Logo

American Heart Association

  130
  0


Final ID: DP32

Hypodensity Beyond the Ischemic Core: Penumbral Density Changes Detected with Relative Non-Contrast Computed Tomography

Abstract Body: Introduction and aims: Infarcted brain tissue on non-contrast computed tomography (NCCT) causes hypodensity resulting from vasogenic edema. It is unknown if hypoperfusion outside of the ischemic core may result in density changes on NCCT. This study aimed to evaluate the presence of hypodensity in the CT Perfusion (CTP) based penumbra.

Methods: We included ischemic stroke patients with anterior circulation large vessel occlusions transferred from a primary to a comprehensive stroke center for consideration of thrombectomy from the CRISP2 study. Patients underwent baseline NCCT and CT Perfusion (CTP) at the referring hospital and MRI at the comprehensive center. All images were coregistered to the NCCT. We created relative NCCT (rNCCT) maps on baseline imaging, which is an automated NCCT analysis that compares voxel density to the corresponding area in the contralateral hemisphere. Density alterations on rNCCT were represented as percentages, e.g. -1% represented 1% relative hypodensity compared to the contralateral region. We analyzed relative voxel hypodensity on rNCCT within the core (defined as relative cerebral blood flow <30%) and penumbra (defined as time-to-maximum (Tmax) > 6 seconds minus core lesion volume) (Figure 1). Furthermore, we evaluated the relationship between relative density changes and hypoperfusion severity within the penumbra. To ensure that our findings were restricted to the penumbra, we performed a sensitivity analysis using the diffusion-weighted imaging (DWI) lesion at the receiving hospital to define the ischemic core.

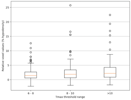
Results: We included 169 patients with a median penumbra volume of 78 ml (IQR 51-112) and core volume of 1.3 ml (IQR 0-13.3) (Table 1). The median relative voxel hypodensity in the penumbra was 1.8% (p<0.001) and 3.4% in the core (p<0.001). Relative hypodensity in the penumbra was greater with increasing hypoperfusion severity: median 1.5% in areas with Tmax delay between 6 to 8 seconds; median 1.9% in Tmax 8 to 10 seconds; and median 2.2% in Tmax> 10 seconds (p<0.001) (Figure 2). Using the DWI lesion as the core did not alter the results.

Conclusions: In patients with anterior circulation acute ischemic stroke, we demonstrated relative hypodensity in penumbral tissue on NCCT. The hypodensity was greater in tissue with more severe hypoperfusion. A hypothesis for these findings is edema formation in the penumbra related to hypoperfusion severity. However, its significance remains to be investigated.
  • Vandewalle, Lieselotte  ( KU Leuven - University Hospitals Leuven , Leuven , Belgium )
  • Lansberg, Maarten  ( Stanford Stroke Center , Stanford , California , United States )
  • Lemmens, Robin  ( KU Leuven - University Hospitals Leuven , Leuven , Belgium )
  • Wouters, Anke  ( KU Leuven - University Hospitals Leuven , Leuven , Belgium )
  • Christensen, Soren  ( Stanford Stroke Center , Stanford , California , United States )
  • Konduri, Praneeta  ( Amsterdam UMC - location UvA , Amsterdam , Netherlands )
  • Yuen, Nicole  ( Stanford Stroke Center , Stanford , California , United States )
  • Mlynash, Michael  ( Stanford Stroke Center , Stanford , California , United States )
  • Seners, Pierre  ( Rothschild Foundation Hospital , Paris , France )
  • Albers, Greg  ( Stanford Stroke Center , Stanford , California , United States )
  • Demeestere, Jelle  ( KU Leuven - University Hospitals Leuven , Leuven , Belgium )
  • Author Disclosures:
    Lieselotte Vandewalle: DO NOT have relevant financial relationships | Maarten Lansberg: DO have relevant financial relationships ; Other (please indicate in the box next to the company name):Up To Date (Author):Active (exists now) ; Consultant:Biogen:Past (completed) ; Consultant:Roche:Past (completed) | Robin Lemmens: DO have relevant financial relationships ; Other (please indicate in the box next to the company name):iSchemaview: institutional fees for consulting:Active (exists now) | Anke Wouters: DO NOT have relevant financial relationships | Soren Christensen: No Answer | Praneeta Konduri: DO have relevant financial relationships ; Ownership Interest:inSteps B.V:Active (exists now) ; Employee:NIH/NINDS (grant number: R01NS075209):Active (exists now) ; Employee:European Union’s Horizon research and innovation program (Grant Agreement Number: 101136438):Past (completed) | Nicole Yuen: DO NOT have relevant financial relationships | Michael Mlynash: DO NOT have relevant financial relationships | Pierre Seners: DO have relevant financial relationships ; Speaker:ACTICOR Biotech:Past (completed) ; Speaker:Boerhinger Ingelheim:Expected (by end of conference) | Greg Albers: DO have relevant financial relationships ; Consultant:Genentech:Past (completed) ; Individual Stocks/Stock Options:iSchemaView:Active (exists now) ; Consultant:iSchemaView:Active (exists now) | Jelle Demeestere: DO NOT have relevant financial relationships
Meeting Info:
Session Info:

Imaging Moderated Digital Posters

Thursday, 02/06/2025 , 12:40PM - 01:10PM

Moderated Digital Poster Abstract Session

More abstracts on this topic:
3-HKA Promotes the Vascular Remodeling after Stroke by Modulating the Activation of A1/A2 Reactive Astrocytes

Chen Jun-min, Shi Guang, Yu Lulu, Shan Wei, Zhang Xiangjian, Wang Qun

A First-in-Class Humanized Antibody Fragment Targeting Platelet Glycoprotein Ibα: A Comprehensive Preclinical Study of CA1001 for the Treatment of Acute Ischemic Stroke

Xu Xiaohong, Preeti Preeti, Yu Ruoying, Shaykhalishahi Hamed, Zhang Cheng, Shen Chuanbin, Li Bei, Tang Naping, Chang Yan, Xiang Qian, Cui Yimin, Lei Xi, Ni Heyu, Zhu Guangheng, Liu Zhenze, Hu Xudong, Slavkovic Sladjana, Neves Miguel, Ma Wenjing, Xie Huifang

More abstracts from these authors:
Deep-learning Based Artefact Removal From Relative Non-contrast Computed Tomography Maps To Identify Early Hypodensity Changes After Acute Ischemic Stroke

Konduri Praneeta, Vandewalle Lieselotte, Christensen Soren, Seners Pierre, Marquering Henk, Wouters Anke, Demeestere Jelle, Lansberg Maarten, Lemmens Robin

Acute Ischemic Stroke Patient Factors Associated with Poor Outcomes in Patients with Favorable Collaterals and Successful Thrombectomy

Kesten Jamie, Mlynash Michael, Yuen Nicole, Seners Pierre, Wouters Anke, Schwartz Maya, Lansberg Maarten, Albers Gregory, Heit Jeremy

You have to be authorized to contact abstract author. Please, Login
Not Available

Readers' Comments

We encourage you to enter the discussion by posting your comments and questions below.

Presenters will be notified of your post so that they can respond as appropriate.

This discussion platform is provided to foster engagement, and simulate conversation and knowledge sharing.

 

You have to be authorized to post a comment. Please, Login or Signup.


   Rate this abstract  (Maximum characters: 500)