Logo

American Heart Association

  81
  0


Final ID: MP2287

Reevaluating Lipoprotein(a) Levels and Risk of All-Cause Mortality in the Setting of Primary Prevention: A Retrospective Cohort Study

Abstract Body (Do not enter title and authors here): Introduction: Elevated lipoprotein(a) [Lp(a)] levels (≥30 mg/dL or ≥50 mg/dL) have been associated with increased risk of cardiovascular diseases (CVD), including myocardial infarction and aortic stenosis. However, its association with all-cause mortality (ACM) in the setting of primary prevention remains unclear, with conflicting evidence regarding the cutoff associated with increased mortality risk.
Objective: To assess the association between elevated Lp(a) and risk of ACM in the context of primary prevention.
Methods: In this retrospective cohort study, we included adult patients (≥18 years old) who had at least one measurement of Lp(a) at any of the three Mayo Clinic sites between 2007 and 2024, with no history of CVDs (i.e., coronary artery disease, ischemic stroke/transient ischemic attack, or peripheral arterial disease) at the time of Lp(a) measurement. Lp(a) levels were categorized based on the following percentiles: ≤50th percentile (≤11.6 mg/dL), 50th to 80th percentiles (11.6–46.6 mg/dL), 80th to 90th percentiles (46.6–75 mg/dL), 90th to 95th percentiles (75–100 mg/dL), and >95th percentile (>100 mg/dL). Survival probabilities up to 15 years were compared across Lp(a) percentile categories using the Kaplan–Meier estimator and log-rank test. Additionally, univariable and multivariable Cox regression analyses were conducted to adjust for potential CV confounders and to quantify this association.
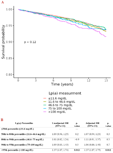
Results: A total of 42,770 patients (median age: 53 years and 54% males) were included. We found no significant difference in survival probabilities between the Lp(a) categories based on the overall log-rank test (p=0.12; Figure 1A). In the univariable analysis, only patients with Lp(a) >95th percentile (>100 mg/dL) had a statistically significant higher risk of ACM [hazard ratio (HR): 1.37; 95%CI: 1.07–1.74; p=0.012], compared to patients with Lp(a) <50th percentile (<11.6 mg/dL). Similarly, after adjusting for potential CV risk factors, only those with Lp(a) >95th percentile (>100 mg/dL) showed a significantly higher risk of ACM (adjusted HR: 1.37; 95%CI: 1.07–1.75; p=0.012, Figure 1B).
Conclusion: In the setting of primary prevention, only very high Lp(a) levels (≥100 mg/dL) were independently associated with increased risk of ACM, suggesting that higher Lp(a) thresholds may be more relevant for identifying individuals at increased risk of ACM than the conventional ≥50 mg/dL cutoff.
  • Awad, Kamal  ( Mayo Clinic, AZ , Phoenix , Arizona , United States )
  • Farina, Juan  ( Mayo Clinic , Phoenix , Arizona , United States )
  • Sheashaa, Hesham  ( Mayo Clinic, Phoenix, AZ , Phoenix , Arizona , United States )
  • Abbas, Mohammed Tiseer  ( Mayo Clinic Arizona , Phoenix , Arizona , United States )
  • Pereyra, Milagros  ( Mayo Clinic Arizona , Scottsdale , Arizona , United States )
  • Scalia, Isabel  ( Mayo Clinic, AZ , Phoenix , Arizona , United States )
  • Baba Ali, Nima  ( Mayo clinic , Phoenix , Arizona , United States )
  • Attaripour Esfahani, Sogol  ( Mayo Clinic, AZ , Phoenix , Arizona , United States )
  • Bismee, Nadera  ( Mayo Clinic, AZ , Phoenix , Arizona , United States )
  • Ibrahim, Omar  ( Mayo Clinic, AZ , Phoenix , Arizona , United States )
  • Abdelfattah, Fatmaelzahraa  ( Mayo Clinic, AZ , Phoenix , Arizona , United States )
  • Razaghi, Mahshad  ( Mayo Clinic, AZ , Phoenix , Arizona , United States )
  • Mahmoud, Ahmed K.  ( Mayo Clinic, AZ , Phoenix , Arizona , United States )
  • Ayoub, Chadi  ( Mayo Clinic , Scottsdale , Arizona , United States )
  • Arsanjani, Reza  ( Mayo Clinic , Scottsdale , Arizona , United States )
  • Author Disclosures:
    Kamal Awad: DO NOT have relevant financial relationships | Omar Ibrahim: DO NOT have relevant financial relationships | Fatmaelzahraa Abdelfattah: DO NOT have relevant financial relationships | Mahshad Razaghi: DO NOT have relevant financial relationships | Ahmed K. Mahmoud: No Answer | Chadi Ayoub: DO NOT have relevant financial relationships | Reza Arsanjani: DO NOT have relevant financial relationships | Juan Farina: DO NOT have relevant financial relationships | Hesham Sheashaa: DO NOT have relevant financial relationships | Mohammed Tiseer Abbas: DO NOT have relevant financial relationships | Milagros Pereyra: DO NOT have relevant financial relationships | Isabel Scalia: DO NOT have relevant financial relationships | Nima Baba Ali: DO NOT have relevant financial relationships | Sogol Attaripour Esfahani: No Answer | Nadera Bismee: DO NOT have relevant financial relationships
Meeting Info:

Scientific Sessions 2025

2025

New Orleans, Louisiana

Session Info:

Charting the Future: Cardiovascular Disease Risk Prediction

Monday, 11/10/2025 , 10:45AM - 12:00PM

Moderated Digital Poster Session

More abstracts on this topic:
A Single-Dose of a Novel CasX-Editor Lowers APOC3 Levels In Vivo

Karanth Santhosh, Ripley-phipps Sterling, Miller Katherine, Su Ali, Mrak Anna, Karmarkar Maitreyee, Eggers Michelle, Bardai Farah, Narsineni Lokesh, Li Yuexuan, Langner Heera, Bucher Simon, Szulwach Keith, Goh Natalie, Mok Amanda, Reimer Kirsten, Oakes Benjamin, Khakoo Aarif, Mirotsou Maria, Smekalova Elena, Saraya Jennifer, Stein Shannon, Sato Anna, Bale Shyamsundhar, Krupa Oleh, Mauriello Anthony

Apolipoprotein A1 infusion in patients with Acute Myocardial Infarction: A Systematic Review and Meta-analysis of randomized trials

Prata Alonzo, Gioli-pereira Luciana, Fukunaga Christian, Katsuyama Eric, Coan Ana Carolina, Scardini Pedro Gabriel, Petri Santos Pinheiro Rafael, Falco Neto Wilson, Fernandes Julia, Andrade Naieli

More abstracts from these authors:
Combination Therapy with SGLT2 Inhibitors and Tafamidis Improves Outcomes More Than Tafamidis Alone in ATTR Cardiac Amyloidosis

Baba Ali Nima, Ibrahim Omar, Razaghi Mahshad, Rosenthal Julie, Steidley D Eric, Farina Juan, Ayoub Chadi, Arsanjani Reza, Attaripour Esfahani Sogol, Abbas Mohammed Tiseer, Abdelfattah Fatmaelzahraa, Awad Kamal, Pereyra Milagros, Scalia Isabel, Bismee Nadera, Sheashaa Hesham

Evaluating the Impact of Lutetium-177 Therapy on Bioprosthetic Heart Valves in Carcinoid Heart Disease

Abdelfattah Fatmaelzahraa, Sheashaa Hesham, Razaghi Mahshad, Arsanjani Reza, Ayoub Chadi, Scalia Isabel, Farina Juan, Ibrahim Omar, Awad Kamal, Pereyra Milagros, Abbas Mohammed Tiseer, Attaripour Esfahani Sogol, Baba Ali Nima

You have to be authorized to contact abstract author. Please, Login
Not Available