Iverson Leslie

You have to be authorized to contact abstract author. Please, Login
Not Available