Logo

American Heart Association

  248
  0


Final ID: WP103

Dual Approach to Reducing Hospital Disparities: The Impact of Regional Cardio-cerebrovascular Disease Center Program and Stroke Center Certification in Korea

Abstract Body: Background and Purpose: Disparities in stroke treatment and outcomes across hospitals have posed significant challenges in ensuring equitable healthcare outcomes. This study examines the combined impact of the government-led Regional Cardio-cerebrovascular Disease Center (RCCVC) program and the academic stroke center certification on reducing inter-hospital disparities.
Methods: We investigated trends in defect-free care and reperfusion therapy times using data from the Korean Stroke Registry from 2012 to 2021. Utilizing data from Health Insurance Review & Assessment Service, and National Health Insurance Service from 2010 to 2018, we evaluated the RCCVC designation and stroke center certification on stroke treatment and outcomes, focusing on defect-free care rates and 1-year mortality rates.
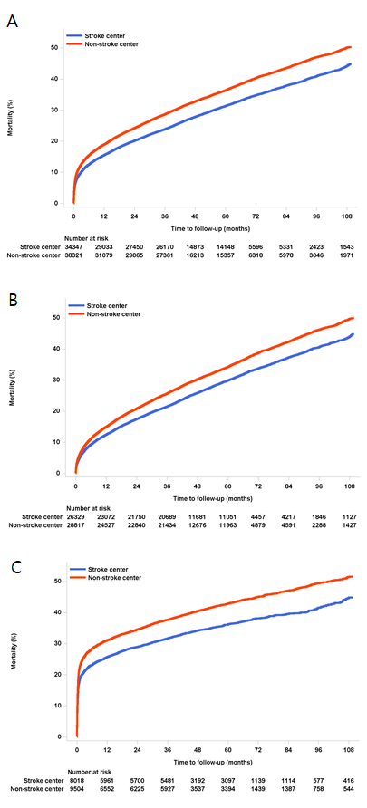
Results: During the study period, the Gini coefficient for defect-free care remained below 0.2, indicating low disparity. However, the Gini coefficient for reperfusion therapy times consistently exceeded 0.3, indicating high inter-hospital disparity. RCCVCs showed a significant increase in defect-free care rates from 50.2% to 86.0% and a decrease in 1-year mortality rates from 16.4% to 14.4%. Stroke centers also demonstrated higher defect-free care rates compared to other hospitals (94.4% vs. 87.6%) and lower 1-year mortality rates (15.5% vs. 18.9%).
Conclusion: The combined efforts of the RCCVC program and stroke center certification have contributed to mitigating hospital disparities in stroke care across South Korea. By aligning government resources and academic standards, these projects have fostered a more equitable healthcare landscape, improving outcomes for stroke patients.
  • Jeong, Han-yeong  ( Seoul National University Hospital, Seoul National University College of Medicine , Seoul , Korea (the Republic of) )
  • Kim, Seong-eun  ( Seoul National University Bundang Hospital, Seoul National University College of Medicine , Seongnam , Korea (the Republic of) )
  • Lee, Eung-joon  ( Seoul National University Hospital, Seoul National University College of Medicine , Seoul , Korea (the Republic of) )
  • Kim, Jayoun  ( Seoul National University Hospital, Seoul National University College of Medicine , Seoul , Korea (the Republic of) )
  • Park, Nan Hee  ( Seoul National University Hospital, Seoul National University College of Medicine , Seoul , Korea (the Republic of) )
  • Joongyub, Lee  ( Seoul National University College of Medicine , Seoul , Korea (the Republic of) )
  • Lee, Ji Sung  ( Asan Institute for Life Sciences, Asan Medical Center , Seoul , Korea (the Republic of) )
  • Lee, Juneyoung  ( Korea University College of Medicine , Seoul , Korea (the Republic of) )
  • Park, Jinju  ( Korea Cardio-cerebrovascular Disease Management & Research Service , Seoul , Korea (the Republic of) )
  • Hong, Jin-hyuk  ( Korea Cardio-cerebrovascular Disease Management & Research Service , Seoul , Korea (the Republic of) )
  • Kang, Hyun-jae  ( Seoul National University Hospital, Seoul National University College of Medicine , Seoul , Korea (the Republic of) )
  • Jung, Keun-hwa  ( Seoul National University Hospital, Seoul National University College of Medicine , Seoul , Korea (the Republic of) )
  • Bae, Hee-joon  ( Seoul National University Bundang Hospital, Seoul National University College of Medicine , Seongnam , Korea (the Republic of) )
  • Author Disclosures:
    Han-Yeong Jeong: DO NOT have relevant financial relationships | Jin-Hyuk Hong: No Answer | Hyun-Jae Kang: No Answer | Keun-hwa Jung: DO NOT have relevant financial relationships | Hee-joon BAE: DO NOT have relevant financial relationships | Seong-eun Kim: DO NOT have relevant financial relationships | Eung-Joon Lee: DO NOT have relevant financial relationships | Jayoun Kim: DO NOT have relevant financial relationships | Nan Hee Park: No Answer | Lee Joongyub: No Answer | Ji Sung Lee: DO NOT have relevant financial relationships | JUNEYOUNG LEE: DO NOT have relevant financial relationships | Jinju Park: DO NOT have relevant financial relationships
Meeting Info:
Session Info:

Cerebrovascular Systems of Care Posters I

Wednesday, 02/05/2025 , 07:00PM - 07:30PM

Poster Abstract Session

More abstracts on this topic:
A First-in-Class Humanized Antibody Fragment Targeting Platelet Glycoprotein Ibα: A Comprehensive Preclinical Study of CA1001 for the Treatment of Acute Ischemic Stroke

Xu Xiaohong, Preeti Preeti, Yu Ruoying, Shaykhalishahi Hamed, Zhang Cheng, Shen Chuanbin, Li Bei, Tang Naping, Chang Yan, Xiang Qian, Cui Yimin, Lei Xi, Ni Heyu, Zhu Guangheng, Liu Zhenze, Hu Xudong, Slavkovic Sladjana, Neves Miguel, Ma Wenjing, Xie Huifang

A Retrospective Analysis of Chronic Kidney Disease and Arrhythmias-Related Mortality Among Adults in the United States (1999-2020): Insights into Disparities by Gender, Race/Ethnicity, and Geography

Waseem Neha, Nouman Zainab, Chaudhry Sohaib Aftab Ahmad, Tariq Waleed, Khan Iftikhar, Shah Mazhar, Farooqi Hanzala Ahmed, Faiz Muneeb

You have to be authorized to contact abstract author. Please, Login
Not Available

Readers' Comments

We encourage you to enter the discussion by posting your comments and questions below.

Presenters will be notified of your post so that they can respond as appropriate.

This discussion platform is provided to foster engagement, and simulate conversation and knowledge sharing.

 

You have to be authorized to post a comment. Please, Login or Signup.


   Rate this abstract  (Maximum characters: 500)