Logo

American Heart Association

  131
  0


Final ID: MDP1447

Troponin as a Predictor for Diagnosis and as a Prognostic Marker for Cardiovascular Outcomes in Immune Checkpoint Inhibitor (ICI) related Myocarditis.

Abstract Body (Do not enter title and authors here): Background: ICI-related myocarditis is challenging to diagnose and associated with adverse cardiovascular events and mortality. ICI therapy has also been associated with acute coronary events. There is limited data regarding cardiac troponin T (cTnT) and its association with these cardiovascular outcomes.
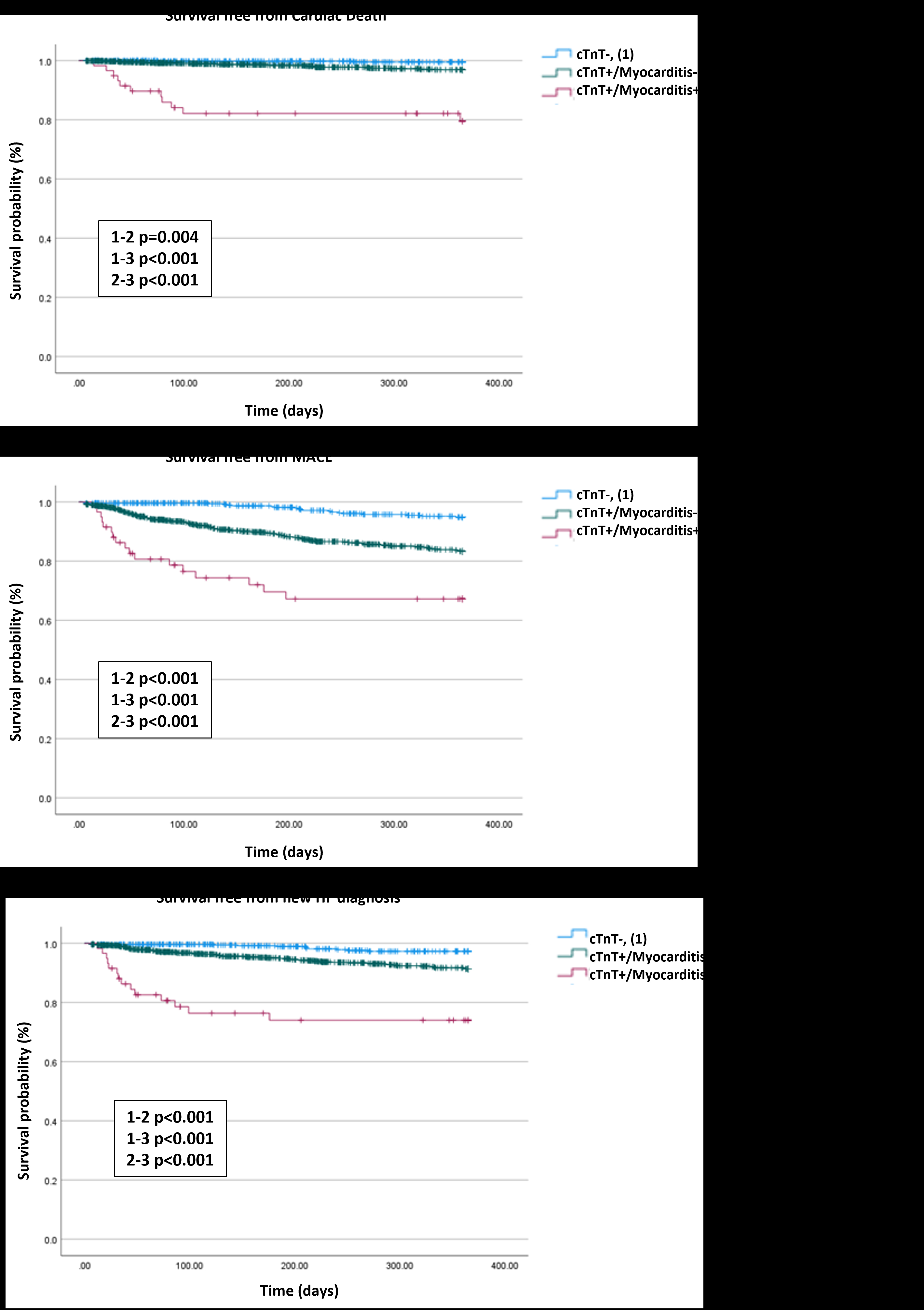
Methods: All patients treated with ICI at a tertiary institution from 2011 to 2022 were identified, and the charts of those with cTnT measurements were reviewed. In patients with cTnT elevation (cutoff of >14 ng/L), if the Bonaca criteria for myocarditis were met, these patients were labeled as cTnT+/myocarditis+, otherwise as cTnT+/myocarditis-. Patients with non-elevated cTnT values were labeled cTnT-. Medical records were reviewed for baseline characteristics and long-term outcomes, including cardiac death, new heart failure (HF) diagnosis, and MACE (myocardial infarction, TIA/stroke, new HF diagnosis). Kaplan-Meier curves were created to plot the comparison between the three groups.
Results: A total of 1669 cancer patients who received ICI therapy had post-ICI cTnT measurements. Mean age was 68.7±11.3, 58.3% were male, with follow-up at 1 year post ICI administration. Of these, 59 patients were cTnT+/myocarditis+, 1077 patients were cTnT+/myocarditis-, and 533 were cTnT-. Survival free of cardiac death, MACE and new HF diagnosis showed a graded response from worst in cTnT+/myocarditis+ patients and best in cTnT- patients; cTnT+/myocarditis- patients had a more favorable but still worse prognosis than cTnT- patients (Figure 1). A cTnT value of 95 ng/L was identified as the best cutoff for the diagnosis of ICI-related myocarditis (AUC 0.82, sensitivity 81.36%, specificity 81.62%). The optimal cTnT cutoff for cardiac death was 576 ng/L (0.70, sensitivity 72%, specificity of 61%) and for MACE 319 ng/L (AUC 0.61, sensitivity 70%, specificity of 52%).
Conclusion: In cancer patients receiving ICI therapy cTnT elevations indicate a higher risk of MACE, HF, and cardiac mortality even in patients without myocarditis. Although worst outcomes are seen in those meeting diagnostic criteria for myocarditis.
  • Pereyra, Milagros  ( Mayo Clinic , Scottsdale , Arizona , United States )
  • Kenyon, Courtney  ( Mayo Clinic Arizona , Phoenix , Arizona , United States )
  • Herrmann, Joerg  ( Mayo Clinic , Rochester , Minnesota , United States )
  • Arsanjani, Reza  ( Mayo Clinic Arizona , Phoenix , Arizona , United States )
  • Ayoub, Chadi  ( Mayo Clinic , Scottsdale , Arizona , United States )
  • Farina, Juan  ( Mayo Clinic , Phoenix , Arizona , United States )
  • Mahmoud, Ahmed K.  ( Mayo Clinic Arizona , Phoenix , Arizona , United States )
  • Scalia, Isabel  ( Mayo Clinic , Scottsdale , Arizona , United States )
  • Awad, Kamal  ( Mayo Clinic , Scottsdale , Arizona , United States )
  • Kanaan, Christopher  ( Mayo Clinic Arizona , Cleveland , Ohio , United States )
  • Tagle-cornell, Maria Cecilia  ( Mayo Clinic Arizona , Phoenix , Arizona , United States )
  • Novais, Barbara  ( Mayo Clinic , Scottsdale , Arizona , United States )
  • Koepke, Laura  ( Mayo Clinic , Phoenix , Arizona , United States )
  • Author Disclosures:
    Milagros Pereyra: DO NOT have relevant financial relationships | Courtney Kenyon: DO NOT have relevant financial relationships | Joerg Herrmann: No Answer | Reza Arsanjani: DO NOT have relevant financial relationships | Chadi Ayoub: DO NOT have relevant financial relationships | Juan Farina: DO NOT have relevant financial relationships | Ahmed K. Mahmoud: DO NOT have relevant financial relationships | Isabel Scalia: No Answer | Kamal Awad: DO NOT have relevant financial relationships | Christopher Kanaan: DO NOT have relevant financial relationships | Maria Cecilia Tagle-Cornell: DO NOT have relevant financial relationships | Barbara Novais: DO NOT have relevant financial relationships | Laura Koepke: DO NOT have relevant financial relationships
Meeting Info:

Scientific Sessions 2024

2024

Chicago, Illinois

Session Info:

From Molecules to Machine Learning: New Approaches to Understanding Inflammation in Cancer Treatment

Monday, 11/18/2024 , 12:50PM - 02:15PM

Moderated Digital Poster Session

More abstracts on this topic:
Combination of High-Sensitive Troponin I and NT-proBNP for Mortality Risk Stratification in Hospitalized COVID-19 Across Pandemic Waves: Pooled Analysis from COVID-MI Registry Cohort-1 and Cohort-2

Kitano Taiki, Taniguchi Tomohiko, Kim Kitae, Kobori Atsushi, Ehara Natsuhiko, Kinoshita Makoto, Doi Asako, Kihara Yasuki, Furukawa Yutaka, Toyota Toshiaki, Sano Madoka, Morimoto Takeshi, Azumi Yuta, Hayashi Hideyuki, Murai Ryosuke, Ooka Junichi, Sasaki Yasuhiro

Effect of Aficamten versus Metoprolol Monotherapy on Biomarkers in Obstructive Hypertrophic Cardiomyopathy: The MAPLE-HCM Trial

Lakdawala Neal, Burroughs Melissa, Claggett Brian, Costabel Juan, Correia Edileide, Dybro Anne, Elliott Perry, Kulac Ian, Lewis Gregory, Mann Amy, Nair Ajith, Garcia-pavia Pablo, Poulsen Steen, Reant Patricia, Schulze Christian, Solomon Scott, Wang Andrew, Sohn Regina, Berhane Indrias, Heitner Stephen, Jacoby Daniel, Kupfer Stuart, Maron Martin, Malik Fady, Wohltman Amy, Fifer Michael, Januzzi James, Masri Ahmad, Merkely Béla, Nassif Michael, Pena Pena Maria Luisa, Barriales-villa Roberto, Bilen Ozlem

More abstracts from these authors:
Association of Elevated Serum Lipoprotein(a) with New-Onset Atrial Fibrillation: A Retrospective Study of 108930 Patients

Kamel Moaz, Arsanjani Reza, Awad Kamal, Mahmoud Ahmed K., Farina Juan, Scalia Isabel, Pereyra Milagros, Abbas Mohammed Tiseer, Baba Nima, Ayoub Chadi

The prognostic value of criteria for diagnosis of Immune Checkpoint Inhibitor Related Myocarditis: a comparison of the Bonaca et.al. criteria and European Society of Cardiology (ESC)-International Cardio-Oncology Society (ICOS) guidelines

Pereyra Milagros, Arsanjani Reza, Ayoub Chadi, Farina Juan, Mahmoud Ahmed K., Scalia Isabel, Tagle-cornell Maria Cecilia, Kenyon Courtney, Abbas Mohammed Tiseer, Baba Nima, Herrmann Joerg

You have to be authorized to contact abstract author. Please, Login
Not Available