Logo

American Heart Association

  144
  0


Final ID: Mo2040

Sodium Glucose Cotransporter 2 Inhibitors on Chronic Heart Failure with Reduced Ejection Fraction in Adult Congenital Heart Disease Patients: A Systematic Review and Meta-analysis

Abstract Body (Do not enter title and authors here): Background: SGLT2 inhibitors have demonstrated efficacy in reducing cardiovascular death and hospitalization and are recommended as first-line therapy for hear failure (HF) in adults due to acquired heart diseases. Our study aimed to assess the safety, tolerability, and outcomes of HF patients with adult congenital heart disease (ACHD) treated with SGLT2 inhibitors.
Methods: We conducted a comprehensive search of three major databases—PubMed, Scopus, and Embase—and collected articles on the use of SGLT2 inhibitors for HF in ACHD patients who were already receiving angiotensin-converting enzyme inhibitors (ACEi), angiotensin receptor blockers (ARB), angiotensin receptor neprilysin inhibitors (ARNI), beta-blockers (BB), and mineralocorticoid antagonists (MRA). We excluded articles related to acute decompensated HF and HF with preserved ejection fraction. The primary outcome was the change in NYHA functional class (FC). Secondary outcomes included changes in B-type natriuretic peptide (BNP) and N-terminal pro-BNP (NT-proBNP) levels, as well as body weight. Additionally, we evaluated the safety and tolerability of SGLT2 inhibitors in ACHD HF patients. A pooled effect size was calculated based on mean differences (MD) or log odds ratio (LogOR).
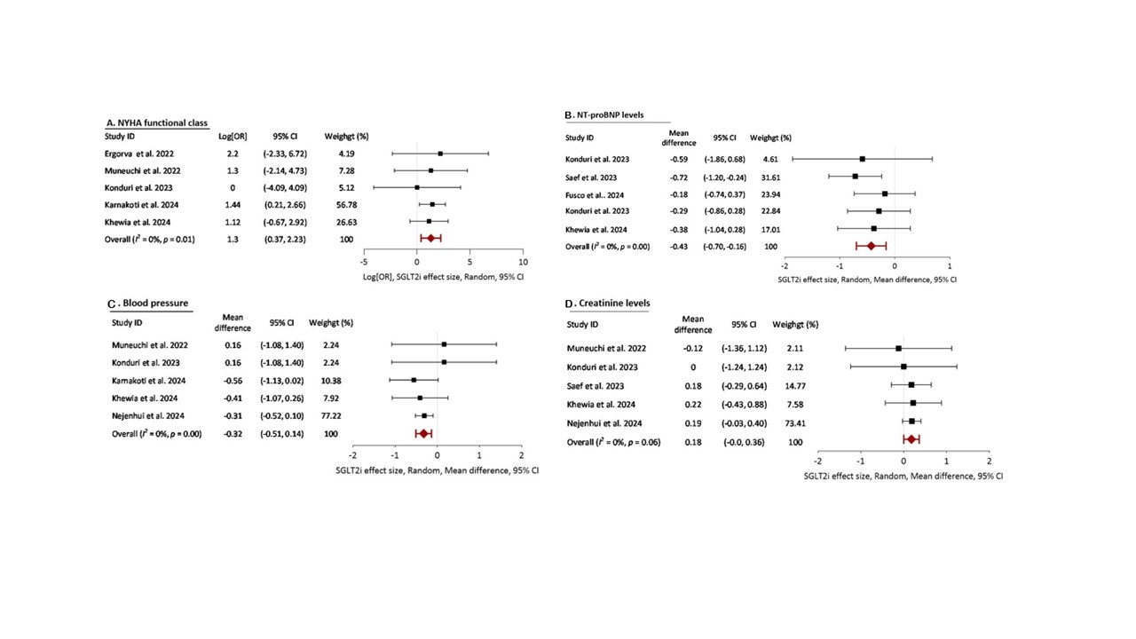
Results: Our meta-analysis included 9 studies with a total of 287 patients aged 19 to 67 (median 37.5 years) (Table). When SGLT2 inhibitors were added to combined therapies, they significantly improved NYHA FC (LogOR: 1.3, 95% CI: 0.37–2.23, p=0.01) (Figure 1A), decreased NT-proBNP (MD -0.43, 95% CI -0.70 to -0.16, p=0.00) (Figure 1B), were associated with a reduction in systolic blood pressure (MD = -0.32, 95% CI: -0.51 to 0.14, p=0.00) (Figure 1C), and led to an elevation of creatinine (Cr) levels (MD = 0.18, 95% CI -0.0 to 0.36, p=0.06) (Figure 1D). Only 4 patients experienced urinary tract infections (UTIs), and none had hypoglycemia or ketoacidosis.
Conclusion: Our meta-analysis demonstrates that SGLT2 inhibitors improve NYHA FC, decrease NT-proBNP, and are well-tolerated with safety features similar to adult HF clinical trials when added to combination HF therapies including ACEI/ARB/ARNI, BB and MRA. Future prospective studies are needed to assess long-term clinical outcomes in ACHD patients with HF.
  • Das, Bibhuti  ( University of Mississippi Med Ctr , Jackson , Mississippi , United States )
  • Niu, Jianli  ( Memorial Healthcare System , Hollywood , Florida , United States )
  • Author Disclosures:
    Bibhuti Das: DO NOT have relevant financial relationships | Jianli Niu: DO NOT have relevant financial relationships
Meeting Info:

Scientific Sessions 2024

2024

Chicago, Illinois

Session Info:

Pediatric Heart Failure, Intensive Care and Long-Term Outcomes

Monday, 11/18/2024 , 01:30PM - 02:30PM

Abstract Poster Session

More abstracts on this topic:
A CRISPR-Activation CROP-seq Screen Identifies HMGN1 as a Dosage-Sensitive Regulator of Heart Defects in Down Syndrome

Ranade Sanjeev, Mital Rahul, Boileau Ryan, Koback Frances, Padmanabhan Arun, Merriman Alexander, Wallace Langley, Nguyen Annie, Poulis Nikolaus, Gifford Casey, Pollard Katherine, Li Feiya, Srivastava Deepak, Whalen Sean, Angelo Pelonero, Ye Lin, Huang Yu, Brand Abigail, Nishino Tomohiro, Costa Mauro

A Rare Cause of Recurrent Heart Failure Exacerbations After Transcatheter Aortic Valve Replacement: Ventricular Septal Defect and Significant Paravalvular Leak

Medina Jesse, Vincent Louis, Rodriguez Ferreira Esteban, Spence-miller Shanice, Fernandez Joel, Colombo Rosario, Calfa Marian

You have to be authorized to contact abstract author. Please, Login
Not Available