Logo

American Heart Association

  139
  0


Final ID: MDP163

Global burden, regional inequality, and age discrepancy of developmental intellectual disorder attributable to congenital heart anomalies, 1990 - 2021, a systematic analysis for the Global Burden of Disease Study 2021

Abstract Body (Do not enter title and authors here): Abstract
Introduction
The success of cardiac surgical techniques and progress of interventional therapies prolonged the life expectancy patients with congenital heart anomalies (CHA). Reduction of mortality and extension of lifespan exacerbated the burden of non-fatal comorbidities. Developmental intellectual disability (DID) is the most substantial non-fatal comorbidities of pediatric patients with CHA. However, no epidemiological study describe the global burden of DID attributable to CHA (DID-CHA).
Research Question
What was the global burden, regional inequality, and age specific discrepancy of DID-CHA?
Goal
The aim of this study is to address the gap of lacking epidemiological data of global burden, regional inequality, and age discrepancy of DID-CHA.
Methods
This was a secondary analysis study by utilizing impairment data of GBD study 2021. Data was collected from the website of Institute for Health Metrics and Evaluation (IHME, query tool: https://ghdx.healthdata.org/gbd-2021). The prevalence, disability adjusted life years (DALYs), and their calculayted annual percentage changes (EAPC) across global, both sexes, seven regions, five SDI regions, and 204 countries and territories from 1990 to 2021 were investigated.
Results
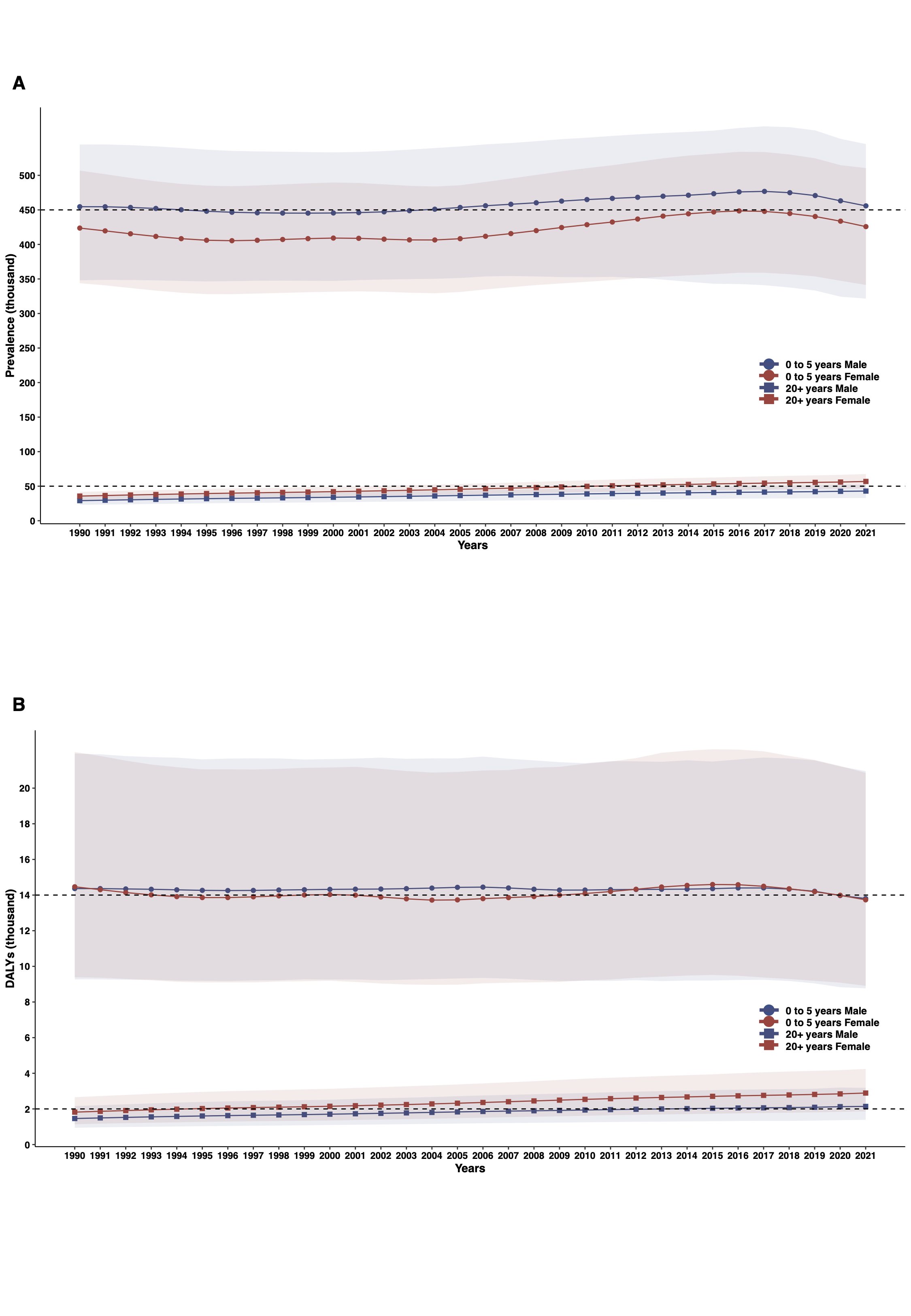
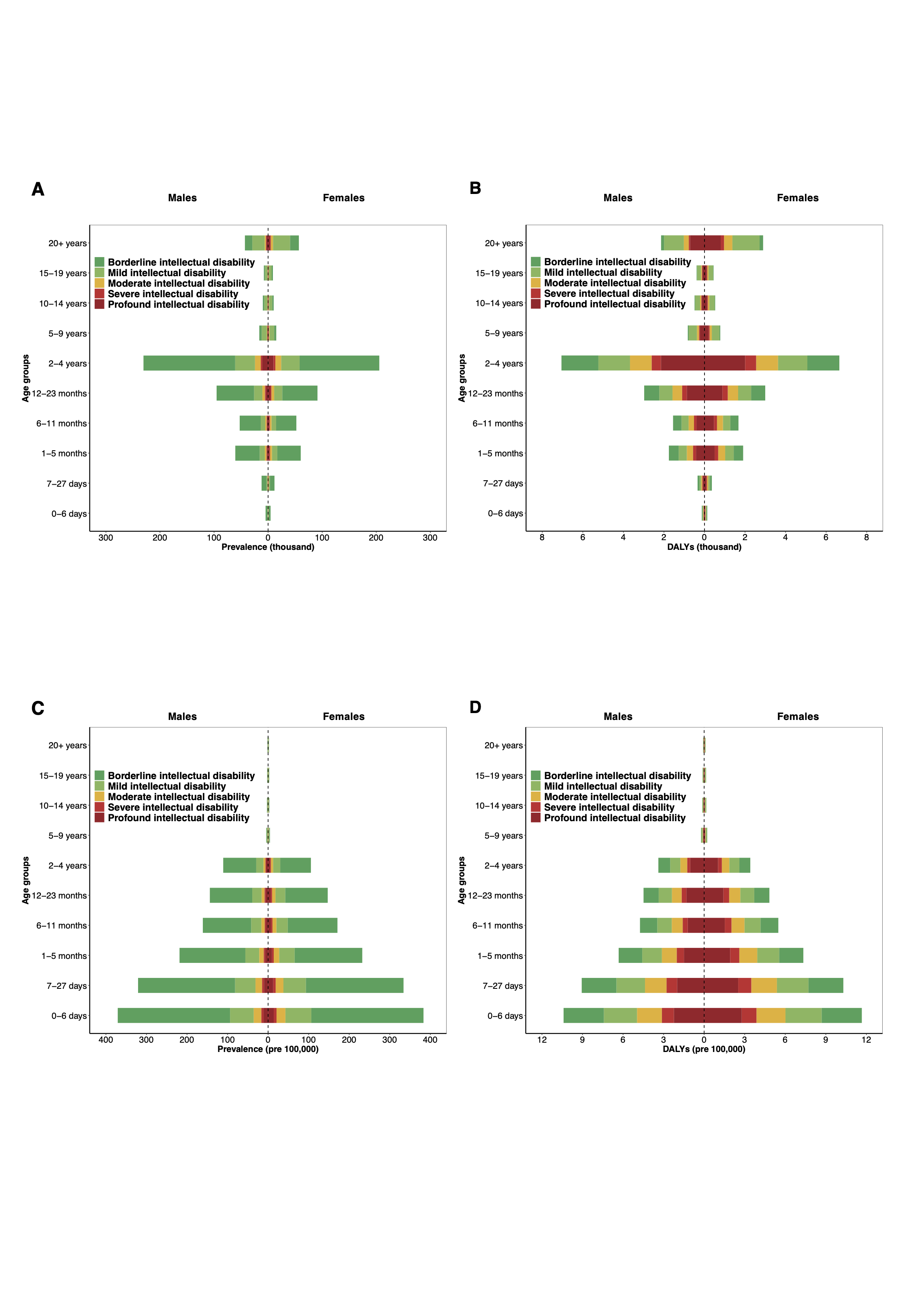
In 2021, the global number of DID-CHA cases was 1.05 million (95% UI: 0.83 to 1.24 million) with an age-standardized prevalence rates of 15.71 per 100,000 (95% UI: 12.36 to 18.58). From 1990 to 2021, the EAPC of prevalence was -0.15 (95% CI: -0.16 to -0.13). Regional inequality of disease burden of DID-CHA remained prevalent worldwide. Pediatric population, especially neonates and infants, had a more substatial disease burden of DID-CHA compared to adults aged over 20 years.
Conclusions
This is the first study that thoroughly describe the global prevalence, regional inequality, and age discrepancy of the burden on DID-CHA, by utilizing the public data of GBD 2021. DID-CHD is believed to be a progressive issues for the whole-life management of CHD. Future efforts on resource allocation for neurodevelopmental disability in population with CHD should be comparable with the expenditure in reducing CHD mortality. Persistent regional socioeconomic disparities will definitely move to impact the discrepant burden of DID-CHA. Increasing socioeconomic resources aimed at improving DID-CHA outcomes should prioritize in neonate and infants with CHA, as they represent the most critically affected age groups.
  • Lin, Xinjie  ( Fuwai Hospital , Beijing , China )
  • He, Qiyu  ( Fuwai hospital , Beijing , China )
  • Ma, Kai  ( Fuwai Hospital , Beijing , China )
  • Author Disclosures:
    Xinjie Lin: DO NOT have relevant financial relationships | Qiyu He: DO NOT have relevant financial relationships | Kai Ma: DO NOT have relevant financial relationships
Meeting Info:

Scientific Sessions 2024

2024

Chicago, Illinois

Session Info:

Epidemiology and Population Health

Saturday, 11/16/2024 , 09:30AM - 10:55AM

Moderated Digital Poster Session

More abstracts on this topic:
A CRISPR-Activation CROP-seq Screen Identifies HMGN1 as a Dosage-Sensitive Regulator of Heart Defects in Down Syndrome

Ranade Sanjeev, Mital Rahul, Boileau Ryan, Koback Frances, Padmanabhan Arun, Merriman Alexander, Wallace Langley, Nguyen Annie, Poulis Nikolaus, Gifford Casey, Pollard Katherine, Li Feiya, Srivastava Deepak, Whalen Sean, Angelo Pelonero, Ye Lin, Huang Yu, Brand Abigail, Nishino Tomohiro, Costa Mauro

A peptoid derivative of alpha-calcitonin gene related peptide improves cardiac function in pressure-overload heart failure mice

Kumar Ambrish, Deloach Sarah, Dipette Donald, Potts Jay

You have to be authorized to contact abstract author. Please, Login
Not Available