Logo

American Heart Association

  278
  0


Final ID: 4140939

Platelet-to-Lymphocyte Ratio (PLR) as a Predictor of In-Hospital Mortality in Patients with First-Ever Acute Ischemic Stroke: A cross-sectional study from Ecuador.

Abstract Body (Do not enter title and authors here): Background: In-hospital mortality from acute ischemic stroke (AIS) remains a major concern in developing countries where access to thrombectomy or fibrinolytics is limited. Platelet-to-lymphocyte ratio (PLR) has been suggested as an inflammatory marker associated with poor outcomes in AIS. Therefore, we aim to evaluate the value of PLR as a predictor of in-hospital mortality in first-ever AIS.

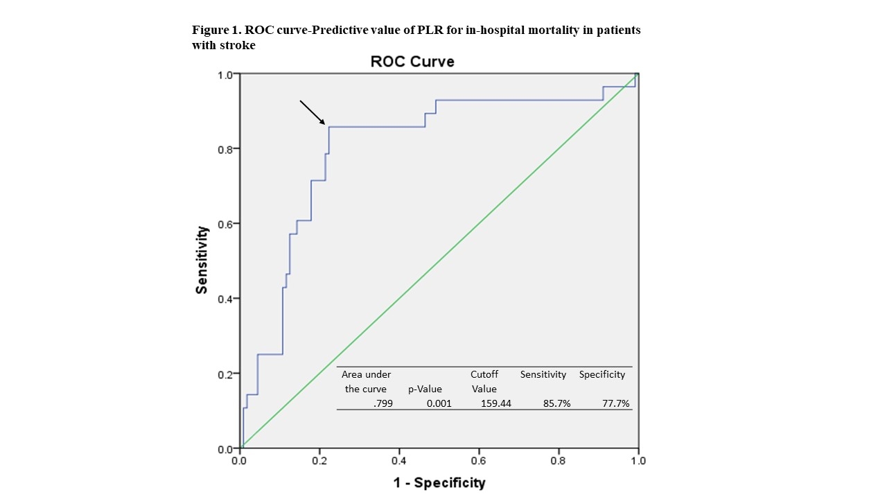
Methods: We evaluated the records of 293 patients with a first-ever AIS from a third-level hospital in Ecuador from 2016-2022. Immunocompromised patients, those who had active infections, autoimmune diseases, or malignancies were excluded. The PLR was calculated by dividing platelet by lymphocyte count. Participants were classified into low or high PLR groups based on the median. Univariate and multivariate logistic analyses were used to determine predictors of in-hospital mortality. A ROC curve analysis was performed to identify the optimal cutoff value of PLR for predicting the outcome.

Results: 140 patients were eligible for the study. Most patients were male (67.1%) and the median age was 63 years. The median length of hospitalization was 11 days (6-19), and 35% of patients required ICU admission. In-hospital mortality was 20%. Deceased patients were significantly older and had higher rates of ICU admission and NIHSS than survivors. A high PLR was associated with an increased risk of in-hospital mortality (OR =8.30; p= 0.001) in the univariate model. After adjusting for potential confounders, only high PLR (OR =6.02; p= 0.022), ICU admission, and NIHSS remained statistically significant. The ROC curve showed that the optimal cutoff value of PLR for predicting in-hospital mortality was 159.44, with an AUC of 0.799 (Sensitivity: 85.7%, Specificity:77.7%).

Conclusion: Our results suggest that PLR is an independent predictor for in-hospital mortality in patients with a first-ever AIS. This biomarker could be useful in developing countries where stroke mortality is still high.
  • Mautong, Hans  ( John H. Stroger Jr. Hospital of Cook County , Chicago , Illinois , United States )
  • Martínez, Emilio  ( Universidad Espíritu Santo , Samborondon , Guayas , Ecuador )
  • Banga, Akshat  ( Mount Auburn Hospital, Harvard Medical School , Cambridge , Massachusetts , United States )
  • Noboa, Carlos  ( Hospital Clínica Kennedy , Samborondon , Guayas , Ecuador )
  • Zevallos, Juan  ( Universidad Espíritu Santo , Samborondon , Guayas , Ecuador )
  • Author Disclosures:
    Hans Mautong: DO NOT have relevant financial relationships | Emilio Martínez: DO NOT have relevant financial relationships | Akshat Banga: DO NOT have relevant financial relationships | Carlos Noboa: No Answer | Juan Zevallos: No Answer
Meeting Info:

Scientific Sessions 2024

2024

Chicago, Illinois

Session Info:

Innovative Markers and Therapeutic Strategies in Cardiovascular and Neurological Health

Saturday, 11/16/2024 , 09:45AM - 10:45AM

Abstract Oral Session

More abstracts on this topic:
A Meta-analysis of Folic Acid Supplementation Efficacy in Cardiovascular Diseases Prevention.

Calderon Martinez Ernesto, Camacho Davila Karen Fabiola, Pinto-colmenarez Rafael, Arruarana Victor, Arvelaez Pascucci Joanne, Castillo Jaqueline Livier, Alonso Ramirez Angie Carolina, Ghattas Patricia, Giron De Marza Maria, Sosaya Zuñiga Briggitte Solange, Martinez Lilan Jonathan David, Paredes Romero Enrique

A Meta-Analysis on the Effect of Chronic Total Occlusion of Coronary Arteries on Cardiovascular Outcomes in Patients Undergoing Transcatheter Aortic Valve Replacement

Goyal Aman, Tariq Muhammad Daoud, Zahra Rubab, Jain Hritvik, Khan Rozi, Mahalwar Gauranga

More abstracts from these authors:
Complete Versus Incomplete Revascularization Strategy in Myocardial Infarction and Multivessel Coronary Artery Disease in ≥65-Year-Old Patients: A Meta-Analysis.

Banga Akshat, Rathore Sawai Singh, Mautong Hans, Sah Biki, Gurav Jaiprakash, Talaei Fahimeh, Farrukh Ameer, Bansal Vikas

King of Hearts: Effectiveness of a Card-Based Educational Tool for Electrocardiogram Teaching and Long-Term Retention in Medical Students

Briones-zamora Killen H., Quiroz Farfan Absalon, Caputi Zuniga Angelo, Banga Akshat, Philip Anil, Saeed Muhammad Subhan, Zevallos Juan, Grunauer Michelle, Briones-claudett Killen H., Pena-tamayo Maria De Los A., Mautong Hans, Burgos-villamil Cesar, Pazmino Meza Johana Valeria, Briones-zamora Anahi D., Andramuno Zeballos Catalina, Benites Solis Jaime, Briones Marquez Diana

You have to be authorized to contact abstract author. Please, Login
Not Available