Logo

American Heart Association

  91
  0


Final ID: TP194

Total Small Vessel Disease Score Is Associated With Intraventricular Extension Among Patients With Intracerebral Hemorrhage

Abstract Body: Background & Aims: Intraventricular extension (IE) is associated with unfavorable prognosis among patients with intracerebral hemorrhage (ICH). However, factors associated with IE are unknown. We aimed to elucidate the relation between IE and small vessel disease (SVD) in ICH.
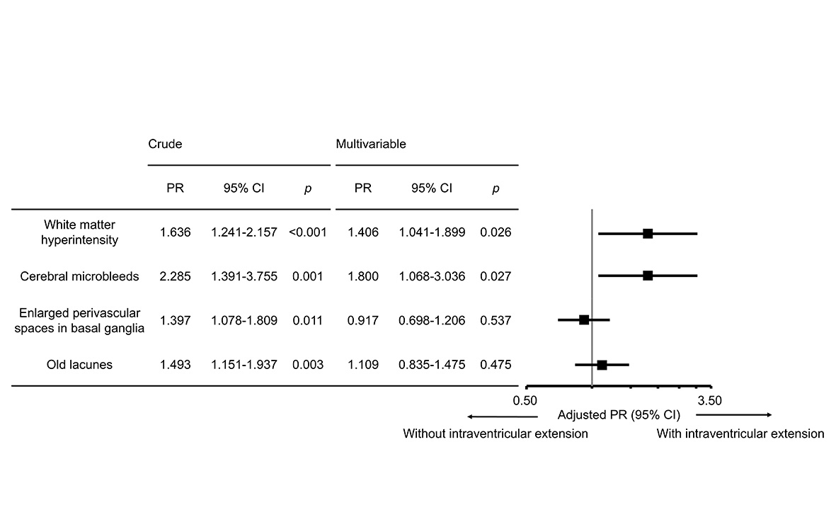
Methods: Consecutive patients with acute ICH admitted between July 2012 and November 2023 were retrospectively screened using Kagoshima Medical Center Stroke Database. The inclusion criteria were as follows: 1) onset to door time within 7 days; 2) availability of SVD evaluation using total SVD score on MRI; and 3) availability of IE evaluation on admission and more than 24 hours after admission on CT. Total SVD score was calculated as the sum of points for each of the following four imaging findings (each scored as 1 point, maximum score 4): 1 or more old lacunes, the presence of white matter hyperintensity (periventricular: Fazekas grade 3 and/or deep white matter: Fazekas grade 2–3), 1 or more cerebral microbleeds, and 11 or more basal ganglia enlarged perivascular spaces. We investigated the association between SVD burden and IE by performing Poisson regression analyses with a robust variance estimator adjusted by sex, age, excessive alcohol intake, use of antiplatelet drugs and anticoagulants before admission, hypertension, body mass index, hemorrhage location, and hemorrhage size.
Results: We screened 608 consecutive ICH patients. Of them, 449 were identified (234 [52%] males, median age 75 years). IE was observed in 151 patients (34%). In multivariable analysis, total SVD score was independently associated with IE (prevalence ration (PR) 1.188, 95% CI 1.063-1.329, p = 0.002, Figure 1). Further, a positive linear trend was observed between total SVD score and IE in reference to total SVD score 0 (total SVD score 0: PR 1.000, total SVD score 1-2: PR 3.769, total SVD score 3-4: PR 4.109, p = 0.011 for trend, Figure 2). Finally, among the four items comprising the total SVD score, white matter hyperintensity (PR 1.406 95% CI 1.041-1.899, p = 0.026, Figure 3) and cerebral microbleeds (PR 1.800, 95% CI 1.068-3.036, p = 0.027, Figure 3) were associated with IE.
Conclusions: In acute ICH patients, higher total SVD score was associated with IE even after adjusted by risk factors for ICH, hemorrhage location, and hemorrhage size. Especially, white matter hyperintensity and cerebral microbleeds may have effects on the incidence of IE.
  • Sato, Takeo  ( Kagoshima Medical Center , Kagoshima , Japan )
  • Tsuchimochi, Yuka  ( Kagoshima Medical Center , Kagoshima , Japan )
  • Hamada, Yuki  ( Kagoshima Medical Center , Kagoshima , Japan )
  • Kawabata, Yutaro  ( Kagoshima Medical Center , Kagoshima , Japan )
  • Iwamoto, Kana  ( Kagoshima Medical Center , Kagoshima , Japan )
  • Takaguchi, Go  ( Kagoshima Medical Center , Kagoshima , Japan )
  • Matsuoka, Hideki  ( Kagoshima Medical Center , Kagoshima , Japan )
  • Author Disclosures:
    Takeo Sato: DO NOT have relevant financial relationships | Yuka Tsuchimochi: DO NOT have relevant financial relationships | Yuki Hamada: DO NOT have relevant financial relationships | Yutaro Kawabata: No Answer | Kana Iwamoto: No Answer | Go Takaguchi: No Answer | Hideki Matsuoka: DO NOT have relevant financial relationships
Meeting Info:
Session Info:

Intracerebral Hemorrhage Posters II

Thursday, 02/06/2025 , 07:00PM - 07:30PM

Poster Abstract Session

More abstracts on this topic:
A ChatGLM-based stroke diagnosis and prediction tool

Song Xiaowei, Wang Jiayi, Ma Weizhi, Wu Jian, Wang Yueming, Gao Ceshu, Wei Chenming, Pi Jingtao

A First-in-Class Humanized Antibody Fragment Targeting Platelet Glycoprotein Ibα: A Comprehensive Preclinical Study of CA1001 for the Treatment of Acute Ischemic Stroke

Xu Xiaohong, Preeti Preeti, Yu Ruoying, Shaykhalishahi Hamed, Zhang Cheng, Shen Chuanbin, Li Bei, Tang Naping, Chang Yan, Xiang Qian, Cui Yimin, Lei Xi, Ni Heyu, Zhu Guangheng, Liu Zhenze, Hu Xudong, Slavkovic Sladjana, Neves Miguel, Ma Wenjing, Xie Huifang

More abstracts from these authors:
Lower High-Density Lipoprotein Cholesterol Level Is Associated With Hematoma Expansion Following Acute Intracerebral Hemorrhage

Sato Takeo, Tsuchimochi Yuka, Hamada Yuki, Kawabata Yutaro, Iwamoto Kana, Takaguchi Go, Matsuoka Hideki

Small Vessel Disease is Associated With Primary Aldosteronism in Acute Ischemic Stroke

Okumura Motohiro, Komatsu Teppei, Sakuta Kenichi, Sakai Kenichiro, Mitsumura Hidetaka, Nishimura Rimei, Iguchi Yasuyuki, Sato Takeo, Tsujimoto Yuki, Yamashiro Kenji, Watanabe Yui, Kida Hiroyuki, Nakada Ryoji, Kitagawa Tomomichi, Takatsu Hiroki

You have to be authorized to contact abstract author. Please, Login
Not Available

Readers' Comments

We encourage you to enter the discussion by posting your comments and questions below.

Presenters will be notified of your post so that they can respond as appropriate.

This discussion platform is provided to foster engagement, and simulate conversation and knowledge sharing.

 

You have to be authorized to post a comment. Please, Login or Signup.


   Rate this abstract  (Maximum characters: 500)