Logo

American Heart Association

  141
  0


Final ID: 37

Long-Term Results of Bypass Surgery for Symptomatic Carotid and Middle Cerebral Artery Occlusion (CMOSS-FU)

Abstract Body: ABSTRACT
Background

In the Carotid or Middle cerebral artery Occlusion Surgery Study (CMOSS), we found no significant difference between the bypass surgery group and the medical group with respect to the primary composite outcome of stroke or death within 30 days or any subsequent ipsilateral ischemic stroke within 2 years of follow-up. We now extend the long-term follow-ups to 10 years.
Methods
We randomly assigned symptomatic patients with hemodynamically compromised internal carotid artery (ICA) or middle cerebral artery (MCA) occlusion to extracranial-intracranial (EC-IC) bypass surgery plus medical treatment or medical treatment alone at 13 centers in China. We extended the follow-ups from the original 2 years to 10 years to assess long-term outcomes. The primary outcome was a composite of stroke or death within 30 days or ipsilateral ischemic stroke beyond 30 days after randomization.
Results
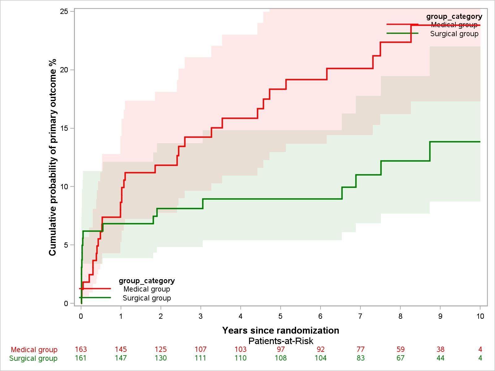
324 patients were assigned to the surgery (n=161) or medical group (n=163); the median duration of follow-up was 7.6 years (interquartile range [IQR], 2.3 to 9.2). The primary outcome occurred in 18 of 161 patients (11.2%) in the surgical group, significantly lower than that in the medical group (32 out of 163 patients [19.6%]; relative risk [RR], 0.57; 95% confidence interval [CI], 0.33 to 0.97; P=0.04). The risk of any stroke was 16.1% in the surgical group vs 23.3% in the medical group (RR, 0.76; 95% CI, 0.52 to1.13; P=0.15); the all-cause mortality was 8.1% in the surgical group vs. 8.6% in the medical group (RR, 0.94; 95% CI, 0.46 to 1.94]; P=0.93).
Conclusions
Among symptomatic ICA or MCA occlusion patients with hemodynamic insufficiency, the addition of extracranial-intracranial bypass surgery to medical treatment was safe and led to a lower risk of recurrent stroke through 7 years of follow-up than medical treatment alone. (ClinicalTrials.gov number, NCT01758614.)
  • Ma, Yan  ( Xuanwu Hospital, Capital Medical University , Beijing , China )
  • Wang, Yufeng  ( The Affiliated Cardiovascular Hospital of Shanxi Medical University and Shanxi Cardiovascular Hospital , Taiyuan , China )
  • Cai, Yiling  ( Chinese PLA General Hospital , Beijing , China )
  • Jun, Ren  ( The Second Hospital of Lan Zhou University , Lanzhou , China )
  • Donghai, Wang  ( Qilu Hospital of Shandong University , Jinan , China )
  • Duan, Lian  ( The First Medical Center of Chinese People's Liberation Army (PLA) General Hospital , Beijing , China )
  • Aisha, Maimaitili  ( The First Affiliated Hospital of XinJiang Medical University , Urumqi , China )
  • Hang, Chunhua  ( Nanjing Drum Tower Hospital, Nanjing University Medical School , Nanjing , China )
  • Yu, Jiasheng  ( Tongji Hospital, Huazhong University of Science and Technology , Wuhan , China )
  • Ling, Feng  ( Xuanwu Hospital, Capital Medical University , Beijing , China )
  • Wu, Yangfeng  ( Peking University , Beijing , China )
  • Wang, Tao  ( Xuanwu Hospital, Capital Medical University , Beijing , China )
  • Derdeyn, Colin  ( University of Virginia School of Medicine , Charlottesville , Virginia , United States )
  • Gu, Yuxiang  ( Huashan Hospital, Fudan University , Shanghai , China )
  • Zhao, Guoguang  ( Xuanwu Hospital, Capital Medical University , Beijing , China )
  • Jiao, Liqun  ( Xuanwu Hospital, Capital Medical University , Beijing , China )
  • Ni, Wei  ( Huashan Hospital, Fudan University , Shanghai , China )
  • Wang, Haibo  ( Peking University , Beijing , China )
  • Liu, Delin  ( Xuanwu Hospital, Capital Medical University , Beijing , China )
  • Sun, Xinyi  ( Xuanwu Hospital, Capital Medical University , Beijing , China )
  • Tong, Xiaoguang  ( Huanhu Hospital , Tianjin , China )
  • Zhang, Liyong  ( Liaocheng People's Hospital, Shandong First Medical University and Shandong Academy of Medical Sciences , Liaocheng , China )
  • Zhiyong, Tong  ( The Second Affiliated Hospital of Guangzhou Medical University , Guangzhou , China )
  • Author Disclosures:
    Yan Ma: No Answer | Yufeng Wang: No Answer | YILING CAI: No Answer | Ren Jun: No Answer | Wang Donghai: No Answer | Lian Duan: No Answer | Maimaitili Aisha: No Answer | chunhua hang: No Answer | Jiasheng Yu: No Answer | Feng Ling: No Answer | Yangfeng Wu: DO have relevant financial relationships ; Other (please indicate in the box next to the company name):Beijing Airdoc Technology Co. (Independent Board Member), Ltd. :Active (exists now) ; Research Funding (PI or named investigator): Eli Lilly and Company:Active (exists now) | Tao Wang: DO NOT have relevant financial relationships | Colin Derdeyn: DO have relevant financial relationships ; Consultant:Penumbra:Active (exists now) ; Individual Stocks/Stock Options:Pulse Therapeutics:Active (exists now) ; Consultant:SilkRoad:Past (completed) | Yuxiang Gu: DO NOT have relevant financial relationships | Guoguang Zhao: No Answer | Liqun Jiao: No Answer | Wei Ni: DO NOT have relevant financial relationships | Haibo Wang: DO NOT have relevant financial relationships | Delin Liu: DO NOT have relevant financial relationships | Xinyi Sun: DO NOT have relevant financial relationships | Xiaoguang Tong: No Answer | Liyong Zhang: No Answer | Tong Zhiyong: No Answer
Meeting Info:
Session Info:

Large Vessel Disease from Arteries to Veins (Non-Acute Treatment) Oral Abstracts

Wednesday, 02/05/2025 , 09:15AM - 10:45AM

Oral Abstract Session

More abstracts on this topic:
1-Year Outcomes After Cardioversion With and Without Anticoagulation in Patients With Left Atrial Appendage Occlusion: A Propensity-Matched Analysis

Thangjui Sittinun, Trongtorsak Angkawipa, Kewcharoen Jakrin, Thyagaturu Harshith, Watson Hangyu, Mensah Samuel, Balla Sudarshan, Navaravong Leenhapong

Assessing Short-Term Prognostic Value of eGFR Formulas in Patient with Acute Heart Failure: Comparison of Chronic Kidney Disease Epidemiology Collaboration 2021, 2009 Formula, and Modification of Diet in Renal Disease in Asian Population – A Study from Vietnam

Tran Dieu Hien, Do Chau, Nguyen Thi Kim Chuc, Pham Ngoc Anh Vu, Phan Hoang Son, Phan Tri Cuong, Han Nguyen Le My, Nguyen Thi Huong Dung, Vo Le Y Nhi, Cao Doan Thi Bich Huyen, Tran Thanh Phong, Truyen Thien Tan Tri Tai, Tran Van Duong, Nguyen Ngoc Huyen, Pham Thanh Phong, Nguyen Minh Nghiem, Nguyen Van Khoa, Vo Phuc Dai, Le Hoang Phuc, Dinh Quang Minh Trí, Vu Loc, Kieu Doan Thi

More abstracts from these authors:
CT Perfusion for Predicting Ischemic Stroke in Patients with Symptomatic Carotid or Middle Cerebral Artery Occlusion: A Post-hoc Analysis of the CMOSS Study

Wang Tao, Ma Yan, Jiao Liqun, Yang Yifan, Wang Haibo, Luo Jichang, Liu Delin, Yang Renjie, Gong Haozhi, Sun Xinyi, Derdeyn Colin

Design of Extracranial-Intracranial Bypass Surgery for Symptomatic Chronic Middle Cerebral Artery Occlusion Trial (CMOSS-2)

Ma Yan, Wang Tao, Wang Haibo, Yang Yifan, Wang Jie, Derdeyn Colin, Gu Yuxiang, Jiao Liqun

You have to be authorized to contact abstract author. Please, Login
Not Available

Readers' Comments

We encourage you to enter the discussion by posting your comments and questions below.

Presenters will be notified of your post so that they can respond as appropriate.

This discussion platform is provided to foster engagement, and simulate conversation and knowledge sharing.

 

You have to be authorized to post a comment. Please, Login or Signup.


   Rate this abstract  (Maximum characters: 500)