Logo

American Heart Association

  168
  0


Final ID: TP276

Impact of Educational Attainment and Social Support on Stroke Recurrence in a South Texas Community

Abstract Body: Background: Lower educational attainment (EA) and smaller social network are each associated with a greater risk for incident stroke. However, the relationship between EA, social support (SS), and recurrent stroke is less clear.
Objectives: To evaluate the association of EA and SS with stroke recurrence. We also assessed whether SS modifies the effect of EA on recurrence. We hypothesize that EA and SS each protect against recurrence and additively interact to further decrease risk.
Methods: Within the Brain Attack Surveillance in Corpus Christi (BASIC) project, we identified patients, age >45, with first-ever ischemic or hemorrhagic strokes from 2008-2019. Structured interviews were conducted to collect levels of EA (<, =, or > high school) and SS. Pre-stroke SS was measured by a 7-item scale (0-14, higher=more support). Multiple imputation was used for missing data on exposures and covariates. Complete case analysis was additionally performed. Kaplan-Meier (KM) curves for recurrence-free survival were plotted by EA level and SS quartile. Multivariate Cox models assessed the association of SS and EA with recurrence after adjustment for multiple covariates.
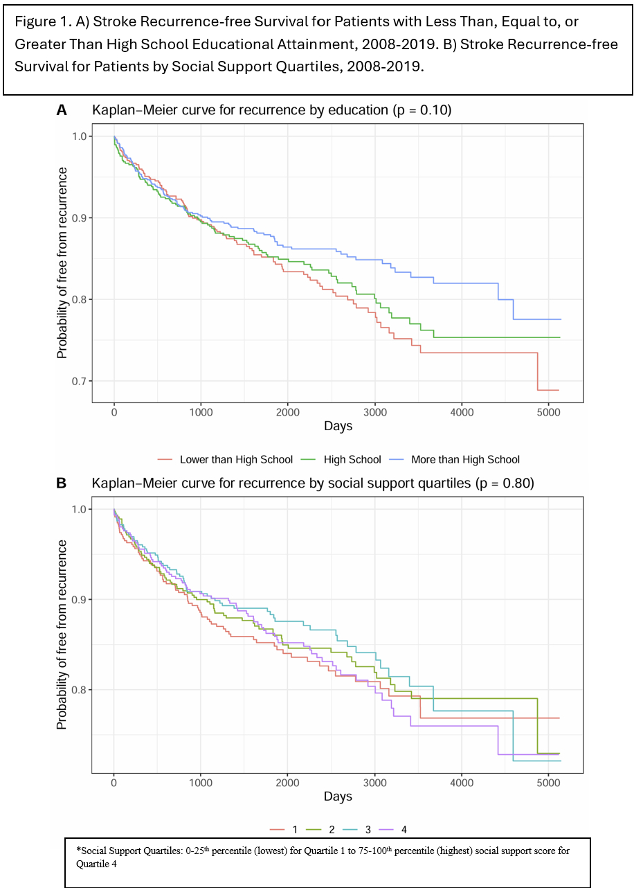
Results: Of 1,959 patients with incident stroke between 2008-2019, 305 had a recurrent stroke. In unadjusted KM analyses, higher EA was non-significantly associated with lower recurrence (p=0.10; Figure 1A), and SS was not associated with recurrence (Figure 1B). In both unadjusted and fully adjusted Cox models, neither EA, SS, nor the interaction of SS on EA were significantly associated with recurrence. In fully adjusted models, Mexican-American ethnicity, diabetes, and high cholesterol were associated with higher recurrence. Female sex (HR 0.66, 95% CI 0.50-0.87) and marriage (HR 0.74, 95% CI 0.56-0.97) were associated with lower recurrence risk. Complete case analysis yielded no substantive difference in results.
Conclusions: Though we observed a trend toward reduced recurrence risk among patients with higher EA in unadjusted KM analysis, no association emerged between EA or SS after adjustment for covariates. We did observe associations between both female sex and marriage with reduced recurrence risk.
  • Lee, Sung Jin  ( UMich Medical School , Ann Arbor , Michigan , United States )
  • Morgenstern, Lewis  ( UNIV OF MICHIGAN , Ann Arbor , Michigan , United States )
  • Stamm, Brian  ( University of Michigan , Ann Arbor , Michigan , United States )
  • Royan, Regina  ( UNIV OF MICHIGAN , Ann Arbor , Michigan , United States )
  • Chhabra, Nikita  ( UNIV OF MICHIGAN , Ann Arbor , Michigan , United States )
  • Zhang, Guanghao  ( University of Michigan , Ann Arbor , Michigan , United States )
  • Kwicklis, Madeline  ( University of Michigan , Ann Arbor , Michigan , United States )
  • Case, Erin  ( University of Michigan , Ann Arbor , Michigan , United States )
  • Lisabeth, Lynda  ( UNIV OF MICHIGAN , Ann Arbor , Michigan , United States )
  • Becker, Christopher  ( University of Michigan , Ann Arbor , Michigan , United States )
  • Author Disclosures:
    Sung Jin Lee: DO NOT have relevant financial relationships | Christopher Becker: DO NOT have relevant financial relationships | Lewis Morgenstern: DO NOT have relevant financial relationships | Brian Stamm: DO NOT have relevant financial relationships | Regina Royan: No Answer | Nikita Chhabra: DO NOT have relevant financial relationships | Guanghao Zhang: DO have relevant financial relationships ; Employee:Novo Nordisk:Active (exists now) | Madeline Kwicklis: DO NOT have relevant financial relationships | Erin CASE: DO NOT have relevant financial relationships | Lynda Lisabeth: No Answer
Meeting Info:
Session Info:

Risk Factors and Prevention Posters II

Thursday, 02/06/2025 , 07:00PM - 07:30PM

Poster Abstract Session

More abstracts on this topic:
A Potential Role for NKG2D, an NK cell receptor, in Accelerated CVD risk in African American Women Living in More Adverse Neighborhood Conditions: Data From the Step It Up Physical Activity Digital Health-Enabled, Community-Engaged Intervention

Baez Andrew, Andrews Marcus, Sandler Dana, Aquino Peterson Elizabeth, Sharda Sonal, Tolentino Katherine Joy, Lopez De Leon Shirley, Seo Jein Eleanor, Cintron Manuel, Pita Mario, Tarfa Hannatu, Baumer Yvonne, Reger Robert, Childs Richard, Powell-wiley Tiffany, Dave Ayushi, Saurabh Abhinav, Mendelsohnl Laurel, Chen Long, Igboko Muna, Wells Ayanna, Marah Marie

Comparative Effects of Education and Income Levels and Cardiovascular Risk Factors for the Risk of Ischemic Heart Disease, Ischemic Stroke, or Peripheral Artery Disease Associated Mortality

Fueller David, Quyyumi Arshed, Liu Chang, Boten David Niklas, Ritter Oliver, Doerr Gesine, Jain Vardhmaan, Desai Shivang, Sperling Laurence, Sun Yan

More abstracts from these authors:
Mexican Americans Have Worse Patient Reported Outcomes After Stroke When Compared to non-Hispanic Whites

Chhabra Nikita, Kwicklis Madeline, Lisabeth Lynda, Morgenstern Lewis

Temporal trends in acute ischemic stroke care in a community without an academic medical center

Malingagio Amanda, Miller Robert, Royan Regina, Stamm Brian, Meurer William, Lisabeth Lynda, Morgenstern Lewis

You have to be authorized to contact abstract author. Please, Login
Not Available

Readers' Comments

We encourage you to enter the discussion by posting your comments and questions below.

Presenters will be notified of your post so that they can respond as appropriate.

This discussion platform is provided to foster engagement, and simulate conversation and knowledge sharing.

 

You have to be authorized to post a comment. Please, Login or Signup.


   Rate this abstract  (Maximum characters: 500)