Logo

American Heart Association

  163
  0


Final ID: WMP73

Evolution of Ischemic Stroke Etiology Diagnosis During Stroke Hospitalization

Abstract Body: Background: During the course of an ischemic stroke hospitalization, the initial diagnosis of the causative mechanism or etiology of stroke may evolve. We aimed to quantify the degree to which patients with initial etiologic diagnosis are reclassified during the hospitalization and frequencies of reclassified diagnoses.
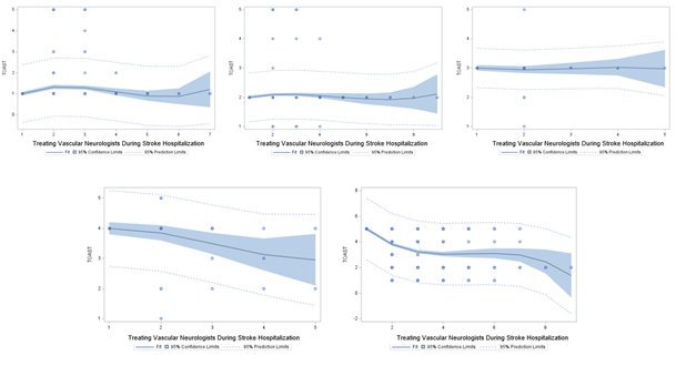
Methods: This retrospective cohort consisted of all patients from a single center recorded in the institutional Get-with-the-guidelines Stroke registry from September 2015-December 2020 with a stroke etiology entered who were evaluated by at least 1 vascular neurologist. The stroke etiologies documented were mapped to one of the 5 TOAST classifications: 1-large artery atherosclerosis, 2-cardioembolism, 3-small vessel disease, 4-other determined etiology, 5-undetermined etiology. Spline models and a Sankey diagram were employed to visualize the trends in etiology diagnosis reclassification by subsequent vascular neurologists during the hospitalization.
Results: A total of 709 patients were included in the analytic cohort. Initial TOAST classifications were the following: TOAST 1 (n= 132, 19%), TOAST 2 (n= 168, 24%), TOAST 3 (n=88, 12%), TOAST 4 (n=50, 7%), TOAST 5 (n= 271, 38%). There were 132 (19%) patients who were reclassified with a different etiologic diagnosis by the time of hospital discharge. The number of patients who were reclassified from their initial etiologic diagnosis were: TOAST 1 (n=11), 2 (n=9), 3 (n=4), 4 (n=4), and 5 (n=104). The spline plots in the Fig. 1 demonstrate that an increasing number of impressions by subsequent vascular neurologists was associated with increasing likelihood of reclassification for subtypes 4 and 5. For each subtype, the most common reclassifications were TOAST 1 to 5 (54.5%), 2 to 1 (33.3%), 3 to 5 (50.0%), 4 to 5 (50.0%), and 5 to 2 (58.7%). Distributions of initial and final etiologic diagnoses among patients who had diagnostic reclassification are displayed in the Sankey diagram in Fig. 2.
Discussion: Identifying stroke etiology is important for ensuring that patients receive targeted secondary stroke prevention. Strokes with initial subtypes of 4 and 5 were more likely to receive a different diagnosis with an increasing number of impressions by subsequent vascular neurologists. The treatment profiles of the initial and reclassified subtypes are distinct, highlighting the value of inpatient diagnostic evaluation, particularly cardiac testing, during an acute stroke hospitalization.
  • Ellsworth, Patrick  ( Yale School of Medicine , Hamden , Connecticut , United States )
  • Lee, Ho-joon  ( Yale School of Medicine , New Haven , Connecticut , United States )
  • Sansing, Lauren  ( Yale School of Medicine , New Haven , Connecticut , United States )
  • Schwamm, Lee  ( Yale School of Medicine , New Haven , Connecticut , United States )
  • Thottempudi, Neeharika  ( Yale School of Medicine , Hamden , Connecticut , United States )
  • Sharma, Richa  ( Yale School of Medicine , Hamden , Connecticut , United States )
  • Author Disclosures:
    Patrick Ellsworth: DO NOT have relevant financial relationships | Ho-Joon Lee: DO have relevant financial relationships ; Consultant:Guidepoint:Active (exists now) | Lauren Sansing: DO NOT have relevant financial relationships | Lee Schwamm: DO have relevant financial relationships ; Consultant:genentech:Active (exists now) ; Advisor:Penumbra:Past (completed) ; Consultant:medtronic:Active (exists now) | Neeharika Thottempudi: No Answer | Richa Sharma: DO NOT have relevant financial relationships
Meeting Info:
Session Info:

In-Hospital Care; from the ICU to Discharge & Advanced Practice Providers and Therapists Moderated Poster Tour

Wednesday, 02/05/2025 , 06:00PM - 07:00PM

Moderated Poster Abstract Session

More abstracts on this topic:
Genome-wide analysis of heart failure yields insights into disease heterogeneity and enables prognostic prediction in the Japanese population

Enzan Nobuyuki, Liu Xiaoxi, Ozaki Kouichi, Onouchi Yoshihiro, Matsuda Koichi, Momozawa Yukihide, Aburatani Hiroyuki, Kamatani Yoichiro, Yamaguchi Takanori, Akazawa Hiroshi, Node Koichi, Miyazawa Kazuo, Ellinor Patrick, Levin Michael, Damrauer Scott, Voight Benjamin, Joseph Jacob, Sun Yan, Terao Chikashi, Ninomiya Toshiharu, Komuro Issei, Ito Kaoru, Koyama Satoshi, Kurosawa Ryo, Ieki Hirotaka, Takechi Fumie, Fukuyama Masashi, Osako Ryosuke, Tomizuka Kohei

A Multimodality Education Model Improves Healthcare Professionals' Competency in Managing Cardiovascular Risk Factors in Type 2 Diabetes: A Mixed-Methods Study

Madhusudhan Divya, Pressley Alyssa, El Sayed Nuha, Okeke Oge, Bradley Sarah, Blanco Caroline, Perla Esteban, Jennings Ruby, Picou Kylie, Mcweeny Patrick, Crabill Carrianne

More abstracts from these authors:
A machine learning approach to classifying ischemic stroke etiology using variables available in the Get-with-the-Guidelines Stroke Registry

Lee Ho-joon, Schwamm Lee, Turner Ashby, De Havenon Adam, Kamel Hooman, Brandt Cynthia, Zhao Hongyu, Krumholz Harlan, Sharma Richa

Integrated Genomic and Proteomic Drug Target Discovery for Ischemic Stroke

Huo Shufan, Clocchiatti-tuozzo Santiago, Magid-bernstein Jessica, Sharma Richa, Rangaraju Srikant, Sansing Lauren, Sheth Kevin, Rivier Cyprien, Falcone Guido

You have to be authorized to contact abstract author. Please, Login
Not Available

Readers' Comments

We encourage you to enter the discussion by posting your comments and questions below.

Presenters will be notified of your post so that they can respond as appropriate.

This discussion platform is provided to foster engagement, and simulate conversation and knowledge sharing.

 

You have to be authorized to post a comment. Please, Login or Signup.


   Rate this abstract  (Maximum characters: 500)