Logo

American Heart Association

  134
  0


Final ID: WMP44

Post Acute Care at Inpatient Rehabilitation Facilities Maximizes 1-Year Home Time among Patients with Acute Ischemic Stroke: Cluster Analysis of Health System and Statewide Data

Abstract Body: Background: The post-acute journey for stroke patients is highly variable. We evaluated patient and health-system factors that contribute to the variability in 1-year home time (HT) by employing unsupervised learning (cluster analyses) among Acute Ischemic Stroke (AIS) patients.

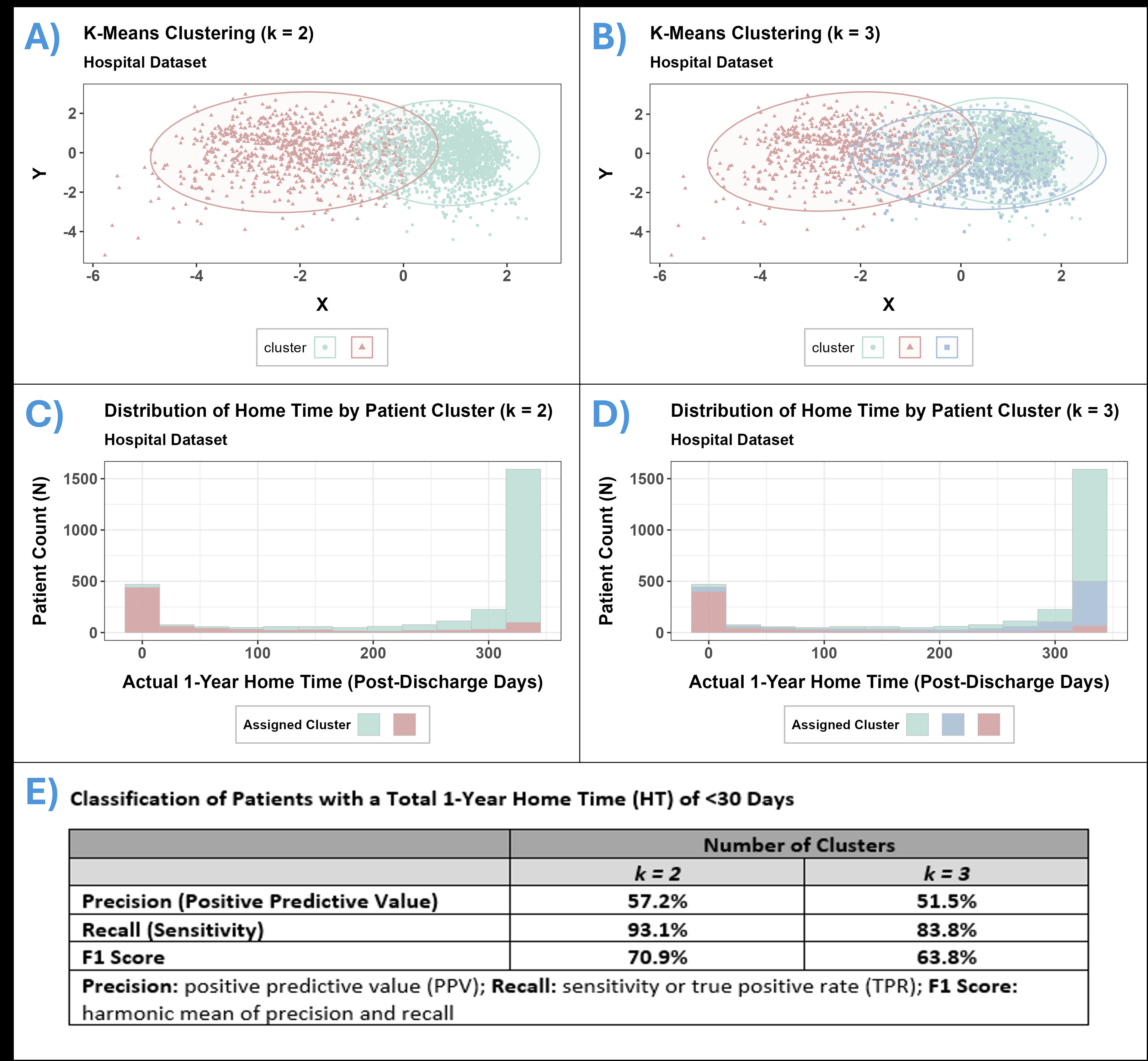
Methods: Texas statewide medical claims data on post-stroke care transitions were extracted from a CMS Qualified Entity housing data for ≥80% of the population (including 100% of Medicare Fee-for-Service). Clinical information on a matched sub-population was linked from the EMR of a 7-hospital certified stroke health system. K-means clustering was performed on 1) the statewide dataset on post-discharge care utilization, and 2) the hospital dataset which further included clinical and acute care features. The optimal number (k) of cluster centers was compared algorithmically using direct (average silhouette) and gap statistic methods. Cluster performance, with respect to distinguishing high risk patients more likely to have low HT post-discharge (i.e., total 1-year home time of <30 days), was evaluated by precision (positive predictive value), recall (sensitivity), and F1 score.

Results: Between 2016 and 2020, 75,478 statewide AIS admissions were captured, while 2,889 AIS admissions were analyzed for the matched hospital system subgroup. Cluster models with k = 2 centers (vs. 3) provided distinctive risk profiles (Fig. 1A / 1B) and yielded better performance in classifying patients at higher risk of low HT (patients depicted in red cluster in Fig. 1C / 1D). The 2-cluster model demonstrated a high recall and correctly identified 93.1% of all high risk (low HT) patients (Fig. 1E). Precision was modest, with 57.2% of those patients flagged as high risk representing true predictions. Demographic and clinical patient characteristic differences were observed across HT strata, in both the statewide dataset and the hospital sub-group. These included advanced age (both cohorts), higher stroke severity (hospital cohort), and higher comorbidity burden (hospital cohort). Post acute care at an inpatient rehabilitation facility minimized the risk of low HT (vs. high HT: ≥ 300 days) in both the statewide (16.2% vs. 28.3%) and the hospital cohort (15.1% vs. 28.5%) (Fig. 2).

Conclusion: Cluster analyses can elucidate high-risk patient profiles and guide in identifying intervenable targets and prioritizing provision of appropriate care, including rehabilitation, to optimize long-term patient outcomes.
  • Pan, Alan  ( Houston Methodist , Houston , Texas , United States )
  • Kim, Yejin  ( McWilliams School of Biomedical Informatics at UTHealth Houston , Houston , Texas , United States )
  • Jiang, Xiaoqian  ( McWilliams School of Biomedical Informatics at UTHealth Houston , Houston , Texas , United States )
  • Vahidy, Farhaan  ( TIRR Memorial Hermann , Houston , Texas , United States )
  • Wozny, Joseph  ( UTHSC School of Public Health , Houston , Texas , United States )
  • Schaefer, Caroline  ( UTHSC School of Public Health , Houston , Texas , United States )
  • Bako, Abdulaziz  ( Houston Methodist , Houston , Texas , United States )
  • Nicolas, Charlie  ( Houston Methodist , Houston , Texas , United States )
  • Potter, Thomas  ( Houston Methodist , Houston , Texas , United States )
  • Caballero, Elizabeth  ( UTHSC School of Public Health , Houston , Texas , United States )
  • Nair, Rejani  ( Houston Methodist , Houston , Texas , United States )
  • Ganduglia-cazaban, Cecilia  ( UTHSC School of Public Health , Houston , Texas , United States )
  • Author Disclosures:
    Alan Pan: DO NOT have relevant financial relationships | Yejin Kim: DO NOT have relevant financial relationships | Xiaoqian Jiang: DO NOT have relevant financial relationships | Farhaan Vahidy: DO NOT have relevant financial relationships | Joseph Wozny: DO NOT have relevant financial relationships | Caroline Schaefer: DO NOT have relevant financial relationships | Abdulaziz Bako: DO NOT have relevant financial relationships | Charlie Nicolas: DO NOT have relevant financial relationships | Thomas Potter: DO NOT have relevant financial relationships | Elizabeth Caballero: DO NOT have relevant financial relationships | Rejani Nair: DO NOT have relevant financial relationships | Cecilia Ganduglia-Cazaban: No Answer
Meeting Info:
Session Info:

Clinical Rehabilitation and Recovery Moderated Poster Tour

Wednesday, 02/05/2025 , 06:00PM - 07:00PM

Moderated Poster Abstract Session

More abstracts on this topic:
A Retrospective Analysis of Chronic Kidney Disease and Arrhythmias-Related Mortality Among Adults in the United States (1999-2020): Insights into Disparities by Gender, Race/Ethnicity, and Geography

Waseem Neha, Nouman Zainab, Chaudhry Sohaib Aftab Ahmad, Tariq Waleed, Khan Iftikhar, Shah Mazhar, Farooqi Hanzala Ahmed, Faiz Muneeb

Cerebellar Intermittent Theta Burst Stimulation in Post-Stroke Gait Impairment: A Systematic Review and Meta-Analysis of Randomized Controlled Trials

De Souza Abner Lucas, De Vasconcelos Anna Victoria, Wagner Fernanda, Reis Soares Filipe, Ventura Artur, Moro Izabela, Queiroz Ivo

More abstracts from these authors:
The Association between Post-ICH Continuation of Statin Use and Major Adverse Cardiovascular Events

Bako Abdulaziz, Ganduglia-cazaban Cecilia, Vahidy Farhaan, Schaefer Caroline, Potter Thomas, Pan Alan, Borei Karim, Wozny Joseph, Nicolas Charlie, Caballero Elizabeth, Nair Rejani

Early Post Acute Care Pathways are Predictive of 1-Year Home Time among Patients with Acute Ischemic Stroke: Analysis of Clinical and Claims Linked Data

Pan Alan, Kim Yejin, Jiang Xiaoqian, Vahidy Farhaan, Wozny Joseph, Schaefer Caroline, Bako Abdulaziz, Nicolas Charlie, Potter Thomas, Caballero Elizabeth, Nair Rejani, Ganduglia-cazaban Cecilia

You have to be authorized to contact abstract author. Please, Login
Not Available

Readers' Comments

We encourage you to enter the discussion by posting your comments and questions below.

Presenters will be notified of your post so that they can respond as appropriate.

This discussion platform is provided to foster engagement, and simulate conversation and knowledge sharing.

 

You have to be authorized to post a comment. Please, Login or Signup.


   Rate this abstract  (Maximum characters: 500)