Logo

American Heart Association

  156
  0


Final ID: Su2100

Epicardial vs endocardial ablation for ventricular tachycardia: Patient Characteristics, Procedural Factors, and Outcomes

Abstract Body (Do not enter title and authors here): Background: Patients undergoing epicardial access for ventricular tachycardia (VT) have a higher rate of complications and VT recurrence post-procedure. Data regarding electrophysiological factors driving the outcomes are scant.
Objective: To compare the factors and outcomes associated with epicardial vs endocardial VT ablation.
Methods: A single-center, retrospective study of patients undergoing catheter ablation for scar-related VT was conducted. Data collected included demographics, comorbidities, medications, relevant laboratory abnormalities, electrocardiograms, echocardiograms, detailed procedural characteristics, and outcomes.
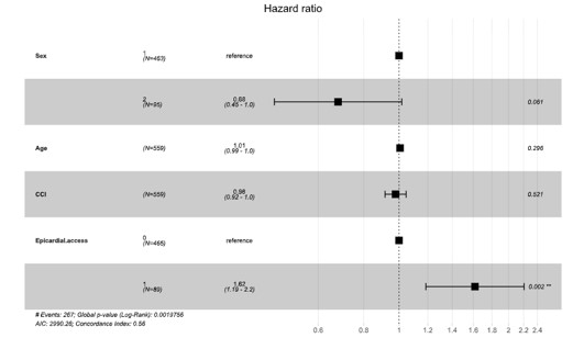
Results: Our cohort of 554 patients had 89 (16.1%) epicardial and 465 (83.9%) endocardial VT ablations. Patients undergoing epicardial ablation had a greater frequency of NICM, and more patients had undergone sympathetic modulation for VT (p < 0.05) but had lesser frequency of valve surgery, and CABG. Epicardial ablation was associated with greater use of both short-term (<3 months) and long-term (>6 months) anti-arrhythmic drugs (AAD) (p<0.01). Epicardial access was obtained by micropuncture or needle-in-needle technique for 22.5% (n=20) of patients. Except for more use of general anesthesia and the lesser usage of drugs for VT induction during epicardial procedures, there were no significant differences. Epicardial ablation had a higher risk of acute complications (<30 days) after the procedure (driven by pericarditis) (25% vs 7.8%, p<0.01). On survival analysis, epicardial access was associated with an increase in VT recurrence and repeat ablation (p<0.01) during a mean follow-up of 1072 days. On multivariate analysis, after adjusting for age, sex and comorbidities, epicardial access was an independent predictor of VT recurrence or repeat ablation [aHR 1.61 (CI: 1.18- 2.2)]
Conclusion: Patients undergoing epicardial ablations with fewer comorbidities demonstrated increased AAD usage prior to and after the procedure, and a higher risk of acute complications after the procedure. Epicardial access was an independent predictor of VT recurrence or repeat ablation.
  • Poddar, Aastha  ( Mayo Clinic , Rochester , Minnesota , United States )
  • Futela, Pragyat  ( MetroHealth Medical Center , Cleveland , Ohio , United States )
  • Woelber, Tiffany  ( Mayo Clinic , Rochester , Minnesota , United States )
  • Kowlgi, Gurukripa  ( Mayo Clinic , Rochester , Minnesota , United States )
  • Heybati, Kiyan  ( Mayo Clinic , Jacksonville , Florida , United States )
  • Prasitlumkum, Narut  ( Mayo Clinic , Rochester , Minnesota , United States )
  • Amin, Hina  ( Mayo Clinic , Rochester , Minnesota , United States )
  • Deshmukh, Abhishek  ( Mayo Clinic , Rochester , Minnesota , United States )
  • Author Disclosures:
    Aastha Poddar: DO NOT have relevant financial relationships | Pragyat Futela: DO NOT have relevant financial relationships | Tiffany Woelber: DO NOT have relevant financial relationships | Gurukripa Kowlgi: DO NOT have relevant financial relationships | Kiyan Heybati: DO NOT have relevant financial relationships | Narut Prasitlumkum: No Answer | Hina Amin: No Answer | Abhishek Deshmukh: DO NOT have relevant financial relationships
Meeting Info:

Scientific Sessions 2024

2024

Chicago, Illinois

Session Info:

Ventricular Arrhythmias: Interventions and Outcomes

Sunday, 11/17/2024 , 11:30AM - 12:30PM

Abstract Poster Session

More abstracts on this topic:
Add-on Therapy with Dantrolene, a RyR2 Stabilizer, Terminates Ventricular Tachycardia Storm refractory to Intravenous Amiodarone in Heart Failure.

Nawata Junya, Omuro Ayumi, Fukuda Masakazu, Suetomi Takeshi, Miyazaki Yosuke, Fujimura Tatsuhiro, Mochizuki Mamoru, Sano Motoaki, Kobayashi Shigeki, Ishikawa Maho, Nakata Yuki, Murakawa Kaori, Nakashima Yusuke, Hisaoka Masahiro, Matsuyama Tetsuya, Nakamura Yoshihide

Characteristics and in-hospital outcomes of Illicit drug users in the FRENCHIE acute coronary syndrome cohort

Boccara Franck, Cayla Guillaume, Angoulvant Denis, Coste Pierre, Lemesle Gilles, Simon Tabassome, Danchin Nicolas, Bouleti Claire, Steg Philippe, Rousseau Alexandra, Lebal Soufiane, Henry Patrick, Pezel Theo, Dillinger Jean Guillaume, Cottin Yves

More abstracts from these authors:
Validation of PAINESD Score to Predict Outcomes of Catheter ablation of Structural Ventricular Tachycardia

Woelber Tiffany, Kowlgi Gurukripa, Futela Pragyat, Arunachalam Karikalan Suganya, Poddar Aastha, Heybati Kiyan, Pradeep Aishwarya, Prasitlumkum Narut, Amin Hina, Deshmukh Abhishek

The Impact of Body-Mass Index on Ventricular Tachycardia Outcomes Post-Catheter Ablation

Poddar Aastha, Futela Pragyat, Woelber Tiffany, Prasitlumkum Narut, Amin Hina, Deshmukh Abhishek, Heybati Kiyan, Kowlgi Gurukripa

You have to be authorized to contact abstract author. Please, Login
Not Available