Logo

American Heart Association

  160
  0


Final ID: 8

Modified Rankin Score at 90 Days vs. NIH Stroke Scale at 24 Hours as Primary Outcome in Acute Stroke Trials

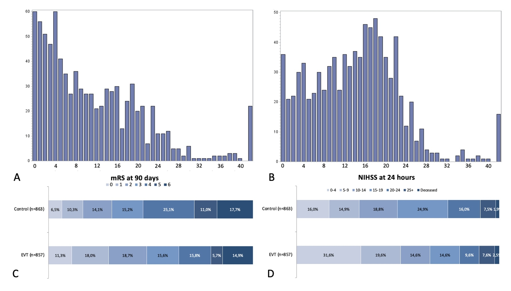
Abstract Body: Background: We investigate whether the NIHSS at 24 hours could serve as an alternative primary outcome measure in acute ischemic stroke trials, and whether combining 90-day modified Rankin Score (mRS) and 24-hour NIHSS in a hierarchical outcome could enhance detection of treatment effect, using EVT as an exemplary study intervention.

Methods: Post-hoc analysis from the HERMES collaboration that pooled data from 7 randomized controlled EVT trials. Validity of 24-hour NIHSS as a surrogate outcome for 90-day mRS was assessed in a causal mediation model (Figure 1). A 7-point ordinal NIHSS score was generated by grouping 24-hour NIHSS, including death as a separate category (“ordinal” NIHSS). EVT effect sizes and sample sizes required for detecting EVT benefit with 80% power were compared when using granular 24-hour NIHSS, ordinal 24-hour NIHSS, 90-day mRS, and hierarchical outcome (win-ratio) that combines 90-day mRS and 24-hour NIHSS. Subgroup analyses were performed in patients with baseline NIHSS<10 and ≥25.

Results: A total of 1720 patients were included. Median 90-day mRS in the EVT/control arms was 3.0(IQR:1.0-4.0)/4.0(IQR:2.0-5.0) and median 24-hour NIHSS was 9.0(IQR:3.0-17.0)/14.0(IQR:7.5-19.0), see Figure 2. 24-hour NIHSS mediated the association between EVT and 90-day mRS and met the criteria for a surrogate outcome. Effect sizes were highest and sample sizes required to detect EVT benefit smallest for the win ratio approach (228), followed by 90-day mRS(240) and ordinal 24-hour NIHSS(242), see Table 1. In subgroup analyses of patients with baseline NIHSS<10 and≥25, ordinal 24-hour NIHSS resulted in the highest effect size/ smallest sample size.

Conclusion: 24-hour NIHSS may be a valid surrogate outcome for 90-day mRS in acute ischemic stroke patients undergoing EVT, with a similar EVT effect size compared to 90-day mRS. It could potentially enhance detection of EVT benefit in patient subgroups with very low or very high baseline NIHSS. Combining 90-day mRS and 24-hour NIHSS in an ordered hierarchical could improve detection of EVT treatment effect compared to 90-day mRS.
  • Ospel, Johanna  ( University of Calgary , Calgary , Alberta , Canada )
  • Brown, Scott  ( BRIGHT Research Partners , Mooresville , North Carolina , United States )
  • Bosshart, Salome  ( University of Calgary , Calgary , Alberta , Canada )
  • Stebner, Alexander  ( University of Calgary , Calgary , Alberta , Canada )
  • Uchida, Kazutaka  ( Hyogo Medical University , Nishinomiya , Japan )
  • Demchuk, Andrew  ( University of Calgary , Calgary , Alberta , Canada )
  • Saver, Jeffrey  ( GEFFEN SCHOOL OF MEDICINE AT UCLA , Los Angeles , California , United States )
  • White, Phil  ( Newcastle University , Newcastle upon Tyne , United Kingdom )
  • Muir, Keith  ( UNIVERSITY OF GLASGOW , Glasgow , United Kingdom )
  • Dippel, Diederik  ( ERASMUS MC , Bunnik , Netherlands )
  • Majoie, Charles  ( AMC , Amsterdam , Netherlands )
  • Jovin, Tudor  ( Cooper Neurological Institute , Haddonfield , New Jersey , United States )
  • Campbell, Bruce  ( Royal Melbourne Hospital , Parkville , Victoria , Australia )
  • Mitchell, Peter  ( The Royal Melbourne Hospital , Parkville , Victoria , Australia )
  • Bracard, Serge  ( Nancy University , Nancy , France )
  • Guillemin, Francis  ( Nancy University , Nancy , France )
  • Hill, Michael  ( UNIVERSITY CALGARY , Calgary , Alberta , Canada )
  • Goyal, Mayank  ( university of calgary , Calgary , Alberta , Canada )
  • Author Disclosures:
    Johanna Ospel: DO NOT have relevant financial relationships | Diederik Dippel: DO NOT have relevant financial relationships | Charles Majoie: DO have relevant financial relationships ; Individual Stocks/Stock Options:Nicolab:Active (exists now) ; Research Funding (PI or named investigator):European Commission:Active (exists now) ; Research Funding (PI or named investigator):Boehringer-Ingelheim:Active (exists now) ; Research Funding (PI or named investigator):Stryker:Active (exists now) | Tudor Jovin: DO have relevant financial relationships ; Ownership Interest:Route92:Active (exists now) ; Ownership Interest:Viz.ai:Active (exists now) ; Consultant:Contigo Medical:Active (exists now) ; Research Funding (PI or named investigator):Stryker:Past (completed) ; Research Funding (PI or named investigator):Medtronic:Past (completed) ; Consultant:Johnson&Johnson :Active (exists now) ; Ownership Interest:NTI:Active (exists now) ; Ownership Interest:Basking :Active (exists now) ; Ownership Interest:Galaxy:Active (exists now) ; Ownership Interest:Kandu:Active (exists now) ; Ownership Interest:AptaTargets:Active (exists now) ; Ownership Interest:Anaconda:Active (exists now) ; Ownership Interest:Methinks:Active (exists now) ; Ownership Interest:FreeOx Biotech:Active (exists now) | Bruce Campbell: DO NOT have relevant financial relationships | Peter Mitchell: DO have relevant financial relationships ; Research Funding (PI or named investigator):Stryker:Past (completed) ; Speaker:Microvention:Past (completed) ; Research Funding (PI or named investigator):Medtronic:Active (exists now) | Serge Bracard: DO NOT have relevant financial relationships | francis guillemin: DO NOT have relevant financial relationships | Michael Hill: DO have relevant financial relationships ; Consultant:Brainsgate Inc:Past (completed) ; Individual Stocks/Stock Options:Circle Inc:Active (exists now) ; Individual Stocks/Stock Options:Basking Bioscience:Active (exists now) ; Research Funding (PI or named investigator):Boehringer-Ingelheim:Active (exists now) ; Research Funding (PI or named investigator):Medtronic:Active (exists now) ; Consultant:Diamedica Inc:Active (exists now) | Mayank Goyal: DO have relevant financial relationships ; Consultant:Medtronic:Active (exists now) ; Ownership Interest:Circle:Active (exists now) ; Research Funding (PI or named investigator):Cerenovus:Active (exists now) ; Research Funding (PI or named investigator):Medtronic:Active (exists now) ; Advisor:Fluid Biomed:Active (exists now) ; Consultant:Mentice:Active (exists now) ; Consultant:Microvention:Active (exists now) | Scott Brown: No Answer | Salome Bosshart: DO NOT have relevant financial relationships | Alexander Stebner: DO have relevant financial relationships ; Other (please indicate in the box next to the company name):Research Grant from the Swiss Society of Radiology:Active (exists now) | Kazutaka Uchida: DO have relevant financial relationships ; Speaker:Hyogo Medical University:Past (completed) ; Speaker:Stryker:Past (completed) | Andrew Demchuk: DO NOT have relevant financial relationships | Jeffrey Saver: DO have relevant financial relationships ; Consultant:Abbott:Active (exists now) ; Individual Stocks/Stock Options:Viz.ai:Active (exists now) ; Individual Stocks/Stock Options:Let's Get Proof:Active (exists now) ; Individual Stocks/Stock Options:Neuronics:Active (exists now) ; Consultant:Genentech:Expected (by end of conference) ; Consultant:Roche:Active (exists now) ; Consultant:Novo Nordisc:Active (exists now) ; Consultant:AstraZeneca:Active (exists now) ; Consultant:BrainQ:Active (exists now) ; Consultant:Medtronic:Active (exists now) | Phil White: No Answer | Keith Muir: DO have relevant financial relationships ; Consultant:Boehringer Ingelheim:Active (exists now) ; Research Funding (PI or named investigator):Boehringer Ingelheim:Past (completed) ; Speaker:Brainomix:Past (completed) ; Speaker:Boehringer Ingelheim:Past (completed) ; Consultant:Woolsey Pharma:Active (exists now) ; Consultant:Abbvie:Active (exists now) ; Consultant:Brainomix:Active (exists now) ; Consultant:Hyperfine:Active (exists now)
Meeting Info:
Session Info:

Neuroendovascular Oral Abstracts I

Wednesday, 02/05/2025 , 07:30AM - 09:00AM

Oral Abstract Session

More abstracts on this topic:
Assessing Short-Term Prognostic Value of eGFR Formulas in Patient with Acute Heart Failure: Comparison of Chronic Kidney Disease Epidemiology Collaboration 2021, 2009 Formula, and Modification of Diet in Renal Disease in Asian Population – A Study from Vietnam

Tran Dieu Hien, Do Chau, Nguyen Thi Kim Chuc, Pham Ngoc Anh Vu, Phan Hoang Son, Phan Tri Cuong, Han Nguyen Le My, Nguyen Thi Huong Dung, Vo Le Y Nhi, Cao Doan Thi Bich Huyen, Tran Thanh Phong, Truyen Thien Tan Tri Tai, Tran Van Duong, Nguyen Ngoc Huyen, Pham Thanh Phong, Nguyen Minh Nghiem, Nguyen Van Khoa, Vo Phuc Dai, Le Hoang Phuc, Dinh Quang Minh Trí, Vu Loc, Kieu Doan Thi

3D Statistical Shape Analysis Predicts Type A Aortic Dissection Better Than Aortic Diameters

Marway Prabhvir, Campello Jorge Carlos Alberto, Wagner Catherine, Baker Timothy, Burris Nicholas

More abstracts from these authors:
Association between Time and Severe Hypoperfusion with Risk of Hemorrhagic Transformation in Thrombectomy Stroke Patients

Pensato Umberto, Goyal Mayank, Demchuk Andrew, Hill Michael, Ospel Johanna

Circadian Variation In Collateral Status: The HERMES Collaboration

Tariq Muhammad Bilal, Jovin Tudor, Mitchell Peter, Campbell Bruce, Bracard Serge, Guillemin Francis, Muir Keith, White Phil, Dippel Diederik, Hill Michael, Goyal Mayank, Brown Scott, Saver Jeffrey, Liebeskind David, Tiedt Steffen, Lun Ronda, Albers Gregory, Mun Katherine, Majoie Charles, Demchuk Andrew

You have to be authorized to contact abstract author. Please, Login
Not Available

Readers' Comments

We encourage you to enter the discussion by posting your comments and questions below.

Presenters will be notified of your post so that they can respond as appropriate.

This discussion platform is provided to foster engagement, and simulate conversation and knowledge sharing.

 

You have to be authorized to post a comment. Please, Login or Signup.


   Rate this abstract  (Maximum characters: 500)