Logo

American Heart Association

  120
  0


Final ID: MDP1449

The prognostic value of criteria for diagnosis of Immune Checkpoint Inhibitor Related Myocarditis: a comparison of the Bonaca et.al. criteria and European Society of Cardiology (ESC)-International Cardio-Oncology Society (ICOS) guidelines

Abstract Body (Do not enter title and authors here): Background: Myocarditis is a dreaded complication of immune-checkpoint inhibitor (ICI) therapy but challenging to diagnose. There are no published data comparing the two leading diagnostic criteria for ICI myocarditis and their association with cardiovascular events.
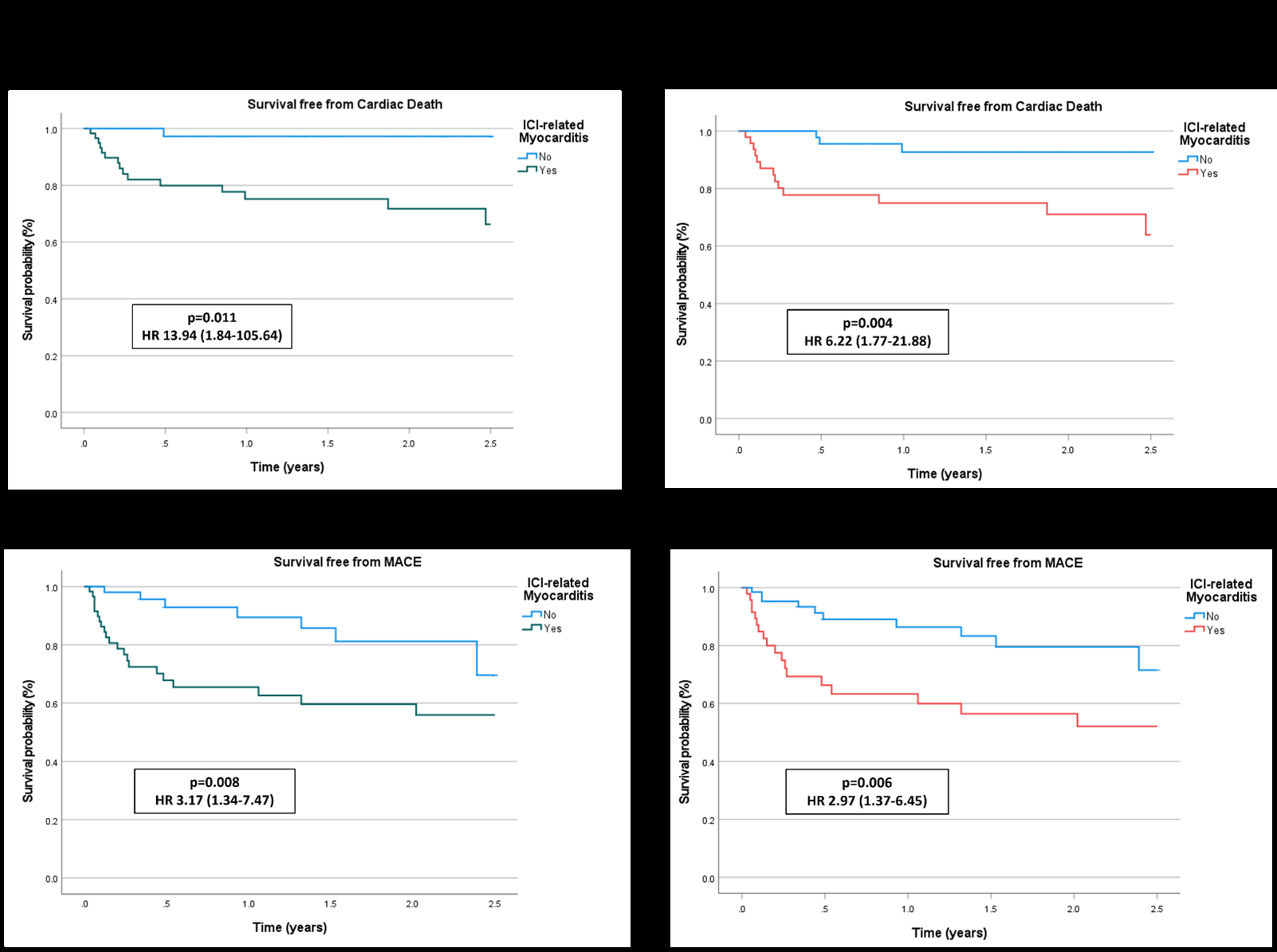
Methods: Patients treated with ICI and cardiac Troponin (cTnT) measurements thereafter at a tertiary institution from 2011 to 2022 were identified. Charts were reviewed for ICI-related myocarditis according to the Bonaca et. al criteria and the ESC-ICOS guideline criteria. A propensity matched control group was identified of patients treated with ICI but without developing myocarditis. Medical records were reviewed for baseline characteristics and long-term outcomes, including cardiac death, MACE (myocardial infarction, TIA/stroke, new heart failure diagnosis), and arrhythmias (V-tach, A-fib, complete heart block).
Results: A total of 59 patients were identified as having a diagnosis of ICI-related myocarditis per Bonaca criteria (16 having definite, 13 probable and 30 possible myocarditis), and 47 met the ESC-ICOS guideline criteria. Mean age was 73.1±10.2 years, 60.1% were male, median follow-up was 2.5 years. ICI-related myocarditis as diagnosed by both diagnostic criteria had prognostic value for cardiac death (HR 13.94, 95%CI 1.84-105.64, p=0.011 per Bonaca, HR 6.22, 95%CI 1.77-21.88, p=0.004 per ESC-ICOS), MACE, (HR 3.17, 95%CI 1.34-7.47, p=0.008 per Bonaca, HR 2.97, 95%CI 1.37-6.45, p=0.006 per ESC-ICOS), and arrhythmias (HR 1.93, 95%CI 1.10-3.38, p=0.022 per Bonaca, HR 2.09, 95%CI 1.21-3.60, p<0.001 per ESC-ICOS), (Figures 1 and 2). There was no significant difference for cardiac death (AUC 0.75 for Bonaca, AUC 0.74 for ESC, p=0.765) or MACE (AUC 0.66 for Bonaca, AUC 0.66 for ESC, p=0.916) when both criteria were compared with each other.
Conclusion: The ESC-ICOS criteria were more restrictive than the Bonaca criteria for the diagnosis of ICI-related myocarditis but similar in terms of prognostic value.
  • Pereyra, Milagros  ( Mayo Clinic , Scottsdale , Arizona , United States )
  • Arsanjani, Reza  ( Mayo Clinic Arizona , Phoenix , Arizona , United States )
  • Ayoub, Chadi  ( Mayo Clinic , Scottsdale , Arizona , United States )
  • Farina, Juan  ( Mayo Clinic , Phoenix , Arizona , United States )
  • Mahmoud, Ahmed K.  ( Mayo Clinic Arizona , Phoenix , Arizona , United States )
  • Scalia, Isabel  ( Mayo Clinic Arizona , Phoenix , Arizona , United States )
  • Tagle-cornell, Maria Cecilia  ( Mayo Clinic Arizona , Phoenix , Arizona , United States )
  • Kenyon, Courtney  ( Mayo Clinic Arizona , Phoenix , Arizona , United States )
  • Abbas, Mohammed Tiseer  ( Mayo Clinic Arizona , Phoenix , Arizona , United States )
  • Baba, Nima  ( Mayo Clinic Arizona , Phoenix , Arizona , United States )
  • Herrmann, Joerg  ( Mayo Clinic , Rochester , Minnesota , United States )
  • Author Disclosures:
    Milagros Pereyra: DO NOT have relevant financial relationships | Reza Arsanjani: DO NOT have relevant financial relationships | Chadi Ayoub: DO NOT have relevant financial relationships | Juan Farina: DO NOT have relevant financial relationships | Ahmed K. Mahmoud: DO NOT have relevant financial relationships | Isabel Scalia: No Answer | Maria Cecilia Tagle-Cornell: DO NOT have relevant financial relationships | Courtney Kenyon: DO NOT have relevant financial relationships | Mohammed Tiseer Abbas: DO NOT have relevant financial relationships | Nima Baba: No Answer | Joerg Herrmann: No Answer
Meeting Info:

Scientific Sessions 2024

2024

Chicago, Illinois

Session Info:

From Molecules to Machine Learning: New Approaches to Understanding Inflammation in Cancer Treatment

Monday, 11/18/2024 , 12:50PM - 02:15PM

Moderated Digital Poster Session

More abstracts on this topic:
Association Between Guideline-directed Medical Therapy and Reintervention Risk at 2 Years Following Peripheral Vascular Interventions

Callegari Santiago, Cleman Jacob, Rahman Mufti, Capuano Isabella, Smolderen Kim, Mena-hurtado Carlos, Romain Gaelle

ANALYSIS OF GUIDELINES IN VASCULAR NEUROLOGY AND STROKE PUBLISHED BETWEEN 2012 AND 2023.

Martins Hanna, Peixoto Vitória, De Souza Jorge Luiz, Gomes Gustavo, Andrade Joao, Sampaio Gisele, Lopes Renato, Santos Marcella, Ikeda Raissa, Sanchez Nascimento Paula, Romera Lopes Carlos Felipe, Mauricio Rebeca

More abstracts from these authors:
Association of Elevated Serum Lipoprotein(a) with New-Onset Atrial Fibrillation: A Retrospective Study of 108930 Patients

Kamel Moaz, Arsanjani Reza, Awad Kamal, Mahmoud Ahmed K., Farina Juan, Scalia Isabel, Pereyra Milagros, Abbas Mohammed Tiseer, Baba Nima, Ayoub Chadi

Troponin as a Predictor for Diagnosis and as a Prognostic Marker for Cardiovascular Outcomes in Immune Checkpoint Inhibitor (ICI) related Myocarditis.

Pereyra Milagros, Kenyon Courtney, Herrmann Joerg, Arsanjani Reza, Ayoub Chadi, Farina Juan, Mahmoud Ahmed K., Scalia Isabel, Awad Kamal, Kanaan Christopher, Tagle-cornell Maria Cecilia, Novais Barbara, Koepke Laura

You have to be authorized to contact abstract author. Please, Login
Not Available