Logo

American Heart Association

  151
  0


Final ID: Sa3156

Impact of Digital Health Tools on Patients Undergoing Cardiac Rehabilitation

Abstract Body (Do not enter title and authors here): Digital health apps are novel tools that have the potential to enhance patient care. However, their benefits in the context of cardiac rehabilitation (CR) are not well studied. This study aims to examine an app’s effectiveness in enhancing exercise performance. The app (KardioPAC) connects to both Bluetooth and cellular-enabled BP devices, which allows providers to monitor and communicate with patients remotely.
We aim to assess the app’s impact on functional capacity (metabolic equivalents /METs) compared to standard of care (SOC) CR.
This study took place at UC San Diego. Participants were recruited from CR, and randomized in a 1:1 ratio to the two study arms (KardioPAC+CR vs SOC CR). The intervention group was requested to take BP at home and upload via KardioPAC. They additionally received a BP reminder daily and got an intra-app call from the care team at least every 1-2 weeks and when needed. All patients, including SOC arm, were asked to complete a pre- and post-CR visit. In each visit, several measurements (including blood pressure, METs, and quality of life questionnaires) were recorded. The study was approved by the UCSD IRB. All statistical analyses were performed on Python 3.11.8.
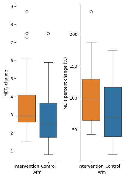
From Jan 2023 to Mar 2024, 43 patients were enrolled. Table 1 shows their demographics. The mean METs changes are 3.68 vs 2.97 (Intervention vs Control, p=0.052). The mean METs percent changes are 104.39% vs 81.22% (Intervention vs Control, p=0.042), as plotted in Figure 1.
Our study found that digital tools significantly enhance CR patients’ performance, even with a small sample size. Furthermore, we found positive signals of digital tools in reducing patients’ blood pressure and improving their quality of life. Patients’ behavior could be changed by incorporating digital tools into daily practice. Our study warrants large-scale studies to investigate the underlying mechanisms and verify the broader benefits of digital tools, including physical, mental, and social improvements.
  • Tsai, Ming-tse  ( Kura Care Inc , San Diego , California , United States )
  • Dzotsi, Marissa  ( UCSD, Division of Cardiovascular Medicine , San Diego , California , United States )
  • Pazargadi, Aryana  ( UCSD, Division of Cardiovascular Medicine , San Diego , California , United States )
  • Chin, Tiffany  ( Kura Care Inc , San Diego , California , United States )
  • Bramwell, Jacob  ( Kura Care Inc , San Diego , California , United States )
  • Chang, Hao-chun  ( Kura Care Inc , San Diego , California , United States )
  • Taub, Pam  ( UCSD, Division of Cardiovascular Medicine , San Diego , California , United States )
  • Author Disclosures:
    Ming-Tse Tsai: DO have relevant financial relationships ; Employee:KuraCare LLC:Active (exists now) | Marissa Dzotsi: DO NOT have relevant financial relationships | Aryana Pazargadi: No Answer | Tiffany Chin: DO have relevant financial relationships ; Employee:KURA Care Inc:Active (exists now) | Jacob Bramwell: DO have relevant financial relationships ; Employee:Kura Care Inc:Active (exists now) | Hao-Chun Chang: DO have relevant financial relationships ; Employee:KURA Care Inc.:Active (exists now) | Pam Taub: DO have relevant financial relationships ; Consultant:Amgen:Active (exists now) ; Consultant:Boehringer Ingelheim/Lilly:Active (exists now) ; Consultant:Sanofi:Active (exists now) ; Consultant:Medtronic:Active (exists now) ; Consultant:Edwards:Active (exists now) ; Consultant:Esperion:Active (exists now) ; Consultant:Novo Nordisk:Active (exists now) ; Consultant:Novartis:Active (exists now)
Meeting Info:

Scientific Sessions 2024

2024

Chicago, Illinois

Session Info:

Cardiac Rehab Remix

Saturday, 11/16/2024 , 02:00PM - 03:00PM

Abstract Poster Session

More abstracts on this topic:
Abnormal Oxygen Pulse Trajectory Differentiates Anatomic Complexity and Functional Classification in Adults with Congenital Heart Disease

Campbell Matthew, Lefebvre Margaret, Li Pengyang, Padgett Hannah, Tchoukina Inna, Canada Justin, Shah Sangeeta, Rouse Sierra, Reyes Oscar, Shin Yongdeok, Bakken Brad, Coe Alexa, Hallam Jessica, Kapa Meghana

Cardiovascular Outcomes of Oral Semaglutide in High Risk Type 2 Diabetes Patients: A Systematic Review and Meta-Analysis

Akhter Haji Abdul Rehman, Malik Hammad Khalid, Sivasubramanian Dhiran, Hamza Muhammad, Khalid Maliha, Khan Muhammad Hakim, Abbas Muhammad Usama, Rana Muhammad Fakhir Iftikhar

More abstracts from these authors:
Time-Restricted Eating Improves Heart Rate, Symptoms, and Quality of Life Metrics in Patients With Postural Orthostatic Tachycardia Syndrome

Dzotsi Marissa, Strohm Allyssa, Manoogian Emily, Panda Satchidananda, Doherty Taylor, Taub Pam

How many and which leads in ECG do you need to estimate a patient’s ejection fraction? A Deep Learning Approach.

Ku Tienhsiung, Chang Hao-chun, Chiu Chih-wei, Shih Dann-pyng, Li Tzong-shiun, Tsai Ming-tse

You have to be authorized to contact abstract author. Please, Login
Not Available