Logo

American Heart Association

  162
  0


Final ID: WP282

Effectiveness and safety of apixaban vs. aspirin for primary prevention of stroke and bleeding risk among patients with atrial fibrillation: A Meta-analysis of randomized controlled trials including ARTESIA trial.

Abstract Body:

Background
Atrial fibrillation is a common arrhythmia that increases the risk of stroke. However, treatment of such patients with oral anticoagulants when compared with aspirin is not well established with uncertain benefits.
Objective
We analyzed available study level data comparing Apixaban and Aspirin for efficacy and safety among atrial fibrillation patients.
Methods
We performed a systematic literature search on PubMed, EMBASE, and ClinicalTrials.gov for relevant randomized controlled trials (RCTs) from inspection until August 10th, 2024, without any language restrictions. Odds ratios (OR) and 95% confidence intervals (CI) were pooled using a random-effect model, and a p-value of <0.05 was considered statistically significant.
Results
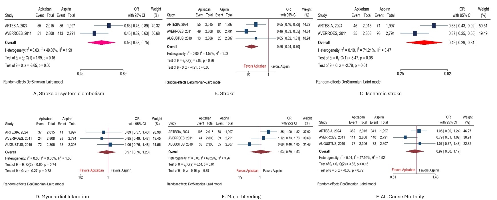
A total of 3 RCTs with 14,224 patients were included (7,129 in apixaban and 7095 in the aspirin group) in the analysis. The mean age of the patients in apixaban and the aspirin groups was 72.4 and 72.8 years, respectively. Pooled analysis of primary and secondary endpoints showed that apixaban significantly reduced the risk of stroke or systemic embolism by 47% (OR, 0.53(95%CI: 0.38-0.75), P<0.001), stroke by 44% (OR, 0.56(95%CI: 0.44-0.70), P<0.001), and ischemic stroke by 51% (OR, 0.49(95%CI: 0.29-0.81), P=0.01) when compared with aspirin. However, the risk of major bleeding (OR, 1.03(95%CI: 0.69-1.53), P=0.88), myocardial infarction (OR, 0.97(95%CI: 0.76-1.23), P=0.78), and all-cause mortality (OR, 0.97(95%CI: 0.80-1.17), P=0.72) was comparable when compared with the aspirin group of patients.
Conclusion
In this comprehensive analysis of randomized controlled trials data, the use of apixaban was associated with reduction in stroke or systemic embolism, and ischemic stroke, when compared with aspirin therapy. Major bleeding risk, and all cause mortality was comparable between both groups of patients.
  • Jaiswal, Vikash  ( Henry Ford Jackson Hospital , Jackson , Michigan , United States )
  • Savaliya, Mittal  ( Henry Ford Jackson Hospital , Jackson , Michigan , United States )
  • Shama, Nishat  ( Henry Ford Jackson Hospital , Jackson , Michigan , United States )
  • Jaiswal, Akash  ( AIIMS , New Delhi , India )
  • Munnangi, Pragathi  ( Henry Ford Jackson Hospital , Jackson , Michigan , United States )
  • Mashkoor, Yusra  ( Dow University of Health Sciences , Karachi , Pakistan )
  • Zulfiqar, Aayet  ( Henry Ford Jackson Hospital , Jackson , Michigan , United States )
  • Rajak, Kripa  ( UPMC , Harrisburg , Pennsylvania , United States )
  • Halder, Anupam  ( University of Pittsburgh Med Center , HARRISBURG , Pennsylvania , United States )
  • Ang, Song Peng  ( Rutgers Health CMC , Toms River , New Jersey , United States )
  • Younas, Ayesha  ( Allama Iqbal Medical College Lahore , Lahore, Pakistan , Pakistan )
  • Hanif, Muhammad  ( Upstate Medical University , New York , New York , United States )
  • Biswas, Monodeep  ( University of Maryland Medical , Landisville , Pennsylvania , United States )
  • Author Disclosures:
    Vikash Jaiswal: DO NOT have relevant financial relationships | Song Peng Ang: DO NOT have relevant financial relationships | Ayesha Younas: DO NOT have relevant financial relationships | Muhammad Hanif: DO NOT have relevant financial relationships | Monodeep Biswas: DO NOT have relevant financial relationships | Mittal Savaliya: DO NOT have relevant financial relationships | Nishat Shama: DO NOT have relevant financial relationships | Akash Jaiswal: DO NOT have relevant financial relationships | Pragathi Munnangi: DO NOT have relevant financial relationships | Yusra Mashkoor: DO NOT have relevant financial relationships | Aayet Zulfiqar: DO NOT have relevant financial relationships | Kripa Rajak: DO NOT have relevant financial relationships | Anupam Halder: DO NOT have relevant financial relationships
Meeting Info:
Session Info:

Risk Factors and Prevention Posters I

Wednesday, 02/05/2025 , 07:00PM - 07:30PM

Poster Abstract Session

More abstracts on this topic:
Infarct Topography, Effect of Anticoagulation, and Recurrence after Cryptogenic Stroke: A Subgroup Analysis of the ARCADIA Trial

Karunamuni Nilushi, Gologorsky Rachel, Longstreth W, Tirschwell David, Elkind Mitchell, Kamel Hooman

Apixaban for Preventing Recurrence of Ischemic Stroke in Patients with Atrial Cardiopathy: A Systematic Review and Meta-Analysis

Menegat Ana Luiza Rocha Soares, Menegaz De Almeida Artur, Kelly Francinny, A De Moraes Francisco Cezar, Menegat Brenda Luana Rocha Soares, Rachas Reis Mariana, Rocha Dantas Clara, De Souza Wagner Pedro, Matheus Gustavo Tadeu, Simões Bárbara, Alves Mylena, Bezerra Ian

More abstracts from these authors:
Effectiveness and safety of direct oral anticoagulation vs. warfarin for primary prevention of stroke and bleeding risk among patients with atrial fibrillation.

Jaiswal Vikash, Shrestha Abhigan, Hanif Muhammad, Shama Nishat, Jaiswal Akash, Patel Nirmit, Rajak Kripa, Kalra Kriti, Ang Song Peng, Sawhney Aanchal, Danisha Fnu

Association between Preeclampsia and Risk of Arrhythmias and Stroke: A Meta-analysis of 3,871,787 women patients.

Jaiswal Vikash, Jaiswal Akash, Hanif Muhammad, Tibon Deborah, Rajak Kripa, Tummala Nayanika, Biswas Monodeep

You have to be authorized to contact abstract author. Please, Login
Not Available

Readers' Comments

We encourage you to enter the discussion by posting your comments and questions below.

Presenters will be notified of your post so that they can respond as appropriate.

This discussion platform is provided to foster engagement, and simulate conversation and knowledge sharing.

 

You have to be authorized to post a comment. Please, Login or Signup.


   Rate this abstract  (Maximum characters: 500)