Logo

American Heart Association

  20
  0


Final ID: MP966

Right Ventricular Longitudinal Strain Indexed to Right Ventricular Systolic Pressure for Detecting Right Ventricular-Pulmonary Artery Uncoupling and Mortality in Pulmonary Hypertension Patients

Abstract Body (Do not enter title and authors here): Background: A key determinant of prognosis in pulmonary hypertension (PH) is the right ventricle’s (RV) ability to adapt to increased pulmonary vascular resistance. Consequently, markers of RV-pulmonary artery (PA) coupling may improve prognostic prediction in PH. The ratio of tricuspid annular plane systolic excursion (TAPSE) to systolic PA pressure (sPAP) has been proposed as a surrogate for RV-PA coupling and a reliable prognostic marker, however, the existing data on the prognostic value of the ratio between RV longitudinal strain (RVLS) and sPAP as a surrogate for RV-PA coupling is scarce.
Hypothesis: To evaluate the prognostic role of RVLS/RVSP in PH patients and to compare this novel marker with established markers of RV-PA coupling.
Methods: This is a single-center study that included adult patients with PH classified as group I or IV, all of whom had undergone a transthoracic echocardiogram (TTE) within one year prior to the initiation of PH-specific treatment. Certified sonographers procured RV strain measurements using a specific software (Epsilon Imaging, Ann Arbor, MI). Receiver operating characteristic (ROC) analysis was used to determine the best cutoff for predicting all-cause mortality at one-year for RVLS/RVSP and TAPSE/RVSP. The association of RVLS/RVSP and TAPSE/RVSP with mortality at one year was assessed using the Kaplan-Meier analysis and multivariate Cox regression analysis (adjusted for REVEAL LITE 2.0 risk score).
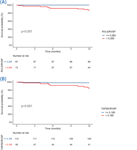
Results: A total of 160 patients were included with a median age of 67.2 (56.8, 73.7) years and 47 (29.2%) were male. ROC analysis revealed optimal cutoffs of 0.265 (AUC = 0.83) for RVLS/RVSP and 0.185 (AUC = 0.77) for TAPSE/RVSP to predict all-cause mortality at one year. One-year cumulative incidence of all-cause mortality was lower among patients with RVLS/RVSP ≥ 0.265 (0 % vs 13.7 %, p = 0.001) and patients with TAPSE/RVSP ≥ 0.185 (1.8 % vs 16.7 %, p = 0.001) (Figure 1). In the multivariate analysis, RVLS/RVSP < 0.265 was associated with higher risk of mortality at one year (HR: 2.38, 95 % CI: 1.05 to 5.38, p = 0.036) while TAPSE/RVSP < 0.185 was not (HR: 2.01, 95 % CI: 0.93 to 4.31, p = 0.072).
Conclusions: RVLS/ RVSP may be a valuable prognostic marker in PH patients and could outperform conventional TTE parameters as a surrogate for detecting RV-PA coupling.
  • Abbas, Mohammed Tiseer  ( Mayo Clinic Arizona , Phoenix , Arizona , United States )
  • Awad, Kamal  ( Mayo Clinic Arizona , Phoenix , Arizona , United States )
  • Baba, Nima  ( Mayo Clinic Arizona , Phoenix , Arizona , United States )
  • Attaripour Esfahani, Sogol  ( Mayo Clinic Arizona , Phoenix , Arizona , United States )
  • Sheashaa, Hesham  ( Mayo Clinic Arizona , Phoenix , Arizona , United States )
  • Bismee, Nadera  ( Mayo Clinic Arizona , Phoenix , Arizona , United States )
  • Ibrahim, Omar  ( Mayo Clinic Arizona , Phoenix , Arizona , United States )
  • Abdelfattah, Fatmaelzahraa  ( Mayo Clinic Arizona , Phoenix , Arizona , United States )
  • Scott, Robert  ( Mayo Clinic Arizona , Phoenix , Arizona , United States )
  • Barry, Timothy  ( Mayo Clinic Arizona , Phoenix , Arizona , United States )
  • Ayoub, Chadi  ( Mayo Clinic Arizona , Phoenix , Arizona , United States )
  • Farina, Juan  ( Mayo Clinic Arizona , Phoenix , Arizona , United States )
  • Arsanjani, Reza  ( Mayo Clinic Arizona , Phoenix , Arizona , United States )
  • Mahmoud, Ahmed K.  ( Mayo Clinic Arizona , Phoenix , Arizona , United States )
  • Wraith, Rachel  ( Mayo Clinic Arizona , Phoenix , Arizona , United States )
  • Brown, Lisa  ( Mayo Clinic Arizona , Phoenix , Arizona , United States )
  • Baxter, Christy  ( Mayo Clinic Arizona , Phoenix , Arizona , United States )
  • Mohammed, Arshad  ( Mayo Clinic Arizona , Phoenix , Arizona , United States )
  • Pereyra, Milagros  ( Mayo Clinic Arizona , Phoenix , Arizona , United States )
  • Scalia, Isabel  ( Mayo Clinic Arizona , Phoenix , Arizona , United States )
  • Author Disclosures:
    Mohammed Tiseer Abbas: DO NOT have relevant financial relationships | Kamal Awad: DO NOT have relevant financial relationships | Nima Baba: No Answer | Sogol Attaripour Esfahani: No Answer | Hesham Sheashaa: DO NOT have relevant financial relationships | Nadera Bismee: DO NOT have relevant financial relationships | Omar Ibrahim: DO NOT have relevant financial relationships | Fatmaelzahraa Abdelfattah: DO NOT have relevant financial relationships | Robert Scott: No Answer | Timothy Barry: No Answer | Chadi Ayoub: DO NOT have relevant financial relationships | Juan Farina: DO NOT have relevant financial relationships | Reza Arsanjani: DO NOT have relevant financial relationships | Ahmed K. Mahmoud: No Answer | Rachel Wraith: No Answer | Lisa Brown: DO NOT have relevant financial relationships | Christy Baxter: DO NOT have relevant financial relationships | Arshad Mohammed: DO NOT have relevant financial relationships | Milagros Pereyra: DO NOT have relevant financial relationships | Isabel Scalia: DO NOT have relevant financial relationships
Meeting Info:

Scientific Sessions 2025

2025

New Orleans, Louisiana

Session Info:

Visualizing Pulmonary Hypertension: Exploring the Role of Imaging in Disease Understanding

Saturday, 11/08/2025 , 01:45PM - 03:00PM

Moderated Digital Poster Session

More abstracts on this topic:
A single-cell atlas of the human PAH lung identifies ITGA9 as a candidate regulator of fibroblast activation and vascular remodeling

Brownstein Adam, Wong Brenda, Graves Tammy, Aldred Micheala, Dai Zhiyu, Yang Xia, Eghbali Mansoureh, Hong Jason

2 Dimensional Echocardiography versus 3 Dimentional Echocardiography to Assess Right Ventricular Function in Pulmonary Hypertension: A Systematic Review

Chaudhry Waleed Razzaq, Hajj Fatima, Bathula Satyamedha, Meghji Mohammed Askari, Pasupuleti Hemalatha, Kiyani Madiha, Shah Syeda Simrah, Neelakantan Ramaswamy Sanathanan, Mirzaeidizaji Nakisa, St. Jacques Jahnoy, Khan Khalil Ullah, Veluchamy Elakkiya, Jesse Joshanna

More abstracts from these authors:
Association of Elevated Serum Lipoprotein(a) with New-Onset Atrial Fibrillation: A Retrospective Study of 108930 Patients

Kamel Moaz, Arsanjani Reza, Awad Kamal, Mahmoud Ahmed K., Farina Juan, Scalia Isabel, Pereyra Milagros, Abbas Mohammed Tiseer, Baba Nima, Ayoub Chadi

Reevaluating Lipoprotein(a) Levels and Risk of All-Cause Mortality in the Setting of Primary Prevention: A Retrospective Cohort Study

Awad Kamal, Ibrahim Omar, Abdelfattah Fatmaelzahraa, Razaghi Mahshad, Mahmoud Ahmed K., Ayoub Chadi, Arsanjani Reza, Farina Juan, Sheashaa Hesham, Abbas Mohammed Tiseer, Pereyra Milagros, Scalia Isabel, Baba Ali Nima, Attaripour Esfahani Sogol, Bismee Nadera

You have to be authorized to contact abstract author. Please, Login
Not Available