Logo

American Heart Association

  266
  0


Final ID: TMP75

Reduced thrombus immunoreactivity is transcriptionally associated with greater NIHSS severity at presentation of ischemic stroke: Analysis from the INSIGHT registry

Abstract Body: Funding: The INSIGHT Registry is funded by Penumbra.

Introduction
Thrombi have shown to modify and be modified by their microenvironment throughout the pathogenesis of ischemic stroke. The molecular mechanisms by which this occurs and how it corresponds to symptomatic presentation is unknown. Here, we identify a transcriptomic signature in thrombi associated with increased NIHSS severity at presentation, suggesting a mechanistic role for immune clearance in clinical severity of ischemic stroke.

Methods
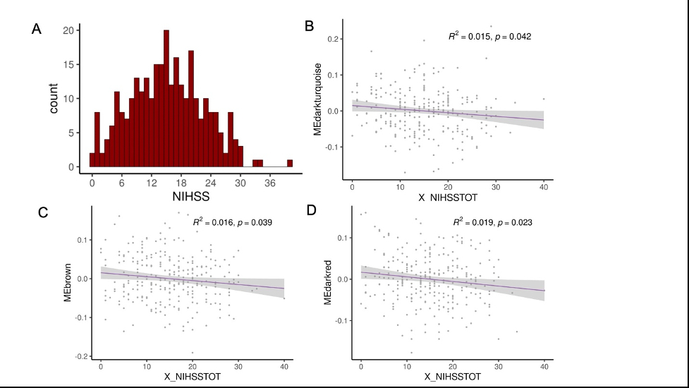
The INSIGHT registry is a prospective, multicenter, multi-omic registry focused on elucidating the molecular underpinnings of stroke from analysis of clot and interarterial blood. RNA sequencing of 10,990 genes from 292 thrombi from patients undergoing thrombectomy was aligned, normalized, and residualized using Rsubread, edgeR, sva, and limma/voom. Signed co-expression modules were constructed using WGCNA, and each module eigengene (a measure of a module’s principal component) was correlated with NIHSS at presentation using Pearson’s correlation. Networks were visualized and analyzed in cytoscape. Hub genes were determined by number of undirected edges. Network enrichments were conducted using Gene Ontology biological processes and cellular components.

Results
The mean NIHSS in this cohort was 15.14± 7.45. 3 co-expression modules out of 26 total modules detected in the data significantly inversely correlated with NIHSS at presentation. These networks corresponded to downregulation of neuronal activation (p=0.042), interferon signaling (p=0.039), and T cell activation (p=0.023), respectively. Major hub genes in each module included KCNAB2, a potassium channel associated with epilepsy and implicated in susceptibility to poor stroke outcomes in aged mice brains, SRSF11, associated with cognitive decline, PNISR, associated with interferon signaling, and ZAP70, associated with T-cell differentiation.

Conclusion
The association of immune downregulation with increased NIHSS severity suggests that robust immune clearance may mitigate poor outcomes in ischemic stroke, and that thrombi-mediated modification of the local immune environment may exacerbate symptomatic presentation. Conversely, the association of major hub genes with known cognitive decline suggests that thrombi are modified by the neurovascular unit and neurons of surrounding tissues and post-thrombectomy sequencing may provide insight into the underlying health of the surrounding parenchyma.
  • Seah, Carina  ( Mount Sinai , New York , New York , United States )
  • Devarajan, Alex  ( Icahn School of Medicine at Mount Sinai , New York , New York , United States )
  • Vicari, James  ( Icahn School of Medicine , New York , New York , United States )
  • Dabney, Alan  ( TEXAS A M HEALTH SCIENCE CENTER , Bryan , Texas , United States )
  • Baltan, Selva  ( OHSU , Portland , Oregon , United States )
  • Sohrabji, Farida  ( TEXAS A M HEALTH SCIENCE CENTER , Bryan , Texas , United States )
  • Pennypacker, Keith  ( University of Kentucky , Lexington , Kentucky , United States )
  • Nanda, Ashish  ( SSM NEUROSCIENCE ST CLARE HOSPITAL , Fenton , Missouri , United States )
  • Woodward, Britton  ( Vista Radiology , Knoxville , Tennessee , United States )
  • Rivet, Dennis  ( VCU Department of Neurosurgery , Richmond , Virginia , United States )
  • Fraser, Justin  ( UNIVERSITY OF KENTUCKY , Lexington , Kentucky , United States )
  • Kellner, Christopher  ( Mount Sinai Health System , New York , New York , United States )
  • Author Disclosures:
    Carina Seah: DO NOT have relevant financial relationships | Dennis Rivet: DO have relevant financial relationships ; Researcher:NC Medical Research:Active (exists now) ; Independent Contractor:EBSCO:Active (exists now) ; Research Funding (PI or named investigator):NIH:Active (exists now) ; Individual Stocks/Stock Options:Aurenar:Active (exists now) | Justin Fraser: DO have relevant financial relationships ; Consultant:Medtronic:Active (exists now) ; Ownership Interest:Cerelux:Active (exists now) ; Ownership Interest:LETSGETPROOF:Active (exists now) ; Ownership Interest:Fawkes Biotechnology:Active (exists now) ; Other (please indicate in the box next to the company name):Imperative Care - DSMB:Active (exists now) ; Consultant:Stream Biomedical:Active (exists now) ; Consultant:Penumbra:Active (exists now) | Christopher Kellner: DO NOT have relevant financial relationships | Alex Devarajan: DO NOT have relevant financial relationships | James Vicari: DO NOT have relevant financial relationships | Alan Dabney: DO NOT have relevant financial relationships | Selva Baltan: DO NOT have relevant financial relationships | Farida Sohrabji: DO NOT have relevant financial relationships | Keith Pennypacker: DO have relevant financial relationships ; Ownership Interest:Celelux:Active (exists now) | Ashish Nanda: No Answer | Britton Woodward: No Answer
Meeting Info:
Session Info:

Neuroendovascular Moderated Poster Tour II

Thursday, 02/06/2025 , 06:00PM - 07:00PM

Moderated Poster Abstract Session

More abstracts on this topic:
A distinct clot transcriptomic signature is associated with atrial fibrillation-derived ischemic stroke in the INSIGHT Registry

Seah Carina, Rivet Dennis, Fraser Justin, Kellner Christopher, Devarajan Alex, Vicari James, Dabney Alan, Baltan Selva, Sohrabji Farida, Pennypacker Keith, Nanda Ashish, Woodward Britton

Accuracy of Rule-based Natural Language Processing Models for Identification of Pulmonary Embolism

Rashedi Sina, Jimenez David, Monreal Manuel, Secemsky Eric, Klok Erik, Hunsaker Andetta, Aghayev Ayaz, Muriel Alfonso, Hussain Mohamad, Appah-sampong Abena, Aneja Sanjay, Krishnathasan Darsiya, Mojibian Hamid, Goldhaber Samuel, Wang Liqin, Zhou Li, Krumholz Harlan, Piazza Gregory, Bikdeli Behnood, Khairani Candrika, Bejjani Antoine, Lo Ying-chih, Zarghami Mehrdad, Mahajan Shiwani, Caraballo Cesar, Jimenez Ceja Jose Victor

More abstracts from these authors:
In silico drug repurposing identifies transcriptional mitigators of blood-induced neurotoxicity in an organoid model of intracerebral hemorrhage

Seah Carina, Schuldt Braxton, Vicari James, Lebakken Connie, Richards William, Greuel Kaylie, Parham Kailyn, Kellner Christopher

A distinct clot transcriptomic signature is associated with atrial fibrillation-derived ischemic stroke in the INSIGHT Registry

Seah Carina, Rivet Dennis, Fraser Justin, Kellner Christopher, Devarajan Alex, Vicari James, Dabney Alan, Baltan Selva, Sohrabji Farida, Pennypacker Keith, Nanda Ashish, Woodward Britton

You have to be authorized to contact abstract author. Please, Login
Not Available

Readers' Comments

We encourage you to enter the discussion by posting your comments and questions below.

Presenters will be notified of your post so that they can respond as appropriate.

This discussion platform is provided to foster engagement, and simulate conversation and knowledge sharing.

 

You have to be authorized to post a comment. Please, Login or Signup.


   Rate this abstract  (Maximum characters: 500)