Logo

American Heart Association

  134
  0


Final ID: Th0086

Improvement of Cardiovascular Prognostic Value of Endothelial Function Test (EndoPAT) by Repeated Measurements

Abstract Body: Background: EndoPAT, a peripheral arterial tonometry device (Itamar Medical, Caesarea, Israel) is effective in predicting the prognosis of cardiovascular disease, and a reactive hyperemia index (RHI) of less than 1.67 is considered to indicate abnormal microvascular function. However, when different values are measured each time, interpretation can be difficult.
Objective: We sought to determine whether two repeated measurements improve predictive performance compared with a single measurement.
Methods: We enrolled 170 patients with diabetes or hypertension who participated in the FMD-J B study (a multicenter study of vascular testing in Japan) from our hospital in 2010-2011. After enrollment, EndoPAT-RHI was measured twice, 1.5 years later (first time) and 3 years later (second time). Patients were divided into two groups: patients with RHI < 1.67 at both time points and the rest (including patients who were measured only once). 44% of patients had RHI < 1.67 at the first measurement, 43% at the second measurement, and 35 (20%) patients had RHI < 1.67 at both measurements (Figure 1). We could follow-up health status of the 165 patients until November 2024.
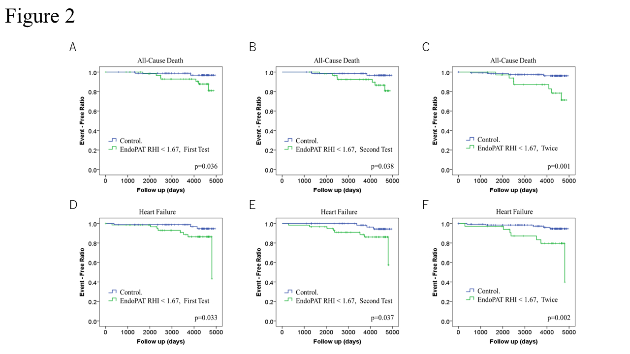
Results: Over a 9.9 ± 2.5-year period, 11 all-cause mortality (7%), 5 cardiac deaths (3%), 21 MACEs (12%), and 12 hospitalizations due to heart failure (7%) occurred. Log-rank analysis of single measurements for each occasion showed differences in all-cause mortality (Figure 2A,2B) and heart failure (Figure 2D,2E), but the prognostic value was not significant in COX analysis. However, patients with RHI < 1.67 twice had a significantly increased risk of all-cause mortality [HR 5.377 (CI 1.484-19.483), p = 0.010] (Figure 2C) and heart failure [HR 4.200 (CI 1.262-13.972), p = 0.019] (Figure 2F) in COX multivariate analysis adjusted for age, sex, lifestyle-related diseases, and renal function. Furthermore, patients with an RHI of 1.67 or higher for both measures had less MACE [HR 0.363 (0.149-0.884), p = 0.026] (Figure 3), even after excluding the effects of other factors.
Conclusion: EndoPAT-RHI may have increased cardiovascular prognostic value with repeated measurements.
  • Masaki, Nobuyuki  ( NATIONAL DEFENSE MEDICAL COLLEGE , Tokorozawa , Japan )
  • Higashimura, Yuko  ( NATIONAL DEFENSE MEDICAL COLLEGE , Tokorozawa , Japan )
  • Takase, Bonpei  ( NATIONAL DEFENSE MEDICAL COLLEGE , Tokorozawa , Japan )
  • Author Disclosures:
    Nobuyuki Masaki: DO NOT have relevant financial relationships | Yuko Higashimura: No Answer | Bonpei Takase: No Answer
Meeting Info:
Session Info:

15. Poster Session 3 & Reception

Thursday, 04/24/2025 , 05:00PM - 07:00PM

Poster

More abstracts on this topic:
A Machine Learning-Derived Socio-Environmental Risk Score More Accurately Predicts Cardiovascular Events and Better Addresses Health Inequities than Social Deprivation Index

Chen Zhuo, Nasir Khurram, Al-kindi Sadeer, Rajagopalan Sanjay, Ponnana Sai Rahul, Dazard Jean-eudes, Zhang Tong, Dong Weichuan, Okyere Robert, Sirasapalli Santosh, Deo Salil, Khraishah Haitham

A Two-year Longitudinal Investigation of Lipoprotein Particle Profile as Cardiometabolic Risk Biomarkers in Family Caregivers of Adult Patients with Cancer

Lee Lena, Shamburek Robert, Son Elisa H, Wallen Gwenyth, Yang Li, Tuason Ralph, Gerrard Chantal, Tsai Thomas, Kim Youngmee

More abstracts from these authors:
Artificial Oxygen Carrier (HbV) Ameliorates Prognosis through Persistently Improving Arrhythmogenicity, LV dysfunction, Systemic Organ Damages in Hemorrhagic Shock during Pneumonectomy

Takase Bonpei, Higashimura Yuko, Masaki Nobuyuki, Adachi Takeshi, Kinoshita Manabu, Sakai Hiromi, Nagata Masayoshi

Resuscitation and Antiarrhythmic Effects of Artificial Oxygen Carrier of HbV in Perioperative Severe Hemorrhagic Shock during Total Pneumonectomy Model

Takase Bonpei, Higashimura Yuko, Masaki Nobuyuki, Kinoshita Manabu, Adachi Takeshi, Nagata Masayoshi, Sakai Hiromi

You have to be authorized to contact abstract author. Please, Login
Not Available