Logo

American Heart Association

  143
  0


Final ID: 4143199

The Multi-omic, Multi-tissue Response to Acute Endurance and Resistance Exercise: Results from the Molecular Transducers of Physical Activity Consortium

Abstract Body (Do not enter title and authors here): Introduction: Exercise is critical to cardiovascular health. However, the underlying molecular mechanisms are not well described. The Molecular Transducers of Physical Activity Consortium (MoTrPAC) seeks to create a detailed molecular map of the response to exercise. Described here is the first human cohort of MoTrPAC, enrolled prior to the COVID-19 shutdown (N=175).

Methods: Healthy, sedentary adults were randomized to an 8-exercise circuit of resistance exercise (RE, N=73), a 40 minute submaximal endurance exercise bout (EE, N=65), or to non-exercising control (N=37). Blood, muscle, and adipose tissue were sampled at 4-7 time points relative to exercise, depending on tissue/modality. Samples were deep phenotyped across multiple omic domains including chromatin accessibility, transcriptomics, proteomics, phosphoproteomics, and metabolomics.

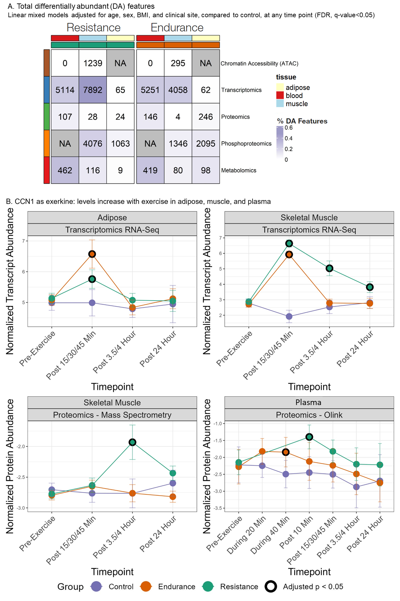
Results: The cohort was 72% female, with a mean±sd age of 41±15 years and BMI of 27.1±4.0 kg/m2. Exercise affected over 34,000 molecular features in ≥1 tissue/time point including a high proportion of transcriptomic and phosphoproteomic features (Figure A). Molecular signatures were compared between EE and RE: enrichment analysis of muscle phosphoproteomics showed a greater activation of MAP kinases in RE compared to EE at all time points. To identify plausible exerkines (secreted molecules signaling an acute exercise bout), differentially abundant features in any sampled tissue cells were compared to temporally-matched cognate protein levels in plasma, yielding 110 features. A known exerkine, CX3CL1 (fractalkine) was identified, in addition to novel candidates, such as cellular communication network factor 1 (CCN1), a secreted extracellular matrix protein linked to plasma triglyceride levels, which showed increased abundance early post exercise (Figure B). Network analysis across tissues and omes identified novel transcription factor “hubs” as candidate master regulators of exercise response.

Conclusions: These first MoTrPAC data represent an unparalleled multi-tissue, multi-omic, multi-time point, multi-modality map of acute exercise, enhancing our understanding of the molecular transducers that may link exercise and cardiovascular health.
  • Katz, Daniel  ( Stanford University , Mountain View , California , United States )
  • Jin, Christopher  ( Stanford University , Mountain View , California , United States )
  • Smith, Gregory  ( Mount Sinai School of Medicine , New York , New York , United States )
  • Clark, Natalie  ( Broad Institute , Boston , Massachusetts , United States )
  • Iyer, Gayatri  ( University of Michigan , Ann Arbor , Michigan , United States )
  • Keshishian, Hasmik  ( Broad Institute , Boston , Massachusetts , United States )
  • Hart, Patrick  ( Broad Institute , Boston , Massachusetts , United States )
  • Sanford, James  ( Pacific Northwest National Laboratory , Richland , Washington , United States )
  • Zhang, Zidong  ( Mount Sinai School of Medicine , New York , New York , United States )
  • Ge, Yongchao  ( Mount Sinai School of Medicine , New York , New York , United States )
  • Robbins, Jeremy  ( Beth Israel Deaconess Medical Center , Boston , Massachusetts , United States )
  • Barber, Jacob  ( Beth Israel Deaconess Medical Center , Boston , Massachusetts , United States )
  • Montalvo, Samuel  ( Stanford University , Mountain View , California , United States )
  • Jimenez-morales, David  ( Stanford University , Mountain View , California , United States )
  • Lindholm, Malene  ( Stanford University , Stanford , California , United States )
  • Zhen, Jimmy  ( Stanford University , Mountain View , California , United States )
  • Jaeger, Byron  ( Wake Forest School of Medicine , Winston Salem , North Carolina , United States )
  • Sparks, Lauren  ( AdventHealth Research Institute , Orlando , Florida , United States )
  • Sagendorf, Tyler  ( Pacific Northwest National Laboratory , Richland , Washington , United States )
  • Many, Gina  ( Pacific Northwest National Laboratory , Richland , Washington , United States )
  • Vetr, Nikolai  ( Stanford University , Mountain View , California , United States )
  • Raja, Archana  ( Stanford University , Mountain View , California , United States )
  • Amar, David  ( Stanford University , Mountain View , California , United States )
  • Hsu, Fang-chi  ( Wake Forest School of Medicine , Winston-Salem , North Carolina , United States )
  • Miller, M  ( Wake Forest School of Medicine , Winston Salem , North Carolina , United States )
  • Xia, Ashley  ( National Institutes of Health , Bethesda , Maryland , United States )
  • Fleg, Jerome  ( NHLBI. , Bethesda , Maryland , United States )
  • Tracy, Russell  ( UNIVERSITY VERMONT , Colchester , Vermont , United States )
  • Gerszten, Robert  ( Beth Israel Deaconess Medical Center , Boston , Massachusetts , United States )
  • Adkins, Joshua  ( Pacific Northwest National Laboratory , Richland , Washington , United States )
  • Walsh, Martin  ( Mount Sinai School of Medicine , New York , New York , United States )
  • Sealfon, Stuart  ( Mount Sinai School of Medicine , New York , New York , United States )
  • Goodpaster, Bret  ( AdventHealth Research Institute , Orlando , Florida , United States )
  • Trappe, Scott  ( Ball State University , Muncie , Indiana , United States )
  • Burant, Charles  ( University of Michigan , Ann Arbor , Michigan , United States )
  • Carr, Steven  ( Broad Institute , Boston , Massachusetts , United States )
  • Smith, Kevin  ( Stanford University , Mountain View , California , United States )
  • Snyder, Michael  ( Stanford University , Mountain View , California , United States )
  • Montgomery, Stephen  ( Stanford University , Mountain View , California , United States )
  • Ashley, Euan  ( Stanford University , Mountain View , California , United States )
  • Wheeler, Matthew  ( Stanford University , Mountain View , California , United States )
  • ., Motrpac Study Group  ( MoTrPAC , Bethesda , Maryland , United States )
  • Author Disclosures:
    Daniel Katz: DO NOT have relevant financial relationships | Yongchao Ge: DO NOT have relevant financial relationships | Jeremy Robbins: DO NOT have relevant financial relationships | Jacob Barber: DO NOT have relevant financial relationships | Samuel Montalvo: No Answer | David Jimenez-Morales: DO NOT have relevant financial relationships | Malene Lindholm: DO NOT have relevant financial relationships | Jimmy Zhen: DO NOT have relevant financial relationships | Byron Jaeger: No Answer | Lauren Sparks: No Answer | Tyler Sagendorf: No Answer | Christopher Jin: DO NOT have relevant financial relationships | Gina Many: DO NOT have relevant financial relationships | Nikolai Vetr: No Answer | Archana Raja: No Answer | David Amar: No Answer | Fang-Chi Hsu: DO NOT have relevant financial relationships | M Miller: DO NOT have relevant financial relationships | Ashley Xia: No Answer | Jerome Fleg: DO NOT have relevant financial relationships | Russell Tracy: No Answer | Robert Gerszten: DO NOT have relevant financial relationships | Gregory Smith: DO NOT have relevant financial relationships | Joshua Adkins: No Answer | Martin Walsh: No Answer | Stuart Sealfon: No Answer | Bret Goodpaster: No Answer | Scott Trappe: No Answer | Charles Burant: No Answer | Steven Carr: DO NOT have relevant financial relationships | Kevin Smith: No Answer | Michael Snyder: No Answer | Stephen Montgomery: No Answer | Natalie Clark: DO NOT have relevant financial relationships | Euan Ashley: No Answer | Matthew Wheeler: DO have relevant financial relationships ; Research Funding (PI or named investigator):BMS:Active (exists now) ; Research Funding (PI or named investigator):Astra Zeneca:Active (exists now) ; Consultant:Leal Tx:Past (completed) ; Research Funding (PI or named investigator):Salubris Bio:Active (exists now) ; Research Funding (PI or named investigator):Cytokinetics:Active (exists now) | MoTrPAC Study Group .: No Answer | Gayatri Iyer: No Answer | Hasmik Keshishian: No Answer | Patrick Hart: DO NOT have relevant financial relationships | James Sanford: DO NOT have relevant financial relationships | Zidong Zhang: No Answer
Meeting Info:

Scientific Sessions 2024

2024

Chicago, Illinois

Session Info:

The Future of Prevention in Cardiometabolic Disease

Saturday, 11/16/2024 , 09:45AM - 11:00AM

Abstract Oral Session

More abstracts on this topic:
Association between Elevated Lipoprotein(a) and Cardiovascular Events and Mortality in a Nationally Representative Sample of US Medicare, Medicaid, and Commercial Enrollees with ASCVD

Hu Xingdi, Lozama Tony, Petrilla Allison, Agatep Barnabie, Mcmorrow Donna, Mohammadi Iman, Reisman Lonny, Wong Nathan

Anti-inflammatory effects of colchicine after myocardial infarction

Muroke Valtteri, Diaz Rafael, Maggioni Aldo Pietro, Pinto Fausto, Kouz Simon, Berry Colin, Lopez-sendon Jose, Koenig Wolfgang, Cossette Marieve, Guertin Marie-claude, Rheaume Eric, Rhainds David, Tardif Jean-claude, Brodeur Mathieu, Marchand Claude, Charpentier Daniel, Pedneault-gagnon Valerie, Rivest Patricia, Latour Frederic, Roubille Francois

More abstracts from these authors:
Integrated Multi-omics Analysis of Skeletal Muscle in Response to a Bout of Resistance or Endurance Exercise

Iyer Gayatri, Nie Jia, Espinoza Sara, Trappe Scott, Sparks Lauren, Clayton Zachary, Zhang Zidong, Sealfon Stuart, Coen Paul, Katz Daniel, Goodpaster Bret, Smith Gregory, Keshishian Hasmik, Burant Charles, Many Gina, Clark Natalie, Jin Christopher, Montalvo Hernandez Samuel, Thalacker-mercer Anna, Houmard Joseph, Bergman Bryan

Blood Biochemical Responses to Acute Endurance and Resistance Exercise: Findings from the Molecular Transducers of Physical Activity Consortium (MoTrPAC)

Robbins Jeremy, Goodpaster Bret, Clish Clary, Keshishian Hasmik, Trappe Scott, Walsh Martin, Burant Charles, Gerszten Robert, Katz Daniel, Rao Prashant, Many Gina, Montalvo Hernandez Samuel, Smith Gregory, Jin Christopher, Tiwari Gaurav, Iyer Gayatri

You have to be authorized to contact abstract author. Please, Login
Not Available