Logo

American Heart Association

  153
  0


Final ID: Su2035

Novel Deep Learning Aligned Strain Techniques in Repaired Tetralogy of Fallot

Abstract Body (Do not enter title and authors here): Introduction
Multicenter studies show that demographic and CMR-based volumetrics and strain predict death, ventricular tachycardia and fibrillation (DVTF) in repaired tetralogy of Fallot (rTOF). We developed a novel deep learning method to calculate radial (RS) and circumferential strain (CS) from end-diastole (ED) to other key frames: mid systole (MS), end-systole (ES), peak flow (PF) in diastole, and mid-diastole (MD) (called ED2K), as well as from each key frame to the next (called K2K strain), for each left ventricle (LV) segment.
Hypothesis
We hypothesized that: H1) ED-ES strain; H2) septal strain; and H3) diastolic strain would be additionally predictive of DVTF as compared to a traditional model.
Approach
704 patients combined from the German Competence Network and INDICATOR cohorts had ED2K and K2K strain values calculated using CMR short axis stack.
We first created a 4-variable “traditional” logistic regression model including age at CMR, RVEF%, LVEF% and RVESVi. We then separately added ED2K and K2K parameters to assess increased ability to discriminate DVTF, measured by the c-statistic.
Results
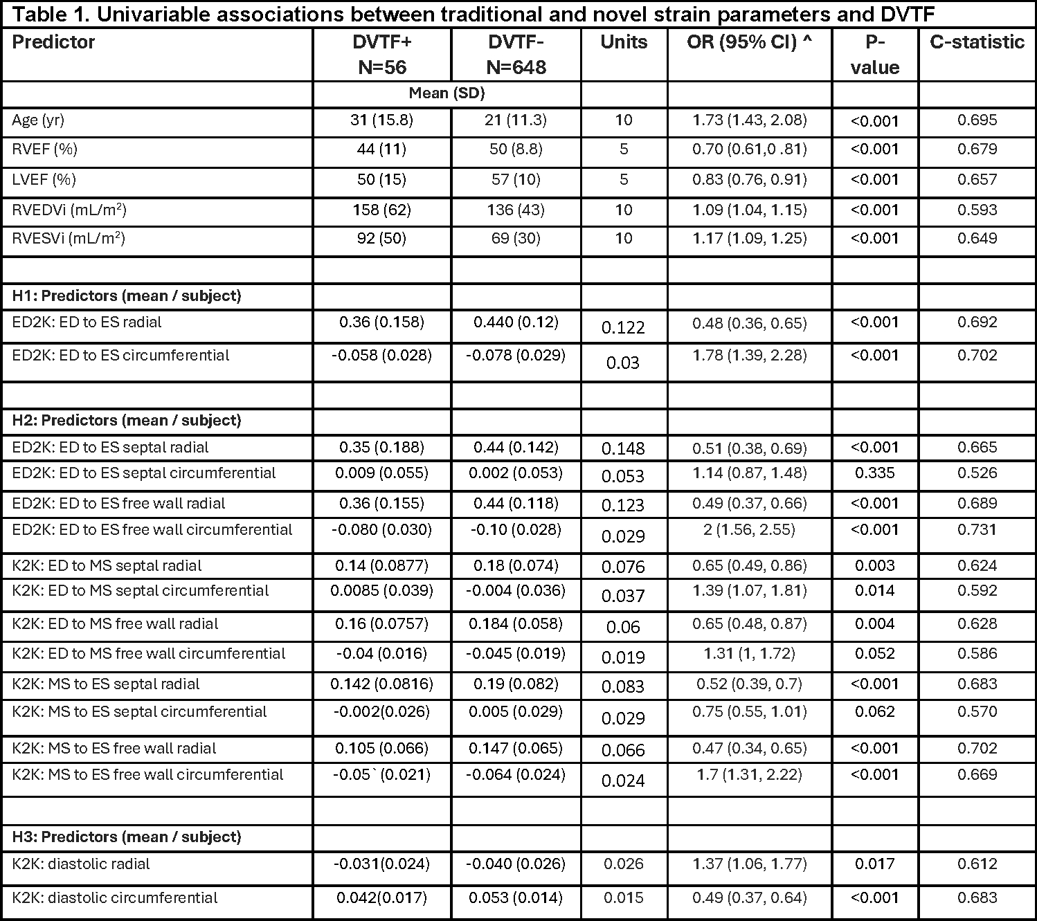
In univariate analyses, H1: ED to ES RS and CS; H2: multiple systolic septal and non-septal variables; and H3: overall diastolic RS and CS were significantly associated with DVTF, with c-statistics between 0.65 and 0.73 (n=56, Table 1). When added to the traditional model, H1: ED to ES CS; and H2: septal and non-septal CS slightly improved model performance (Table 2). Model calibration was adequate for all models.
Conclusion
Our key-frame specific strain recapitulates the CS prediction of adverse events in rTOF, and slightly improves prediction in a multiparameter model. Future work includes external validation.
  • Koehler, Sven  ( University Clinic Heidelberg , Heidelberg , Germany )
  • Deng, Lifu  ( Cleveland Clinic , Cleveland , Ohio , United States )
  • Shah, Ansh  ( Case Western Reserve University , Cleveland , Ohio , United States )
  • Mascha, Edward  ( Cleveland Clinic , Cleveland , Ohio , United States )
  • Li, Shuyi  ( Cleveland Clinic , Cleveland , Ohio , United States )
  • Nguyen, Christopher  ( Cleveland Clinic , Cleveland , Ohio , United States )
  • Karamlou, Tara  ( Cleveland Clinic , Cleveland , Ohio , United States )
  • Geva, Tal  ( Boston Childrens Hospital , Newton , Massachusetts , United States )
  • Valente, Anne  ( Boston Children's Hospital , Boston , Massachusetts , United States )
  • Lee, Ji Hae  ( Stanford University Medical School , Palo Alto , California , United States )
  • Latus, Heiner  ( Centre for Congenital Heart Disease , Stuttgart , Germany )
  • Pickardt, Thomas  ( Centre for Congenital Heart Disease , Stuttgart , Germany )
  • Greil, F. Gerald  ( UT Southwestern , Dallas , Texas , United States )
  • Beerbaum, Philipp  ( HANNOVER MEDICAL SCHOOL , Hannover , Germany )
  • Sarikouch, Samir  ( HANNOVER MEDICAL SCHOOL , Hannover , Germany )
  • Hussain, Mohammad  ( UT Southwestern , Dallas , Texas , United States )
  • Engelhardt, Sandy  ( University Hospital Heidelberg , Heidelberg , Germany )
  • Tandon, Animesh  ( Cleveland Clinic Childrens , Cleveland , Ohio , United States )
  • Author Disclosures:
    Sven Koehler: DO NOT have relevant financial relationships | Ji Hae Lee: DO NOT have relevant financial relationships | Heiner Latus: No Answer | Thomas Pickardt: DO NOT have relevant financial relationships | F. Gerald Greil: No Answer | Philipp Beerbaum: No Answer | Samir Sarikouch: DO NOT have relevant financial relationships | Mohammad Hussain: No Answer | Sandy Engelhardt: DO have relevant financial relationships ; Speaker:Boehringer Ingelheim:Past (completed) | Animesh Tandon: DO have relevant financial relationships ; Consultant:Medtronic:Active (exists now) ; Individual Stocks/Stock Options:Google:Active (exists now) ; Individual Stocks/Stock Options:Moderna:Active (exists now) ; Individual Stocks/Stock Options:Vertex Pharmaceuticals:Active (exists now) ; Individual Stocks/Stock Options:Novo Nordisk:Active (exists now) ; Individual Stocks/Stock Options:Eli Lilly:Active (exists now) ; Individual Stocks/Stock Options:Viking Therapeutics:Active (exists now) ; Individual Stocks/Stock Options:NVIDIA:Active (exists now) ; Individual Stocks/Stock Options:Amazon:Active (exists now) ; Individual Stocks/Stock Options:Realize Medical:Active (exists now) ; Consultant:Siemens:Past (completed) ; Consultant:Synergen Health Tech:Active (exists now) ; Consultant:Gabi Smartcare:Active (exists now) | Lifu Deng: No Answer | Ansh Shah: DO NOT have relevant financial relationships | Edward Mascha: No Answer | Shuyi Li: DO NOT have relevant financial relationships | Christopher Nguyen: DO NOT have relevant financial relationships | Tara Karamlou: DO NOT have relevant financial relationships | Tal Geva: DO NOT have relevant financial relationships | Anne Valente: DO have relevant financial relationships ; Advisor:Elsevier:Active (exists now) ; Speaker:Medscape:Past (completed)
Meeting Info:

Scientific Sessions 2024

2024

Chicago, Illinois

Session Info:

Pediatric Cardiovascular Imaging

Sunday, 11/17/2024 , 03:15PM - 04:15PM

Abstract Poster Session

More abstracts on this topic:
Echocardiographic Variables Associated with Postnatal Compromise and Mortality in Prenatally Diagnosed Tetralogy of Fallot with Absent Pulmonary Valve, a Fetal Heart Society Collaborative Study

Udine Michelle, Carroll Sheila, Hogan Whitnee, Levasseur Stephanie, Howley Lisa, Chiu Joanne, Hornberger Lisa, Moon-grady Anita, Cohen Jennifer, Arya Bhawna, Peyvandi Shabnam, Barber John, Morris Shaine, Chelliah Anjali, Donofrio Mary, Divanovic Allison, Kovalchin John, Lindblade Chris, Pruetz Jay, Schidlow David, Yeh Jay, Zoeller Bridget

Dexmedetomidine for junctional ectopic tachycardia in patients undergoing tetralogy of Fallot repair: a meta-analysis of randomized controlled trials

Barbosa Lucas, Barbosa Edna, Iwashita Lages Thais, Queiroz Ivo, Defante Maria, Romeiro Pedro, Antunes Vanio, Bulhões Elísio Bulhões, X. Mendes Beatriz, Silva Catarina, Guida Camila

More abstracts from these authors:
It’s time to re-think HLHS care: current outcomes and inequities

Karamlou Tara, Hill Garick

Pulmonary Valve Replacement-Related Change in Biventricular Global Function Index in Repaired Tetralogy Of Fallot

Sterling Shanique, Sperotto Francesca, Lu Minmin, Sleeper Lynn, O'leary Edward, Valente Anne, Geva Tal

You have to be authorized to contact abstract author. Please, Login
Not Available