Logo

American Heart Association

  127
  0


Final ID: Su705

Predictive Model and Factors for Out-of-Hospital Cardiac Arrest in Geriatric Patients with insomnia: A Longitudinal Study

Abstract Body: Background: Previous studies have shown that geriatric insomnia can impact the quality of life and lead to various health risks and comorbidities, which may further result in out-of-hospital cardiac arrest (OHCA). Therefore, assessing the risk of OHCA in elderly patients with insomnia is crucial.
Hypothesis: We hypothesized that a predictive model incorporating demographic, clinical, and treatment adherence factors can effectively estimate the risk of OHCA among geriatric patients with insomnia.
Aim: This study aimed to develop and validate a predictive model for OHCA in geriatric patients with insomnia using a large-scale population-based analysis.
Method: A retrospective cohort study was conducted using data from Taiwan's Health and Welfare Data Science Center spanning from 2011 to 2020. The study included elderly patients diagnosed with insomnia who received medication. Predictors of OHCA, such as age, sex, comorbidities, medication adherence, and psychotherapy, were analyzed using multivariable logistic regression. Model performance was assessed using the area under the receiver operating characteristic curve (AUROC) with both internal and temporal validation.
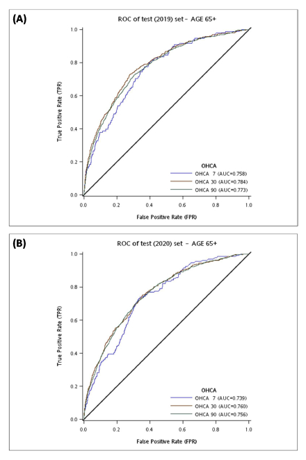
Results: Among 438,147 eligible elderly patients with insomnia, 7,666 experienced OHCA. Using data from 2011 to 2018 for model development, the AUROC for predicting OHCA within 7 days, 30 days, and 90 days ranged from 0.749 to 0.762 in the training set and 0.768 to 0.784 in the validation set. Key predictors included older age, male sex, prior medical resource use, hemodialysis, pre-existing comorbidities, medication possession ratio, medication changes, and recent psychotherapy (Figure 1). The model was also tested in 2019 and 2020 dataset (began of the COVID-19 in Taiwan), respectively, demonstrating consistent predictive performance (Figure 2). Specifically, the 7-day model in 2019 showed a sensitivity of 0.776, specificity of 0.632, and accuracy of 0.632, with a positive likelihood ratio (PLR) of 2.11, and negative likelihood ratio (NLR) of 0.36. In 2020, it achieved a sensitivity of 0.739, specificity of 0.661, accuracy of 0.661, PLR of 2.18, NLR of 0.40.
Conclusion: The study developed a reliable predictive model for OHCA in geriatric patients with insomnia, highlighting significant predictors such as age, comorbidities, medication adherence, and recent psychotherapy. This model can aid clinicians in identifying high-risk patients and improving preventative care strategies.
  • Chen, Chi-hsin  ( National Taiwan University Hospital Hsin-Chu Branch , Hsinchu , Taiwan )
  • Sung, Chih-wei  ( National Taiwan University Hospital Hsin-Chu Branch , Hsinchu , Taiwan )
  • Chih, Yun-ting  ( National Taiwan University Hospital Hsin-Chu Branch , Hsinchu , Taiwan )
  • Huang, Edward Pei-chuan  ( National Taiwan University Hospital Hsin-Chu Branch , Hsinchu , Taiwan )
  • Author Disclosures:
    Chi-Hsin Chen: DO NOT have relevant financial relationships | Chih-Wei Sung: DO NOT have relevant financial relationships | Yun-Ting Chih: DO NOT have relevant financial relationships | Edward Pei-Chuan Huang: No Answer
Meeting Info:

Resuscitation Science Symposium

2024

Chicago, Illinois

Session Info:

ReSS24 Poster Session 207: Disparities 2

Sunday, 11/17/2024 , 01:15PM - 02:45PM

ReSS24 Poster Session and Reception

More abstracts on this topic:
Age-Related Differences in Aortic Valve Calcium Progression and the Risk for Aortic Stenosis: Multi-Ethnic Study of Atherosclerosis

Marrero Natalie, Thanassoulis George, Rotter Jerome, Blaha Michael, Whelton Seamus, Jha Kunal, Grant Jelani, Razavi Alexander, Budoff Matthew, Shah Sanjiv, Blumenthal Roger, Post Wendy, Shaw Leslee

An Integrated Germline and Somatic Genomic Model Improves Risk Prediction for Coronary Artery Disease

Kim Min Seo, Zhang Rufan, Liu Zhaoqi, A Yunga, Ellinor Patrick, Natarajan Pradeep, Wang Minxian, Fahed Akl, Yang Xiong, Uddin Md Mesbah, Nakao Tetsushi, Cho So Mi Jemma, Koyama Satoshi, Zhu Xinyu, Xu Tingfeng, Reeskamp Laurens

More abstracts from these authors:
You have to be authorized to contact abstract author. Please, Login
Not Available