Logo

American Heart Association

  66
  0


Final ID: TH123

Comparison Of The Values Of Ambulatory Blood Pressure Against Home Blood Pressure On The Prediction Of Vascular Outcomes: a Systematic Review And Network Meta-analysis

Abstract Body:
Objective:
This study aimed to systematically assess cohort studies examining the prognostic significance of office blood pressure (OBP), 24-hour ambulatory blood pressure monitoring (ABPM), and home blood pressure monitoring (HBPM) in predicting cardiovascular disease risk.
Hypothesis:
Ambulatory blood pressure monitoring and home blood pressure monitoring may demonstrate equivalent efficacy in predicting vascular outcomes
Methods:
A systematic literature search was conducted to identify pertinent outcome studies that investigated OBP, HBPM, and ABPM within the same cohort. A network meta-analysis was performed to compare the aggregated risk estimates for various outcomes across different blood pressure monitoring modalities.
Results:
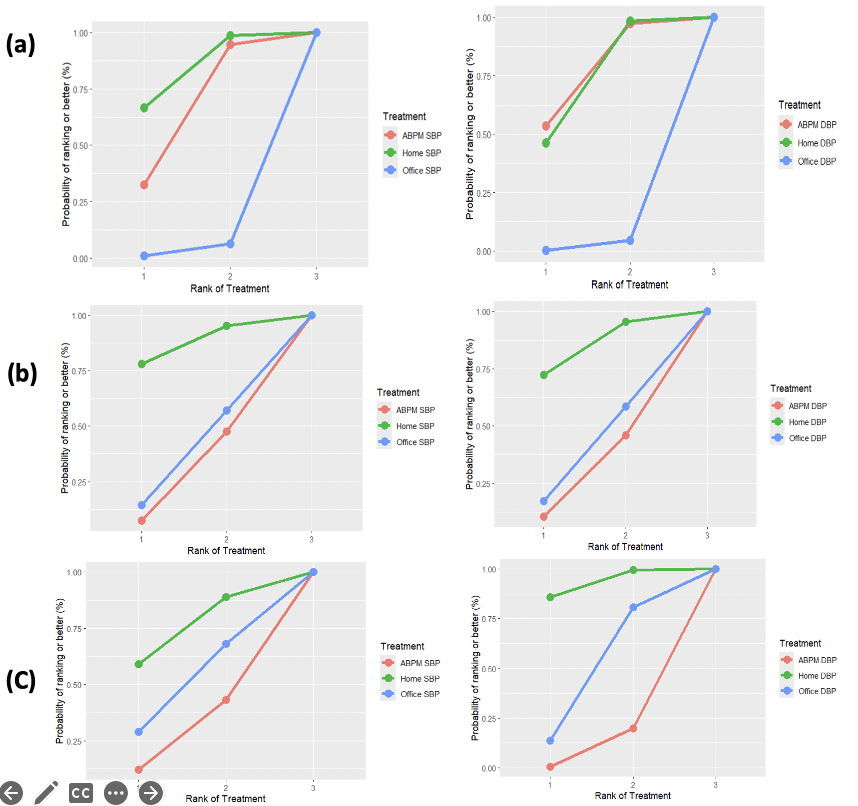
Of the 4200 articles obtained, 24 satisfied the inclusion criteria. HBP significantly surpassed OBP in predicting cardiovascular events (CVE) (hazard ratios 1.21 [1.02-1.44]). No statistically significant difference was observed in the mean systolic and diastolic blood pressure between HBPM and ABPM, as well as between OBP and ABPM, in relation to predicting CVE, cardiovascular mortality, all-cause mortality, or left ventricular mass index. The ranking probabilities for the highest prognostic for CVE values across the three modalities were 0.6970, 0.2990, and 0.0040, respectively.
Conclusion:
ABPM or HBPM may predict CVE risk with similar prognostic importance.

Keywords: ambulatory blood pressure monitoring, cardiovascular event, home blood pressure monitor, hypertension, incidence, nonfatal

Abbreviations: ABPM, ambulatory blood pressure measurement; BP, blood pressure; CVE, cardiovascular event; HBPM, home blood pressure measurement; OBP, office blood pressure; WCHT, whitecoat hypertension
  • Fang, Shao-yu  ( Taichung Veterans General Hospital , Taichung city , Taiwan )
  • Lee, Chun-wei  ( Tamsui Mackay Memorial Hospital , New Taipei , Taiwan )
  • Yang, Shu-mei  ( Taipei Veterans General Hospital , Taipei , Taiwan )
  • Cheng, Hao-min  ( Taipei Veterans General Hospital , Taipei , Taiwan )
  • Author Disclosures:
    Shao-Yu Fang: DO NOT have relevant financial relationships | Chun-Wei Lee: No Answer | Shu-Mei Yang: No Answer | Hao-min Cheng: No Answer
Meeting Info:
Session Info:

Poster Session 1 and Reception (includes TAC Poster Competition)

Thursday, 09/04/2025 , 05:30PM - 07:00PM

Poster Session

More abstracts on this topic:
Association of renal function with mortality and heart failure hospitalization rates after Transcatheter Mitral Valve Edge to Edge Repair

Abuzeid Wael, Shuvy Mony, Cantor Warren, Mehta Shamir, Fam Neil, Abdel-qadir Husam, Sacoransky Ethan, Czarnecki Andrew, Ke Danny Yu Jia, Teng Carolyn, Dave Prasham, Osten Mark, Zile Brigita, Wang Xuesong

A Novel Framework for End-Diastolic and End-Systolic Frame Localization in Contrast and Non-Contrast Echocardiography Without Manual Annotations

Patel Sahaj, Arora Garima, Kummaragunta Neeraj, Yerabolu Krishin, Shahid Abdulla, Baria Priyank, Li Cynthia, Vekariya Nehal, Pampana Akhil, Arora Pankaj

More abstracts from these authors:
Systemic Inflammation Mediates the Association Between Central Obesity and Incident Heart Failure

Chen Szu-han, Lee Yu-hsuan, Chuang Shao-yuan, Fudim Marat, Lee Chun-wei, Huang Chi-jung, Cheng Hao-min

Healthy Dietary Patterns Are Associated With Lower Cardiovascular Risk and All-Cause Mortality Among Hypertensive Adults

Chen Szu-han, Liu Binkai, Cheng Hao-min, Liang Liming, Hu Frank

You have to be authorized to contact abstract author. Please, Login
Not Available