Logo

American Heart Association

  173
  0


Final ID: DP31

Effect of Hemoglobin and Blood Glucose Levels on CTP Ischemic Core Underestimation: a post-hoc analysis of the ESCAPE-NA1 trial

Abstract Body: Introduction: CT perfusion maps (CTP) can estimate the ischemic core in acute ischemic stroke based on distinctive cerebral blood flow (CBF) thresholds. However, metabolic factors beyond perfusion influence the tissue tolerance to ischemia and the infarct growth rate.
Hypothesis: We hypothesize that patients with lower hemoglobin and higher blood glucose levels exhibit reduced cerebral tissue resilience to hypoperfusion and will show larger ischemic core underestimation volume (ICuV) compared to other patients with normal hemoglobin and blood glucose levels.
Methods: Large vessel occlusion stroke patients investigated with baseline CTP undergoing thrombectomy with near-complete reperfusion and without parenchymal hemorrhage from the ESCAPE-NA1 trial were included. Patients were subdivided into anemic (Hgb <130g/L for men and <120g/L for women) and non-anemic groups, and hyperglycemic (blood glucose level >7mmol/L) and normoglycemic groups. The primary outcome was the presence of “perfusion scotoma” defined as ICuV ≥10mL. The presence of “perfusion scotoma” and median ICuV were compared between anemic vs. non-anemic and hyperglycemic vs. normoglycemic patients using non-parametric tests and multivariable binary logistic regression with adjustment for baseline variables.
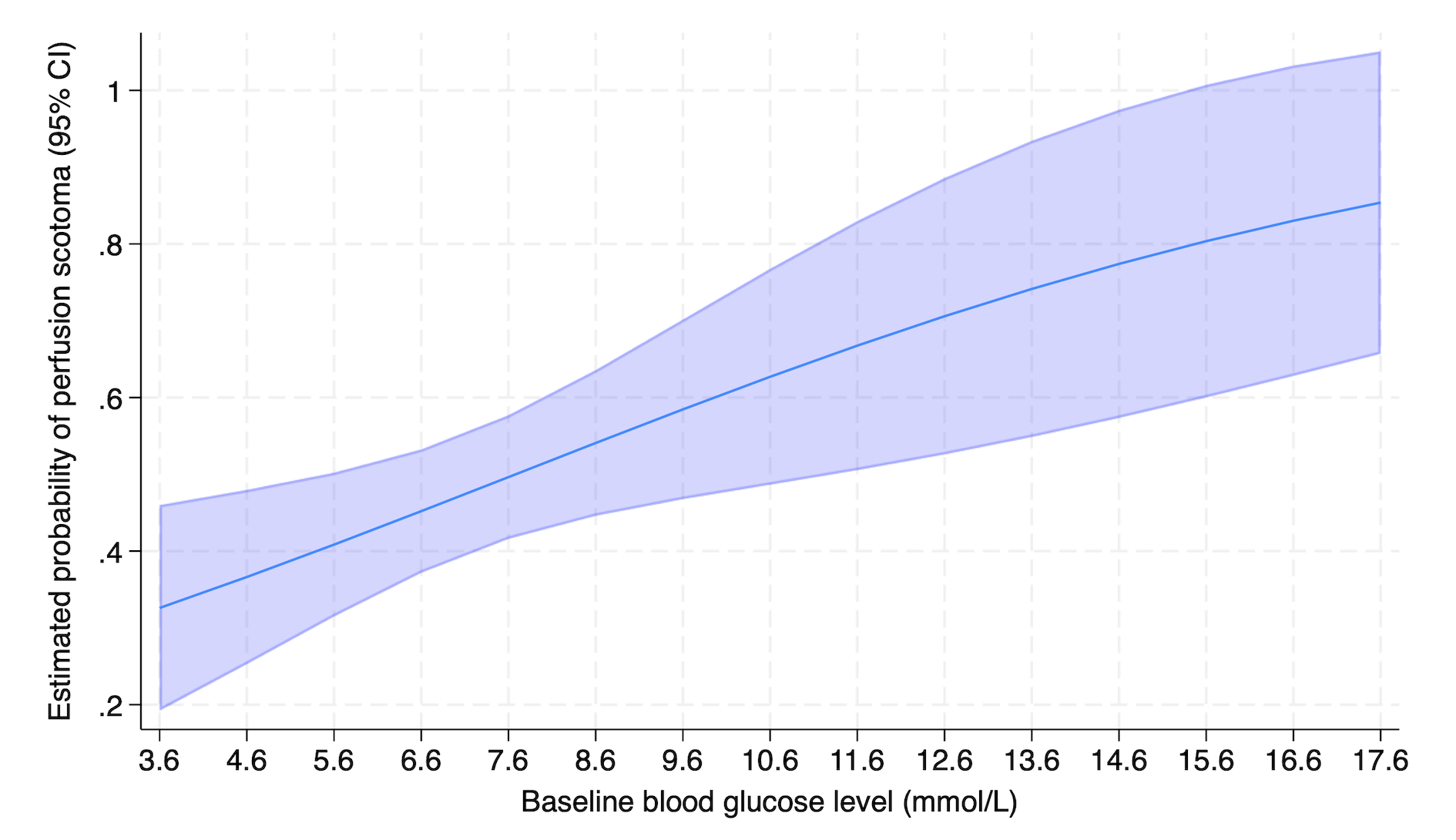
Results: One-hundred-sixty-two/1105 (15%) patients were included (Figure 1). The median ICuV was 7.26mL (IQR=0-25.63). Seventy-eight (48%) patients demonstrated perfusion scotoma. Forty-two (25.7%) patients were anemic, and 65 (40.1%) were hyperglycemic. In univariable analysis, the hyperglycemic group had a higher prevalence of perfusion scotoma (65% [n=40] vs. 39% [n=38], p=0.006) and larger ICuV (17.79 mL [IQR=1.57-42.75] vs. 6 mL [-0.31, 12.51], p=0.003) compared to normoglycemic patients (Figure 2). No significant ICuV differences between patients with and without anemia were seen. Multivariable regression analysis revealed an association between perfusion scotoma and hyperglycemia, adjusted odds ratio (OR) 2.37 (95%CI=1.22-4.61), and between perfusion scotoma and blood glucose levels, adjusted OR 1.19 (95%CI= 1.02-1.37) per 1 mmol/L increase (Figure 3).
Conclusion: In our study, CTP-based ischemic core underestimation was common and associated with higher baseline blood glucose levels. Individual metabolic factors beyond perfusion that critically influence the infarct growth rate should be considered when interpreting baseline CTP estimations of the ischemic core volume.
  • Pensato, Umberto  ( Humanitas University , Milan , Italy )
  • Bosshart, Salome  ( University of Calgary , Calgary , Alberta , Canada )
  • Stebner, Alexander  ( Cantonal Hospital Munsterlingen , Munsterlingen , Switzerland )
  • Rohr, Axel  ( Vancouver General Hospital , West Vancouver , British Columbia , Canada )
  • Kleinig, Timothy  ( Royal Adelaide Hospital , Adelaide , South Australia , Australia )
  • Gupta, Rishi  ( Wellstar Health System , Atlanta , Georgia , United States )
  • Thomalla, Gotz  ( University Medical Center Hamburg , Hamburg , Germany )
  • Heo, Ji  ( YONSEI UNIV COLLEGE OF MEDICIN , Seoul , Korea (the Democratic People's Republic of) )
  • Goyal, Mayank  ( university of calgary , Calgary , Alberta , Canada )
  • Demchuk, Andrew  ( University of Calgary , Calgary , Alberta , Canada )
  • Hill, Michael  ( UNIVERSITY CALGARY , Calgary , Alberta , Canada )
  • Ospel, Johanna  ( University of Calgary , Calgary , Alberta , Canada )
  • Author Disclosures:
    Umberto Pensato: DO NOT have relevant financial relationships | Andrew Demchuk: DO NOT have relevant financial relationships | Michael Hill: DO have relevant financial relationships ; Consultant:Brainsgate Inc:Past (completed) ; Individual Stocks/Stock Options:Circle Inc:Active (exists now) ; Individual Stocks/Stock Options:Basking Bioscience:Active (exists now) ; Research Funding (PI or named investigator):Boehringer-Ingelheim:Active (exists now) ; Research Funding (PI or named investigator):Medtronic:Active (exists now) ; Consultant:Diamedica Inc:Active (exists now) | Johanna Ospel: DO NOT have relevant financial relationships | Salome Bosshart: DO NOT have relevant financial relationships | Alexander Stebner: DO have relevant financial relationships ; Other (please indicate in the box next to the company name):Research Grant from the Swiss Society of Radiology:Active (exists now) | Axel Rohr: DO NOT have relevant financial relationships | Timothy Kleinig: DO have relevant financial relationships ; Research Funding (PI or named investigator):Astra Zeneca:Active (exists now) | Rishi Gupta: DO have relevant financial relationships ; Research Funding (PI or named investigator):Stryker:Past (completed) ; Research Funding (PI or named investigator):Cerenovous:Active (exists now) ; Research Funding (PI or named investigator):Medtronic:Active (exists now) ; Research Funding (PI or named investigator):Zoll:Past (completed) ; Research Funding (PI or named investigator):Rapid Medical:Active (exists now) | Gotz Thomalla: No Answer | Ji Heo: DO NOT have relevant financial relationships | Mayank Goyal: DO have relevant financial relationships ; Consultant:Medtronic:Active (exists now) ; Ownership Interest:Circle:Active (exists now) ; Research Funding (PI or named investigator):Cerenovus:Active (exists now) ; Research Funding (PI or named investigator):Medtronic:Active (exists now) ; Advisor:Fluid Biomed:Active (exists now) ; Consultant:Mentice:Active (exists now) ; Consultant:Microvention:Active (exists now)
Meeting Info:
Session Info:

Imaging Moderated Digital Posters

Thursday, 02/06/2025 , 12:40PM - 01:10PM

Moderated Digital Poster Abstract Session

More abstracts on this topic:
Automated CT perfusion Parameters as Predictors of Hemorrhagic Transformation After Mechanical Thrombectomy in Large Vessel Ischemic Stroke

Montalvan Victor, Hendley Katie, Zurasky John, Albers Greg, Tan Yuanyuan, Marginean Horia, Neves Gabriel, Ota Riichi, Hernandez Roberto, Barnes Robert, Brister Rorie, Chintakayala Laxmi

Early GLP-1 Receptor Agonist Initiation Reduces Major Cardiac and Renal Events in Older Adults with Type 2 Diabetes Without Prior Cardiovascular or Renal Disease: A Target Trial Emulation

Chi Kuan Yu, Chang Yu, Varrias Dimitrios, Nanna Michael, Nouri Armin, Lee Pei-lun, Hsieh Rebecca, Mangalesh Sridhar, Hu Jiun-ruey, Ezenna Chidubem, Akman Zafer, Romero Acero Laura

More abstracts from these authors:
Modified Rankin Score at 90 Days vs. NIH Stroke Scale at 24 Hours as Primary Outcome in Acute Stroke Trials

Ospel Johanna, Dippel Diederik, Majoie Charles, Jovin Tudor, Campbell Bruce, Mitchell Peter, Bracard Serge, Guillemin Francis, Hill Michael, Goyal Mayank, Brown Scott, Bosshart Salome, Stebner Alexander, Uchida Kazutaka, Demchuk Andrew, Saver Jeffrey, White Phil, Muir Keith

Association between Time and Severe Hypoperfusion with Risk of Hemorrhagic Transformation in Thrombectomy Stroke Patients

Pensato Umberto, Goyal Mayank, Demchuk Andrew, Hill Michael, Ospel Johanna

You have to be authorized to contact abstract author. Please, Login
Not Available

Readers' Comments

We encourage you to enter the discussion by posting your comments and questions below.

Presenters will be notified of your post so that they can respond as appropriate.

This discussion platform is provided to foster engagement, and simulate conversation and knowledge sharing.

 

You have to be authorized to post a comment. Please, Login or Signup.


   Rate this abstract  (Maximum characters: 500)